![]() |
|
| Appunti scientifiche |
|
| Visite: 4206 | Gradito: |
Leggi anche appunti:Tully-Fisher e SupernovaeTully-Fisher e Supernovae Relazione di Tully-Fisher: la larghezza della riga Le stelleLe stelle Le stelle sono corpi celesti di grandi dimensioni, composti di gas Unità di misura in astronomiaUnità di misura in astronomia Per distanze relativamente piccole, dell'ordine |
![]() |
![]() |
-
Che fai tu, luna, in ciel? Dimmi che fai,
silenziosa luna?"
(Canto notturno, G. Leopardi)
La parola Luna deriva dall'antichissima radice indoeuropea "leuk", che significa "splendere" trasformandosi poi nel greco "leucos"
lucente, chiaro, bianco, e poi nel
latino "lux" "luceo"
"lumen"
Luna significa quindi "la luminosa"
![]()

Introduzione
Fin dagli albori del tempo abbiamo cercato di raggiungere
il cielo e di scoprirne i misteri: l'astronomia accompagna l'uomo fin dalle sue
origini, sia perché l'osservazione del cielo si è rivelata essere un potente
strumento di sopravvivenza e di sviluppo, sia perché la volta celeste è sempre
stata al centro dell'ansia spirituale e conoscitiva del genere umano. Le
costellazioni, i pianeti, il Sole e
-
I primi calendari
segnavano il trascorrere del tempo, non con il Sole e le stagioni, bensì con
l'alternarsi delle "Lune". La regolare celebrazione
di novilunio e plenilunio rappresentò per molti popoli un riferimento cardine
per il calcolo del tempo: esistono calendari
lunari, basati sulle lunazioni (calendario maomettano), e altri lunisolari, che cercano di far
coincidere i mesi con le lunazioni e le stagioni solari (calendario ebraico). Ecco
perché, nelle società umane di tutto il mondo,
Nella sfera religiosa l'importanza della Luna è legata soprattutto ai mutamenti periodici del suo aspetto e dalle connessioni stabilite tra essa e il mondo animale e vegetale. Il periodico comparire e scomparire dell'astro viene spesso assimilato ad una vicenda di morte e rinascita; più in particolare, dal contrasto che si crea osservando che l'uomo, una volta morto, non rinasce, si attribuisce alla Luna l'immagine della morte.
Secondo
molti miti, soprattutto africani, nell'antichità le condizioni umane vennero
radicalmente mutate da un messaggio mandato dalla Luna per mezzo di un animale
(una lepre o una lucertola): esso avrebbe dovuto annunciare agli uomini che essi
sarebbero morti e risorti ciclicamente come
Molte
culture stabiliscono una relazione tra ciclo lunare e ciclo mestruale, entrambi
di 28 giorni, e successivamente una stretta relazione con la sfera sessuale: a
volte
Nelle
culture primitive e anche nella moderna cultura europea si trova una valenza
vegetale della Luna, messa in relazione alla crescita della piante e quindi alla fecondità. L'eclissi
lunare risulta essere fondamentale per la spiegazione di alcuni
miti presenti nelle culture primitive: spesso il fenomeno è spiegato con il
fatto che un animale o un essere mitico tenta di divorare l'astro (Groenlandia,
Nord e Centro America, Africa) e in genere si deve reagire provocando rumori
per allontanare l'essere che minaccia
Si può poi ricordare la divinità greca Selene, personificazione della Luna in seguito identificata con Artemide, che pure assunse un carattere lunare. In Egitto tale carattere era attribuito a Iside (che in età ellenistica diventò Selene) e anche in questo caso l'immagine della Luna è collegata all'idea di morte e rinascita: il culto di Iside era un culto misterico che prometteva la resurrezione dopo la morte (secondo il mito la dea aveva raccolto il corpo smembrato del marito Osiride e l'aveva fatto rivivere).
Poi i Romani mutarono i nomi della divinità lunare greca in Diana, Trivia e Lucina (da cui poi deriverà Luna), e sostituirono agli antichi sacrifici umani celebrati in onore della dea della notte, con l'usanza di ululare lungamente nei trivii: "Nocturnisque Ecate triviis ululata per Urbem".
Probabilmente è da quest'usanza che nacque la leggenda dell'uomo-lupo, detto anche licantropo: secondo una credenza diffusa il licantropo (dal greco lykos, che significa lupo, e anthropos, uomo) o lupo mannaro (dal latino lupus hominarius, che significa lupo simile all'uomo) era un uomo affetto da una malattia di origine sconosciuta che assumeva in certi periodi le sembianze di un lupo. Si riteneva che la peluria del corpo potesse aumentare in modo vistoso e che unghie e denti assumessero la forma tipica di quelli di un lupo. In queste condizioni il malato era indotto a vagare per i boschi nascondendosi dagli altri uomini e aggredendo i poveri sfortunati che incontrava sul suo cammino. Terminata la crisi l'uomo tornava alla normalità, conducendo una vita normale e non ricordando nulla di ciò che gli era accaduto. La condizione di lupo mannaro quindi non era considerata una condizione stabile e permanente, ma temporanea e scatenata da fattori esterni, il più significativo dei quali è la notte di Luna piena.
Latino
L'autore latino Petronio, durante la stesura del Satyricon, volle inserire il racconto intitolato Il lupo mannaro all'interno della narrazione:
Provocato da Trimalcione, un tal Nicerote racconta una storia terrificante:
62.1 Volle il caso che il padrone fosse partito per
Capua a smerciar il meglio delle sue cianfrusaglie. 2 Afferrata al volo
l'occasione, convinco un tale, ospite lì da noi, a venire con me sino al quinto
miglio. Non per nulla era un soldato forte come un demonio. 3 Ci muoviamo,
verso il canto del gallo. La luna luceva come a mezzo giorno. 4 Arriviamo a un
cimitero: il mio uomo si mette a defecare tra le tombe, io mi siedo
canterellando e conto le tombe quante sono. 5 Poi, come torno con gli occhi al
compagno, quello è lì che si sveste e depone tutti gli abiti al margine della
strada. 6 Io avevo il cuore in gola, ero più morto che vivo. Quello allora urina
in cerchio intorno agli abiti e all'improvviso diventa lupo. Badate che non
scherzo: non mentirei per tutto l'oro del mondo. 7 Dunque, come dicevo, una
volta quel che divenne lupo, incominciò ad ululare e fuggì nelle selve. 8 Sulle
prime non sapevo più dove fossi. Poi mi feci vicino, per raccattare gli abiti
di quello là, ma gli abiti erano diventati di pietra. A morir di paura, chi più
morto di me? 9 Tuttavia strinsi in pugno la spada, e, abracadabra, andai
infilzando le ombre, sin quando non giunsi al podere della mia amica. 10 Entrai
che ero uno spettro, mezzo scoppiato, ma con il sudore che mi correva per la
forcata, con gli occhi fissi: ce ne volle per rimettermi. La mia Melissa sulle
prime era stupita che io fossi in giro così tardi, e 'Se arrivavi un po'
prima, - disse - almeno ci davi una mano, che un lupo si è introdotto nel
podere e da vero macellaio ci ha sgozzato tutte le bestie. Però non l'ha fatta
pulita, anche se è riuscito a fuggire, che uno dei nostri schiavi gli ha
trapassato il collo con la lancia'.
Questa storia di licantropia è solo una delle molteplici storie (Il ragazzo di Pergamo, La matrona di Efeso,ecc) inserite ed incastonate all'interno del romanzo.
- Il Satyricon -
Pochi capolavori della letteratura mondiale sono segnati da ombre così molteplici e sovrapposte: del Satyricon sono incerti l'autore, la data di composizione, il titolo e il significato del titolo, l'estensione originaria, la trama, per non parlare di questioni meno concrete ma importanti, quali il genere letterario in cui si inserisce e le motivazioni per cui quest'opera per molti versi eccentrica venne concepita e pubblicata.
La trama
La vicenda è narrata in prima persona dal protagonista, Encolpio, che racconta una serie indiavolata di avventure e peripezie, sullo sfondo di un viaggio compiuto insieme a Gitone, il giovane di cui è innamorato. Ad avvicinarsi al protagonista dopo varie avventure c'è prima Ascilto e poi Eumolpo, un poeta vagabondo che presto si innamora di Gitone: quest'ultimo, insieme ad Encolpio e ad Eumolpo costituirà un nuovo terzetto amoroso. Nell'ultima parte Encolpio tenta di recuperare la virilità perduta a causa dell'ira del dio Priapo. L'ultima fase del racconto è per noi più difficile da seguire, per lo stato lacunoso del testo di Petronio.
Autore, datazione e genere letterario
Nessun autore antico ci dice chi fosse il misterioso Petronius Arbiter autore, secondo la tradizione manoscritta, del Satyricon. A giudicare dalla ridotta traduzione indiretta del Satyricon, l'opera deve essere stata composta entro la fine del II secolo d.C., ma niente di più preciso. Se l'autore del Satyricon è il personaggio rappresentato da Tacito in Annales, 16,17 s. (cosa che oggi appare altamente probabile), si tratta di T. Petronius Niger, console verso il 62, suicida per volontà di Nerone nel 66 d.C. D'altra parte, Tacito, che non parla del Satyricon, ci presenta nel XVI libro degli Annali uno straordinario ritratto di questo personaggio, di nome Petronio, e considerato da Nerone il giudice per eccellenza dello chic e della raffinatezza: il suo elegantiae arbiter. L'identità di questo Petronio tacitiano con il Petronio Arbitro autore del Satyricon è oggi accettata dalla grande maggioranza degli interpreti, anche se non poggia in realtà su alcuna testimonianza che renda esplicita l'identificazione.
Altro punto controverso fra gli studiosi è il genere entro cui si può iscrivere il Satyricon: pare evidente un suo legame con la satira menippea, con la quale condivide tra l'altro la commistione di prosa e poesia; se ne distacca tuttavia per la maggiore complessità narrativa. Altri studiosi, come Klebs, vedono nel Satyricon soprattutto una parodia dell'Odissea omerica; quest'ipotesi tuttavia illumina una caratteristica del Satyricon, l'abbassamento del mito a livelli parodici, ma non spiega tutto il romanzo. Il Satyricon fu influenzato anche dalle fabule Milesiae, più corte e meno complesse strutturalmente. L'ipotesi più suggestiva, non condivisa da tutti gli studiosi, è quella che vede nel Satyricon una grande vicinanza con il modello del romanzo ellenistico, con il quale condivide la struttura complessa, il rapporto amoroso fra i protagonisti e le disavventure che essi devono affrontare. Tuttavia, considerando le evidenti differenze con cui gli stessi temi del romanzo ellenistico sono trattati da Petronio, alcuni studiosi (per primo l'Heinze) hanno sostenuto la tesi di un intento parodico di Petronio verso un genere ben conosciuto e popolare. Appare riduttivo, dunque, cercare di racchiudere l'incredibile varietà del Satyricon in un unico codificato genere narrativo. Forse, allo stato delle conoscenze, è opportuno limitarsi ad apprezzare la sapiente mano creativa di Petronio, capace di riunire in una sola opera generi molto diversi fra loro.
Italiano
Gli scenari notturni e lunari rispecchiano, più di quelli
solari, la propensione romantica per il mondo del sentimento e dell'immaginazione.
La notte è il momento della spontaneità, dell'autenticità, dell'evasione dalle
costrizioni della vita sociale, in cui è più facile entrare a contatto con i
propri stati d'animo, con la dimensione dell'inconscio e del sogno.
La luna è infatti un tema molto caro a Leopardi, da cui più volte il poeta trae ispirazione nei suoi Canti: lunari sono i classici temi leopardiani dello scorrere del tempo e della sofferenza umana e nella Luna si riflette il sentimento ora idillico, ora drammatico, che Leopardi prova per la natura.
Proprio la luna è protagonista nell'idillio Alla luna, probabilmente il primo idillio concepito dal poeta.

L'opera comparve nel 1826 sulla rivista Il Nuovo Ricognitore (ne
l'immagine), ma assunse la sua forma definitiva, con l'aggiunta dei vv. 13-14,
solo nell'edizione postuma curata dall'amico Ranieri nel 1845.
Il tema
fondamentale della poesia è quello del ricordo (il titolo originario era
proprio La rimembranza). A distanza di un anno il poeta torna a
contemplare
Egli ricorda che, anche allora, il suo volto gli appariva "nebuloso e tremulo" per le lacrime che gli sgorgavano dagli occhi; eppure, in tanta sofferenza, gli è di conforto il ricordo del passato, anche se la vita è triste e se l'affanno dura ancora. Ricordare quindi il passato è un'attività piacevole, per quanto la vita sia dolorosa.
Dunque in origine la composizione contava quattordici versi, esattamente come un sonetto (ma senza rime né le tradizionali quattro strofe); i versi 13-14 vennero infatti aggiunti nella maturità del poeta, quando la dolcezza del ricordo era ormai ottenebrata da un passato infelice e non vi era più spazio per speranze future, per circoscrivere il "grato rimembrar delle passate cose" alla sola gioventù. Quando il poeta, poco più che ventenne, scrisse l'idillio, tale limitazione era naturalmente superflua.
La meditazione del poeta si svolge in un paesaggio caratterizzato da tre elementi: la luna ( a cui il poeta si rivolge direttamente, come in seguito farà il pastore errante nel Canto notturno), il colle (che richiama quello dell' Infinito) e la selva; si tratta evidentemente di un paesaggio stilizzato che contribuisce all'estrema semplicità del componimento.
Il colloquio, impostato dall'alternanza dei pronomi personali "io" e "tu", assume con il vocativo iniziale ("O graziosa luna"), ribadito più avanti ("O mia diletta luna"), un tono di abbandono confidenziale e affettuoso. Qui il ritorno ciclico della Luna rispecchia il ritorno del passato nel ricordo, che sembra avere il potere di abolire il tempo e addolcire l'intima sofferenza del poeta.
Ma è nel Canto notturno di un pastore errante
dell'Asia che la poesia lunare di Leopardi raggiunge la sua più alta
espressione. Qui

I versi sono appunto quelli iniziali del Canto notturno di un pastore errante dell'Asia di Giacomo Leopardi.
Il
canto fu composto tra la fine dell'ottobre 1829 e i primi d'aprile del 1830 e
venne pubblicato per la prima volta nel 1831; come documentato dallo stesso
poeta, l'idea del Canto fu suggerita a Leopardi da un articolo del Journal
des savants del 1826, un resoconto di viaggi del barone di Meyendorff
da cui apprese che le popolazioni nomadi dell'Asia centrale trascorrevano le
notti seduti su delle pietre a contemplare
Lo schema metrico del componimento è la canzone libera, composta da sei strofe di endecasillabi e settenari variamente alternati e rimati; tutte le strofe terminano con un verso che rima in -ale. Sul piano formale la sintassi è volutamente sobria, e così pure il registro lessicale e quello metrico.
Il poeta non parla in prima persona, ma delega il
discorso poetico ad un pastore nomade, che rappresenta l'uomo disperatamente
solo nel suo peregrinare; egli interroga
Fin
dall'inizio il Canto si configura come un colloquio senza possibilità di
dialogo:
Gli aggettivi riferiti alla Luna rimandano alla divinità classica Diana, imperscrutabile spettatrice della Terra, incontaminata ed ignara della misera ed insostenibile esistenza mortale; nell'ordine si trovano "silenziosa, vergine, intatta, solinga, eterna peregrina, pensosa, muta, giovinetta immortal, candida".

Ma il pastore è un uomo, e come tale percorre un "vagar breve". Egli non riesce a trovare alcuna spiegazione per l'esistenza e soprattutto per il dolore che essa comporta. Forse nemmeno il suo gregge, che sembra contentarsi di sedere all'ombra, trova una felicità veramente piena nella vita.
Il giorno della nascita è ugualmente funesto per uomini ed animali, caratterizzati da un'assoluta ed invalicabile ignoranza del perché dell'esistenza, congiunta però alla certezza che essa termina nel dolore e nel nulla della morte: la vita è dolore inutile. La vita quindi è male non solo per l'uomo, ma per tutti gli esseri viventi (il "pessimismo cosmico" leopardiano).
Disegno e Storia dell'Arte
Di certo
Il Futurismo è un movimento d'Avanguardia, internazionale ed interartistico, organizzato intorno a manifesti teorici; questi manifesti delineano le caratteristiche tecniche del movimento in tutti i campi.
Il Futurismo nasce il 20 Febbraio 1909 quando uno scrittore, Filippo
Tommaso Marinetti, pubblica sul quotidiano Le Figaro l'articolo il Manifesto
del Futurismo, in cui vengono delineati gli obiettivi del gruppo. I
futuristi sono convinti che i linguaggi culturali ancora non si siano adeguati
all'ingresso della nuova società dinamica ed industriale e per questo motivo
promuovono l'avvento di questa nuova epoca; essi sono quindi esaltatori di
questa nuova modernità.
Gli elementi fondamentali del Futurismo sono quindi il rifiuto del passato e della tradizione accademica ed il culto del progresso tecnico, con un'esaltazione della velocità, della violenza, della lotta, delle macchine e delle industrie.
La pittura, ma anche l'architettura, la musica, la danza, il teatro, la letteratura, la scultura sono oggetto dell'azione dei futuristi. Nei loro scritti si chiede ad esempio la distruzione delle biblioteche e dei musei, e si esalta la città nuova concepita come un'immensa macchina in movimento. In pittura, il campo dove il movimento futurista ottiene i risultati più importanti, si teorizza la scomposizione del colore e della forma e si introduce un nuovo senso dello spazio, che ha influenzato l'avanguardia europea ( Cubismo, Dadaismo, Surrealismo).
La parola d'ordine dei futuristi in letteratura è Uccidiamo il chiaro di luna, una vera e propria dichiarazione di guerra verso tutti i sentimentalismi che per anni avevano pervaso la letteratura e la poesia.
Scrive Marinetti nel manifesto omonimo
del 1909:
"Si udì gridare nella solitudine aerea degli altipiani:
- Uccidiamo il chiaro di luna!
Alcuni accorsero alle cascate vicine; gigantesche ruote furono innalzate e le turbine trasformarono la velocità delle acque in magnetici spasimi che s'arrampicarono a dei fili, su per alti pali, fino a dei globi luminosi e ronzanti.
Fu così che trecento lune elettriche cancellarono coi loro raggi di gesso abbagliante l'antica regina verde degli amori".
E' l'avvento della luce elettrica, simbolo del progresso e del Futurismo, che fa impallidire e scomparire il "chiaro di luna", simbolo del romantico passatismo.
All'affermazione di Marinetti si ispira Giacomo Balla nel 1911 (ma daterà il quadro
1909) con La lampada ad arco, primo quadro futurista del pittore. In
quest'opera, che segna l'adesione di Balla al Futurismo, la scomposizione
divisionista del colore si coniuga mirabilmente con la celebrazione della
modernità, in quanto la luce elettrica offusca il chiaro di luna.
Quando nel 1954 l'opera è acquistata dal MOMA di New York, Balla scrive la seguente lettera ad Alfred Barr jr, curatore della collezione: "Il quadro della lampada è stato da me dipinto durante il periodo divisionista (1900-10); infatti il bagliore della luce è ottenuto mediante l'accostamento dei colori puri.[.] Nessuno a quell'epoca pensava che una banale lampada elettrica poteva essere motivo di ispirazione pittorica; al contrario, per me il motivo c'era ed era lo studio di rappresentare la luce e soprattutto dimostrare che il romantico chiaro di luna era sopraffatto dalla luce della moderna lampada elettrica".
Il tema della luce artificiale in lotta col buio era già
stato un soggetto privilegiato nelle ricerche di Balla, che si era riferito
anche a Pellizza da Volpedo. Adesso assume, però, un'accezione modernista
legata alla poetica del futurismo, poiché la luce elettrica, in una dimensione
trionfalistica, diviene energia di svecchiamento, che aggredisce la cultura
classicista e simbolista, uccidendo il chiaro di luna dei romantici, come nella
metafora marinettiana del manifesto pubblicato nel 1909. Tuttavia, l'opera,
documentata nel catalogo dell'esposizione futurista del 1912 alla Galleria
Bernheim Jeune di Parigi, in realtà non fu esposta perché ancora troppo
legata alla realtà di uno stile divisionista e figurativo. Il motivo del
lampione, che nel periodo strettamente divisionista di Balla era un elemento di
paesaggio urbano, qui si trasforma, invece, in uno studio analitico del raggio
luminoso nei motivi formali e nei colori che lo compongono.
L'effetto della materializzazione della luce è ottenuto mediante l'accostamento di segni veloci e frammentati di colori puri che si irradiano da un nucleo luminosissimo di giallo e bianco. Per rappresentare l'irradiarsi incandescente della luce, Balla usa la forma del triangolo, come tante punte di freccia. Sotto l'alone di luce e colori, si intravedono la falce della luna e l'ombra scura della lampada.
Dopo la pubblicazione del Manifesto del Futurismo, vengono pubblicati più di cinquanta manifesti; per diffondere le proprie idee, i futuristi organizzavano le cosiddette "serate futuriste", dei convegni teatrali in cui venivano presentate opere pittoriche, suonate musiche futuristiche e recitate poesie futuristiche.

Solitamente gratuite, le serate si
svolgevano in un teatro affittato; lo spettacolo era basato
sull'improvvisazione e comprendeva letture di poesie e di manifesti, musica, la
presentazione di quadri ed era preceduto da volantinaggio. Chi stava sul palco
sfidava e provocava il pubblico, che quasi sempre reagiva con lancio di oggetti
vari. La situazione, quindi, degenerava con l'intervento delle forze
dell'ordine e, il giorno successivo, i giornali riferivano dei tafferugli: un
altro modo per farsi pubblicità. Inoltre si attivava questo rapporto con il
pubblico perché il loro obiettivo era quello di non far assimilare l'arte
passivamente. Lo showman per eccellenza, inutile dirlo, era proprio Marinetti.
Con consumata abilità sapeva dominare una platea molto varia: intellettuali,
letterati, borghesi e proletari.
Proprio in occasione di una di queste serate al Teatro Politeama Chiarella di Torino nel 1910, viene letto e reso noto il Manifesto dei pittori futuristi. Nello stesso anno verrà poi pubblicato il Manifesto Tecnico dei pittori futuristi. I pittori di questo gruppo erano Boccioni, Balla, Carrà, Russolo e Severini.
Il primo manifesto è il più tecnico e da' soprattutto principi teorici:
la ribellione a qualsiasi forma di culto del passato
il disprezzo per ogni forma di imitazione
l'esaltazione per ogni forma di originalità ed innovazione
l'eliminazione dalla pittura di tutti i soggetti precedentemente dipinti
l'esaltazione della vita moderna
Con il Manifesto Tecnico la pittura deve rappresentare sensazioni dinamiche e nessun soggetto fermo, la costruzione tradizionale dei quadri deve essere abbandonata e l'osservatore deve trovarsi partecipe all'interno del quadro.
Per quanto riguarda le tecniche si dovevano eliminare i colori piatti e bisognava prendere in considerazione tutti i colori forti. Inoltre veniva utilizzato il divisionismo (sebbene andasse contro i loro principi teorici) per rappresentare la velocità in movimento (anche se non i tutti i quadri).
La realtà non doveva essere più rappresentata con immagini fisse, ma in
movimento (anche per la scultura); gli oggetti e le persone, infatti, nello
spazio si muovono e muovendosi si fondono con lo spazio circostante, creando
così nuove forme. Queste nuove forme, interagendo con la luce, vanno a creare
ancora di più rappresentazioni non reali. Vengono quindi dipinte delle sequenze
ripetitive delle posizioni che i corpi e gli oggetti assumono durante il
movimento; per rappresentare il movimento, viene messa ancora più in evidenza
la linea. Ovviamente in tutto questo scompare la prospettiva.

Rispetto al Cubismo, in cui il fattore tempo è lento, il tempo futurista è più veloce, perché il futurista va a rappresentare tutta la successione dei vari movimenti. Inoltre, mentre il Cubismo scompone e poi ricompone l'oggetto, il Futurismo non interseca solo diverse immagini dello stesso oggetto, ma interseca direttamente diversi oggetti tra di loro o l'oggetto e lo spazio.
Nel campo della scultura il futurista più attivo è Umberto Boccioni,
che scrive nel 1912 il Manifesto della scultura futurista
in cui viene evidenziato il disprezzo dell'imitazione delle statue, viene
ribadita l'abolizione dei soggetti tradizionali, si invita a non utilizzare
materiale unico (utilizzando possibilmente materiali innovativi) e a
rappresentare il movimento, con le statue che dovevano essere compenetrate con
l'ambiente.
La ricerca pittorica di Boccioni corre sempre
parallela a quella plastica; punto di arrivo di questa ricerca può essere
considerato Forme uniche nella continuità
dello spazio, del
Storia
Fin dall'antichità, l'uomo ha cercato di raggiungere il cielo. Se ne ha la prova nella mitologia greca, dove si narra infatti del volo di Icaro e Dedalo.
Volare, a quanto pare, è sempre stato un sogno degli esseri umani, cui si dedicarono persone di varie nazioni ed estrazioni sociali: gente come il grande Leonardo Da Vinci, Etienne e Joseph Montgolfier (inventori della mongolfiera), i fratelli Wright e molti altri studiosi di questo tema, in parte ricordati nella storia. I primi progetti di un velivolo volante li abbiamo con Leonardo Da Vinci; ma il primo apparecchio volante, una vera rivelazione per l'epoca, fu il biplano a motore dei fratelli Wright.
Da allora l'uomo ha cercato di arrivare sempre più in alto.
Con Auguste Picard si ha il primo volo nella stratosfera, e da allora i progressi sulle macchine volanti non si sono più fermati. Ma per avere i primi voli anche al di fuori dell'atmosfera bisognerà aspettare il secondo dopoguerra e la guerra fredda.
I sovietici, infatti, insieme alle ricerche nucleari, fecero partire
anche degli studi su delle tecnologie che permettessero all'uomo di viaggiare
nello spazio. Il 4 ottobre 1957, la storia ricorda il lancio del satellite Sputnik-1,
sovietico, seguito da un secondo con a bordo la cagnetta Laika, per vedere se
c'era la possibilità di mandare anche l'uomo nello spazio. Il ritorno di Laika,
dimostrava che l'uomo nello spazio non era un sogno, bensì una possibilità;
così, il 12 aprile 1961 il pilota militare Yuri Gagarin percorse l'orbita della
Terra a bordo del Vostok 1, lanciato alle nove e sette minuti della mattina, che
tornò al suolo un'ora e quarantotto minuti dopo.
Il successo dell'iniziativa sovietica fu un duro colpo per gli americani: lo Sputnik infatti era il primo satellite artificiale in orbita attorno alla terra, ma la sua importanza consisteva soprattutto nel fatto che ora i sovietici avrebbero potuto disporre di propulsori in grado di lanciare missili dal suolo russo direttamente sul territorio americano. Gli americani passarono subito al contrattacco: il mese successivo al volo di Gagarin, il presidente americano John Fitzgerald Kennedy lanciò il più ambizioso progetto per quei tempi: lo sbarco dell'uomo sulla Luna. In risposta al programma sovietico di esplorazione spaziale, il presidente statunitense John F. Kennedy dichiarò al Congresso il 25 maggio 1961: 'io credo che questa nazione debba impegnarsi per raggiungere entro la fine del decennio l'obiettivo di portare un uomo sulla Luna e riportarlo sulla Terra'
Il programma fu diretto dal
tedesco Werner Von Braun e fu eseguito a Cape Canaveral, in
Florida. Mentre gli americani si preparavano allo sbarco dell'uomo sulla Luna,
vengono battuti nuovamente sul tempo dai sovietici: nel 1963, Valentina
Tereskova è la prima donna ad andare nello
spazio.
Accompagnato da insuccessi
e gravi tragedie (tre statunitensi persero la vita durante una prova a terra
dell'Apollo
1 nel gennaio del 1967), l'onore di posare per primo il piede sulla
Luna toccò, il 21 luglio
Sulla targa c'è scritto:
Here men from the Planet Earth first set foot upon the
moon, July
We came in peace for all mankind.'
Qui, uomini dal pianeta Terra posero piede sulla Luna per la prima volta,Luglio
1969 DC
Siamo venuti in pace, a nome di tutta l'umanità
La targa raffigura i due emisferi del pianeta Terra, ed è firmata dai tre astronauti e dall'allora Presidente degli Stati Uniti d'America Richard Nixon.
Armstrong ed Aldrin collocarono quindi
alcuni strumenti per le rilevazioni scientifiche: un foglio di alluminio preparato
per catturare i gas portati sulla Luna dal vento solare (elio, neon, argo, cripto, xenon), uno specchio per riflettere i
raggi laser proiettati dalla Terra che avrebbero reso possibili perfette
misurazioni della distanza Terra-Luna, e infine un sismografo. Successivamente
vennero raccolti campioni di roccia da riportare a terra. Dopo circa 21 ore e
mezzo il LEM, si staccò di nuovo dalla superficie lunare per fare ritorno al
modulo di comando Columbia dove attendeva il terzo navigatore, Collins.
L'impresa si concluse con il rientro sulla Terra e l'ammaraggio della navicella
sull'Oceano Pacifico.
Dopo gli sbarchi del programma Apollo, nessun essere umano ha più
camminato sulla Luna. Gli americani persero interesse, i sovietici continuarono
con sonde automatiche (tra cui le Lunakhod), che riportarono anche
campioni di suolo a Terra. Le altre nazioni non avevano le risorse necessarie,
e le due superpotenze non vedevano un vantaggio tale nell'esplorazione da
giustificare gli altissimi costi.
Si continuano però le
sperimentazioni di navicelle sempre più sofisticate: il 12 aprile 1981 compare
per la prima volta lo Space Shuttle. Fu proprio uno
shuttle, il Challenger, ad essere utilizzato nel 1985 nella missione di
messa in orbita del laboratorio europeo Spacelab, grazie al quale vennero
condotti importanti studi in fatto di nuovi materiali, fisica solare,
astrofisica e geofisica.
L'anno seguente anche i sovietici lanciarono in orbita la stazione spaziale MIR, che è ricordata maggiormente per una serie di avarie, fino al suo recente pensionamento. Il programma di voli degli shuttle subì una tragica battuta d'arresto il 28 gennaio 1986, quando il Challenger esplose poco dopo il decollo e morirono i sette componenti dell'equipaggio. Le missioni lunari Apollo furono 6, si partì con Apollo 11 e si concluse con Apollo 17 (Apollo 13 non atterrò).
Dopo la cosiddetta "corsa alla Luna" degli anni '70, le missioni
spaziali verso il nostro satellite si sono ridotte notevolmente. Solo
recentemente la sonda Clementine, costruita riadattando un
satellite spia militare, ha ripreso numerose immagini delle regioni polari
ancora sconosciute, ma nel maggio del 1994 questa sonda ha perso i contatti con
Dal 1998 è in attività la sonda Lunar Prospector della NASA, che ha lo scopo di effettuare la mappatura completa della superficie lunare e di studiarne la composizione mineralogica.
Grazie a queste innumerevoli spedizioni siamo riusciti ad ottenere il vastissimo numero di informazioni oggi a nostra disposizione: i moti lunari, le eclissi, le maree, la composizione interna del nostro satellite ormai per noi non sono più un mistero.
Scienze
- Caratteri generali -

Un satellite di dimensioni rispettabili
Parecchie caratteristiche fisiche del "satellite
naturale" della Terra si differenziano da quelle degli altri 63 satelliti del
Sistema solare; in particolare, la massa, il volume (1/49 di quello terrestre)e la forma (ellissoidale). Il rapporto tra la massa della Luna e la massa
della Terra è sensibilmente maggiore dei corrispondenti rapporti tra gli
altri satelliti e i rispettivi pianeti; e la forma pressoché sferica della Luna non è affatto comune negli altri
satelliti. Già questi due fatti inducono a considerare
Un corpo celeste completamente arido
Un'altra importante
caratteristica della Luna è la mancanza
di atmosfera e di idrosfera; tale mancanza è probabilmente dovuta al basso
valore della gravità e, di conseguenza, al basso valore della velocità di fuga da questo corpo
celeste: eventuali gas presenti si sarebbero facilmente dispersi nel lontano
passato, quando
- I movimenti della Luna -
Anche
Una rotazione più lenta di quella terrestre

Un insieme di moti del sistema Terra-Luna
Il movimento di
rivoluzione della Luna attorno alla Terra si compie in senso antiorario
lungo un'orbita ellittica di cui
Nel compiere il suo moto attorno alla Terra
Naturalmente,
insieme alla Terra,
- Le fasi lunari e le eclissi -
Le condizioni di illuminazione della Luna cambiano regolarmente durante il mese sinodico, al variare della sua posizione rispetto alla Terra e al Sole: si hanno perciò le fasi lunari, che vediamo dalla Terra.
Un continuo susseguirsi di noviluni e pleniluni
Quando la luna si trova in congiunzione, ossia dalla stessa
parte del Sole rispetto alla Terra, l'emisfero che essa rivolge verso di noi
non viene colpito dai raggi solari e quindi risulta oscuro: abbiamo allora la fase
di Luna nuova (o novilunio). Quando invece
Fra queste due
posizioni se ne hanno altre due che vengono chiamate quadrature: esse si
verificano quando
L'ombra della Terra sulla Luna e le occultazioni del Sole

- Il paesaggio lunare -
Il paesaggio della Luna è caratterizzato, a grandi linee, da ampie
distese scure e a fondo quasi piatto, che prendono impropriamente il nome di mari, e da regioni ancora più vaste,
chiare e densamente craterizzate che costituiscono le terre alte (o altopiani).
La superficie lunare è cosparsa frequentemente di regolite, cioè di "polvere", cenere e detriti prodotti dalla
disgregazione delle rocce ad opera degli impatti
meteoritici, del vento solare e
delle forti escursioni termiche. I maggiori
spessori di regolite si trovano quasi certamente nelle zone depresse,
soprattutto nei mari. Sulla Luna non mancano le catene montuose, che raggiungono altitudini elevatissime, e i
rilievi collinari in forma di creste
e di cupole (o domi). Ma le forme più tipiche del rilievo lunare sono i crateri, prodotti dalla caduta di meteoriti e micrometeoriti o da fenomeni
vulcanici avvenuti nel passato. Tipici sono anche i solchi, connessi ad attività vulcanica o a fratture nella crosta
lunare
La composizione superficiale e l'interno della Luna

- L'origine e l'evoluzione della Luna -
La formazione del sistema Terra-Luna è uno degli aspetti più interessanti
della genesi del Sistema solare. E in tale ambito ovviamente si colloca l'origine della Luna, sulla quale sono
state formulate diverse ipotesi;
nessuna di queste, però, si configura ancora come una "teoria" universalmente
accettata.
Secondo l'ipotesi della fissione
Secondo l'ipotesi della cattura,
invece,
Secondo l'ipotesi dell'accrescimento
Infine, secondo l'ipotesi dell'impatto gigante,
Una storia lunga e complessa
La storia della Luna, dopo la sua origine, è molto complessa e può essere suddivisa in vari stadi evolutivi: la primitiva formazione della crosta (costituita da anortositi); un'antica epoca di intenso vulcanismo; un periodo di bombardamenti da parte di corpi meteoritici e una nuova epoca di vulcanismo (responsabile delle distese basaltiche), che, insieme, hanno prodotto i mari lunari; lo stadio finale, caratterizzato da un progressivo declino dell'attività endogena, fino alle condizioni di quiescenza.
- Le maree -

Le maree sono movimenti "periodici": esse consistono in oscillazioni
ritmiche con innalzamenti (flussi) e
abbassamenti (riflussi) del livello
marino. La fase di massimo sollevamento è l'alta marea, quella di massimo abbassamento è la bassa marea; la differenza tra queste
due è l'ampiezza della marea. Le
maree sono dovute all'attrazione gravitazionale esercitata soprattutto dalla
Luna e subordinatamente dal Sole sulle masse marine e oceaniche. Nel fenomeno,
però, interviene anche la forza centrifuga legata alla rivoluzione del sistema
Terra-Luna intorno al baricentro comune; pertanto, l'alta marea si verifica sia
in corrispondenza del meridiano su cui culmina
Fisica
Il comportamento delle maree era già noto ai Greci e ai Romani, ma solo dopo che Newton ebbe enunciato la legge della gravitazione universale fu possibile dare una interpretazione soddisfacente di questo fenomeno.
-
Due corpi di massa M ed m si attraggono con una forza F, detta forza di gravità, la cui intensità è proporzionale alla massa dei corpi ed inversamente proporzionale al quadrato della distanza r tra i centri delle due masse:
(1.1)
dove G è una costante detta costante di gravitazione universale, il cui valore è:
![]()
La relazione 1.1 prende il nome di legge di gravitazione universale.
Questa forza è diretta lungo la congiungente i due corpi e, a differenza della forza che agisce tra due cariche, è solo di tipo attrattivo; le masse, infatti, non possono chiaramente avere segno negativo, mentre le cariche elettriche possono essere anche negative.
L'investigazione sperimentale ha infatti rivelato che la forza tra due cariche elettriche obbedisce a una legge che ricorda molto quella di Newton, cioè è proporzionale al valore delle due cariche e inversamente proporzionale al quadrato della distanza fra di esse. Fu il fisico francese Charles Augustin Coulomb che, nel 1784, tramite misure accurate con una bilancia di torsione, riuscì a formulare una legge matematica che esprimeva la forza che si manifesta tra corpi carichi.
-
Nel caso di due corpi carichi, sufficientemente piccoli rispetto alla loro distanza (in modo da poterli considerare puntiformi), posizionati nel vuoto (cioè senza materia tra loro), Coulomb trovò che:
![]()
dove Q e q sono i valori delle due cariche espressi in coulomb.
La costante K viene scritta:
![]()
dove
è la costante
dielettrica del vuoto, per cui la forza elettrica F assume la forma:
![]()
Questa relazione è nota come legge di Coulomb.
La forza F è un vettore avente come direzione la retta che passa per i centri delle cariche Q e q e verso che dipende dal segno delle cariche: nel caso le cariche siano dello stesso segno, la forza sarà repulsiva, mentre sarà di tipo attrattivo se le cariche hanno segno opposto.

- Campo elettrico -
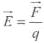
Come una massa genera un campo gravitazionale, una carica elettrica posta in un punto dello spazio crea nello spazio circostante un campo elettrico. Per mettere in evidenza tale campo è necessario utilizzare una carica esploratrice q, avente per convenzione segno positivo. Il vettore campo elettrico è definito come il rapporto tra la forza elettrostatica a cui è soggetta la carica esploratrice q (chiamata carica di prova) nel punto in cui è posizionata e la carica stessa:
![]()
La direzione ed il verso di E coincidono con la direzione ed il verso di F.
L'unità di misura del campo elettrico nel Sistema Internazionale è
Campo elettrico generato da una carica elettrica puntiforme
L'intensità del campo elettrico generato da una carica elettrica puntiforme Q si ricava a partire dalla definizione di campo elettrico e dalla legge di Coulomb, come:
![]()
Il campo elettrico in un punto dello spazio non dipende quindi dalla carica esploratrice q, ma solo dalla carica generatrice Q, dalla distanza del punto dalla carica Q, e dal mezzo (tramite il fattore k). Per calcolare il campo totale prodotto da più cariche puntiformi, si utilizza il principio di sovrapposizione, secondo cui il campo elettrico di una distribuzione di cariche è uguale alla somma vettoriale dei campi elettrici prodotti dalle singole cariche
Linee di forza del campo elettrico
Il campo elettrico può venire rappresentato graficamente mediante linee di forza, ossia linee continue che in ogni punto sono tangenti al vettore campo elettrico E. Le linee di forza del campo elettrico sono convenzionalmente uscenti dalle cariche elettriche positive ed entranti nelle cariche elettriche negative. Le linee di forza del campo elettrico non possono intersecarsi poiché nell'eventuale punto di intersezione E avrebbe due diverse direzioni contemporaneamente.
(a)
(b)
Linee di forza di un campo elettrico generato da una carica puntiforme.
(a) Carica positiva; (b) Carica negativa
(c)
(d)
Linee di forza del campo elettrico generato da due cariche puntiformi di uguale intensità.
(c) Segno opposto; (d) Stesso segno
Carattere conservativo del campo elettrostatico
Il campo elettrico generato da cariche in quiete non varia nel tempo e si dice campo elettrostatico. Il campo elettrostatico è un campo conservativo, ovvero il lavoro compiuto dalle forze del campo per portare una carica elettrica da una posizione iniziale ad una posizione finale non dipende dal percorso seguito.
Matematica
Aristarco di Samo (
Egli è solitamente citato come uno dei precursori di Copernico
nel proporre una visione eliocentrica del cosmo. Una visione in cui il Sole,
fermo, occupa il centro del sistema e Terra e Pianeti gli orbitano intorno,
mentre
Tutte le informazioni che abbiamo su di lui ci vengono da alcuni
riferimenti alle sue teorie fatte da altri scrittori classici come Archimede
e Plutarco.
Archimede dice di
lui
ne L'Arenario:
.Aristarco ha pubblicato un libro contenente certe ipotesi da cui appare, come conseguenza delle assunzioni fatte, che l'universo è molte volte più grande dell'universo appena citato. Le sue ipotesi sono che il sole e le stelle fisse restano ferme, che la terra gira intorno al sole sulla circonferenza di un cerchio di cui il sole occupa il centro, e che la sfera delle stelle fisse, situata intorno allo stesso centro, è così grande che il cerchio in cui egli suppone che la terra si muova dista dalle stelle fisse tanto quanto il centro della sfera dista dalla sua superficie..
Non conosciamo altri astronomi che abbiano esposto idee simili prima di lui. Peraltro i suoi successori non accettarono le sue ipotesi, fatto, questo, che non contribuì certo alla sua popolarità. Secondo Plutarco, Aristarco seguiva la teoria di Eraclide di Ponto che pensava che la rotazione diurna delle stelle fisse fosse dovuta alla rotazione della Terra sul suo asse. E di lui parla Vitruvio (I sec. d.C.), il famoso architetto e ingegnere romano, che lo cita nel De Architectura in una lista di personaggi cui si devono invenzioni e risultati di particolare importanza per lo sviluppo delle scienze e della tecnica.
Matematico ed astronomo egli occupa tuttavia un posto importante nello
sviluppo dell'astronomia matematica; oltre alle sue teorie, infatti, a lui si
deve il primo tentativo di determinare le
dimensioni e le distanze del Sole e della Luna. I valori da
lui ricavati, per quanto errati, furono
utilizzati da tutti i suoi successori per più di 1500 anni. Solo verso il XVII
secolo, infatti, dopo le osservazioni di Copernico, Tycho Brahe, Keplero
ed altri si ebbe una determinazione corretta di queste distanze. L'unica opera
di Aristarco sopravvissuta si chiama Sulle
grandezze e le distanze del Sole e della Luna e fornisce, fra le altre,
la deduzione geometrica della distanza fra
Le ipotesi da cui parte possono essere riassunte come segue:
il Sole è lontano, ma non troppo perché i suoi raggi colpiscano Terra e Luna con angoli diversi
Con l'uso della trigonometria, sconosciuta ad Aristarco, la sua deduzione è equivalente alla situazione mostrata in fig. 1
Fig. 1
Il rapporto fra le distanze del Sole e della Luna è dato da sen 3°; il ragionamento di Aristarco equivale a calcolare un valore per questa espressione, il cui risultato è:
1/18 < sen 3° < 1/20
In altri termini il Sole è 18 - 20 volte più lontano della Luna.
La distanza angolare fra Sole e Luna viene stimata da Aristarco in 87°,
il valore corretto è di circa 89° 51' che porta il rapporto fra le due distanze
a circa 400 volte. L'errore deriva dalla difficoltà di misurare esattamente
l'angolo formato fra il Sole e
Stranamente Aristarco usa il valore di 2° come diametro angolare del Sole e della Luna. Archimede, però, cita un valore di 0.5° (in prima approssimazione è il valore oggi accettato), attribuendolo ad Aristarco. Forse Sulla grandezza e la distanza del Sole e della Luna è un'opera giovanile e solo più tardi egli formulò l'ipotesi eliocentrica e calcolò un valore più accurato delle dimensioni angolari del Sole.
In realtà, come a molti dei filosofi greci, ad Aristarco non interessava tanto trovare valori accurati, quanto formulare la teoria e il procedimento per arrivare al risultato.
Procedimento perfettamente valido e corretto, nonostante i valori errati lo portassero a conclusioni sbagliate.
Inglese
- To the moon -
And, like a dying lady lean and pale,
Who totters forth, wrapp'd in a gauzy veil,
Out of her chamber, led by the insane
And feeble wanderings of her fading brain,
The mood arose up in the murky east,
A white and shapeless mass.
Art thou pale for weariness
Of climbing heaven and gazing on the earth,
Wandering companionless
Among the stars that have a different birth,
And ever changing, like a joyless eye
That finds no object worth its constancy?
'Thou chosen sister of the spirit,
That gazes on thee till in thee it pities '
(To the moon, Percy Bysshe Shelley, 1820, Posthumous Poems)
This fragment among many others from
Shelley's manuscripts was published by Mary Shelley, his wife, in her
editions of 1824 (Posthumous Poems) and 1839. She entitled this To
the Moon. The first two lines of a second stanza were published by W. M.
Rossetti in 1870 (The Poetical Works). It was probably
written in the autumn of 1820 such as The Waning Moon and it is structured
in a strophe of trochaic tetrapodies and iambic pentapodies (aBaBCC) and the
first two verses of the following strophe. To the Italian reader the fragment
can remember the sublime questionings of Canto notturno di un pastore errante
dell'Asia by Leopardi, while for the English
reader it is associated with the page of A Portrait of the Artist as a Young Man (1916)
by James
Joyce in which Stephen Dedalus repeats to himself
some verses of the Shelley's fragment.
Percy paints the portrait of a woman pale and wandering like the moon, because he is questioning his own self. In the second verse he is writing about wandering companionless. He wants a companion; he does not want to be like the moon, simply reflecting the sun.
He wants to shine and be with someone. Not pale, not alone.
Conclusione
Una delle massime aspirazioni
dell'uomo è stata sin dall'antichità quella di compiere un viaggio sulla Luna.
Si pensi che già nel II secolo d.C., Luciano di Samosata sognava di
raggiungere
Nel XVII secolo Cyrano
de Bergerac si 'reca' sulla Luna su un carro spaziale
sospinto da congegni a reazione, mentre lo scrittore Edgar Allan Poe immagina
di intraprendere questo arduo viaggio su un pallone gonfiato con un gas
misterioso, 40 volte meno denso dell'idrogeno. Siamo ormai alle soglie della
fantascienza. Jules Verne nel suo romanzo Dalla Terra alla Luna, per descrivere il lancio di una
cabina spaziale diretta sulla Luna ricorre a una palla di cannone capace di
sospingere l'intrepida navicella nello spazio. Herbert G. Wells propone,
invece, di impiegare una straordinaria sostanza, detta cavorite, capace di annullare la forza di gravità.
Agli albori del XX secolo la meta viene raggiunta veramente: la pallida Luna, che illumina le notti d'estate con la sua luce argentea e misteriosa, viene conquistata, nessuna ricchezza è stata trovata, ma il solo fatto di averla raggiunta e in parte esplorata ha reso all'uomo una grande soddisfazione. Il desiderio di scoperta non si è per questo appagato e nuovi viaggi sono allo studio; questi viaggi interplanetari, queste esplorazioni impegnano energie e ricchezze incalcolabili al solo scopo di portare degli strumenti e degli uomini oltre i limiti che la natura stessa sembra avergli assegnato. Molti di questi soldi sarebbero stati forse più utili impiegati per far fronte ai gravi problemi che affliggono la nostra Terra, come la fame, le malattie, le guerre, ma le imprese spaziali costituiscono un momento di quell'inarrestabile spirito di ricerca, di sapere, di affermazione che è tra gli elementi più nobili della natura umana.
Allo stesso modo con cui l'epoca delle grandi esplorazioni terrestri ha trasformato la geografia politica, ugualmente l'era spaziale è destinata a portare delle trasformazioni nel mondo d'oggi. Si pensi ai vantaggi dell'installazione di stazioni spaziali di ricerca. Già usufruiamo dei servizi dei satelliti che scienziati di tutto il mondo hanno costruito e lanciato in orbita per facilitare le telecomunicazioni tra un continente e l'altro, per studiare le condizioni meteorologiche, per facilitare ricerche oceanografiche, geologiche e che contribuiscono ad ampliare la conoscenza del nostro pianeta. Le innovazioni tecniche derivate dalle ricerche spaziali hanno influito sull'industria, sul commercio e sulla sanità. Sono state usate nuove leghe metalliche estremamente sensibili sperimentate sulle astronavi, si è avuto uno sviluppo delle aziende elettroniche e anche la medicina ha tratto dei preziosi suggerimenti dalle reazioni del corpo umano nello spazio. Col progredire della tecnologia e col crescere dei dubbi sulla sostenibilità a lungo termine della crescita della popolazione umana, l'idea della colonizzazione della Luna o di altri pianeti per alcuni sembra essere un obiettivo fattibile e utile.
- Le possibilità di vita sulla Luna -
![]()
Da tempo il mondo scientifico si interroga sulle possibilità future di
un soggiorno umano sulla Luna. Il satellite infatti potrebbe fungere da base di
lancio per le astronavi, facilitandone enormemente il decollo, data la sua
scarsa forza di gravità. Inoltre
![]()
Per via della sua vicinanza alla Terra e della
sua geografia ben studiata,
L'attuale tendenza, da parte delle nazioni impegnate nella ricerca spaziale, è quella di concentrare tutti gli sforzi sulle stazioni spaziali orbitanti attorno alla Terra. Da queste basi potrebbero partire tutte le sonde spaziali, senza ravvisare bisogno di una stazione lunare. Ammesso pure che si voglia costruire una stazione lunare permanente, questa comporterebbe innumerevoli problemi legati alla sopravvivenza e alle concrete possibilità operative dell'uomo in un ambiente così diverso dal nostro. Le radiazioni cosmiche, che colpiscono in tutta la loro potenza distruttiva il suolo lunare, sono estremamente pericolose, per non parlare dei problemi creati dalla mancanza di aria, acqua, pressione e temperature accettabili. Tutto ciò lascia prevedere che una futura presenza umana permanente sul nostro satellite sarà difficile da realizzare.
- Pro e contro -
A prescindere dalla
questione generale se una colonia umana oltre
Vantaggi
![]()
In genere, insediare una
colonia su un corpo celeste fornisce grandi quantità di materiale per la
costruzione della base stessa, nonché per altri utilizzi, compresa la
schermatura dalle radiazioni. L'energia richiesta per lanciare oggetti dalla
Luna verso lo spazio è molto inferiore a quella richiesta per eseguire la
stessa operazione dalla Terra, questo permette alla Luna di fungere da sito di
costruzione o stazione di rifornimento per astronavi. Alcune proposte includono
l'uso di dispositivi ad accelerazione elettromagnetica per lanciare oggetti
nello spazio senza dover ricorrere a razzi. Oltre a ciò,
un tempo di percorrenza breve; gli astronauti delle missioni Apollo coprirono la distanza in tre giorni. Un tempo così breve permette sia di inviare rapidamente missioni di emergenza dalla Terra o di evacuare rapidamente l'equipaggio della base lunare. Per confronto, la distanza che ci separa da Marte con le attuali tecnologie richiede mesi di viaggio.
il ritardo delle telecomunicazioni è di pochi secondi e non impedisce le normali conversazioni in voce e video. Per confronto, il ritardo con Marte va da otto a quaranta minuti circa. Questo potrebbe essere cruciale nelle prime fasi di fondazione della colonia, dove emergenze e situazioni critiche potrebbero avvalersi dell'assistenza da Terra in tempo pressoché reale (un esempio di ciò fu la missione Apollo 13).
sulla faccia vicina della Luna
una base lunare sarebbe un eccellente sito per un osservatorio astronomico. Data la lenta rotazione della Luna, le osservazioni in luce visibile potrebbero durare interi giorni. Sarebbe inoltre possibile mantenere costantemente sotto osservazione un bersaglio tramite una serie di osservatori distribuiti lungo la circonferenza lunare.
Svantaggi
la lunga notte lunare impedisce di far affidamento all'energia solare e richiede la progettazione di una struttura capace di reggere temperature estreme. Un'eccezione a questa restrizione sono alcuni rilievi posti in prossimità del polo nord lunare, che sono sempre illuminati. Altre aree vicine ai poli che sono illuminate per la maggior parte del tempo potrebbero essere utilizzate per insediarvi una rete di centrali elettriche.
sulla Luna sono quasi assenti gli
elementi chimici leggeri - idrogeno, ossigeno, carbonio, azoto - benché si sia
trovato del ghiaccio d'acqua in prossimità dei poli. Questi elementi sono
necessari per produrre aria respirabile, cibo e propellente e dovrebbero essere
importati dalla Terra fino alla scoperta di fonti più economiche. Questo
limiterebbe la crescita della colonia e la manterrebbe dipendente dalle risorse
della Terra. Una possibilità potrebbe essere l'utilizzare navi da trasporto
realizzate con materiali ricchi di elementi leggeri (fibra di carbonio o altre materie
plastiche ad esempio), anche se la conversione di questi materiali in forme
utili ad un sistema capace di sostenere la vita sono comunque complesse e costose.
L'ossigeno è presente sulla Luna, è il principale elemento costituente della regolite
che copre la sua superficie, ma l'energia richiesta per liberarlo è elevata.
Esclusa
vi è incertezza su quanto la gravità lunare (un sesto di g) sia sufficiente per impedire i fenomeni di deperimento a lungo termine dell'organismo umano. È dimostrato che l'esposizione all'assenza di peso per periodi di tempo dell'ordine dei mesi crea una riduzione delle masse di ossa e muscoli, nonché una depressione del sistema immunitario.
l'assenza di atmosfera rende la superficie lunare non isolata ed esposta e grandi sbalzi di temperatura, nonché a livelli di radiazione paragonabili a quelli sperimentabili nel vuoto dello spazio interplanetario. L'assenza di atmosfera aumenta inoltre il rischio di impatto da meteore; in queste condizioni anche piccole pietre hanno il potenziale per distruggere strutture non adeguatamente protette.
In ogni modo, con
le ricerche spaziali l'uomo andrà sempre più lontano, dopo
Bibliografia
Latino
v
Maurizio
Bettini, La letteratura latina 3,
v Pontiggia, Grandi, M.C., Letteratura Latina. Storia e Testi, Principato, 2000
v Conte, Pianezzola, Storia e testi della letteratura latina, vol. III, Le Monnier, 1999
Italiano
v De Caprio, Giovannardi, I testi della letteratura italiana, l' Ottocento, Einaudi scuola, Milano, 1998
v Letteratura italiana 3, testi e critica con lineamenti di storia letteraria, Seconda edizione, Zanichelli, Bologna
v Luperini, Cataldi, Marchiani, La scrittura e l'interpretazione, vol. II, tomo III,
v Palumbo, 2002
v A. Dendi, E. Severina, A. Aretini, Moduli di letteratura italiana ed europea, vol. V, Carlo Signorelli Editore, 2001
Disegno e storia dell'Arte
v Piero Adorno, L'arte italiana, Casa editrice G. D'Anna
v Adorno, Mastrangelo, Arte, correnti ed artisti, vol. II, D'Anna, Firenze, 1998
v Cricco, Di Teodoro, F.P., Itinerario nell'Arte, vol. III, Zanichelli, 2003
v O. Calabrese, Comunicarte 6, Le Monnier, 2006
Storia
v Carlo Cartiglia, Nella storia 3, tomo III, Loescher, Torino, 1997
v Massimo Salvadori, Storia dell'età contemporanea, vol. I, Loescher, Torino, 1988
v Bianucci, La luna. Dallo sbarco alla colonizzazione., Giunti, 1999
v Pombeni, Introduzione alla storia contemporanea, Il Mulino, 1997
v Baldi, Giusto, Rametti, Zaccaria, Dal testo alla storia, dalla storia al testo, ed. Paravia
v F. Traniello, A. Guasco, Storia di mille anni, vol. III, Società Editrice Internazionale, Torino, 2004
v Feltri, Francesco Maria, I giorni e le idee, vol. III Il Novecento, SEI, 2002
Scienze
v
Palmieri,
Parotto,
v Bosellini, Le scienze della Terra e l'universo intorno a noi, Italo Bovolenta Editore
v N. Booth, Il sistema solare, un viaggio di pianeta in pianeta, De Agostini
v Ivo Neviani, Cristina Pignocchino, Geografia Generale, SEI, Torino 2000
v Palmieri, Parotto, Il globo terrestre, V edizione, Zanichelli editore, 2000
Fisica
v Progetto fisica 3, Zanichelli, Bologna, 1999
v G. Teppati, T. Valvo, D. Brodie, Fisica, vol. III, John Murray P. LTD, Edizioni il capitello, 2006
Inglese
v R. Marinoni Mingazzini, L. Salmoiraghi, Witness to the Times, vol. D The Twentieth Century in Britain, Principato The Choice for Literature, 2004
v Enciclopedia Encarta, Microsoft, 1998
v
L'Enciclopedia,
Siti Internet:
v https://it.wikipedia.org
v https://www.nasa.gov
v https://www.moma.org
v https://www.artchive.com
v https://www.artdreamguide.com
v https://www.astrolink.it
v https://www.artonline.it
v https://www.bo.astro.it
v https://www.bnnonline.it/biblvir/leopardi.htm
v https://musei.sibillini.net
v https://cronologia.leonardo.it
v https://www.irre.toscana.it/futurismo/indice.htm
v https://www.classicitaliani.it
v https://matematica.uni-bocconi.it/archivio/aristarco.htm
v https://www.bartleby.com
v https://www.romanticismoinglese.it
v https://www.poetry-archive.com
v https://www.online-literature.com
v https://www.castfvg.it
v https://astrocultura.uai.it
v https://chimera.roma1.infn.it/GIORGIO/futurismo/parole.html
v https://www.generativedesign.com
v https://library.thinkquest.org
v https://www.astronautica.us
v https://www.libreriauniversitaria.it
![]() |
| Appunti su: |
|
| Appunti Geografia | ![]() |
| Tesine Archeologia | ![]() |
| Lezioni Ecologia ambiente | ![]() |