![]() |
|
| Appunti scientifiche |
|
| Visite: 3220 | Gradito: |
Leggi anche appunti:Il perossido di idrogeno come "propellente verde"Il perossido di idrogeno come "propellente verde" L'utilizzo di propellenti Le leggi dei gasLe leggi dei gas Le ricerche sperimentali effettuate sullo stato aeriforme Dipendenza dell'Entalpia da T: equazione di KirchhoffDipendenza dell'Entalpia da T: equazione di Kirchhoff per l'entalpia vale: dove |
![]() |
![]() |
Recentemente sono stati pubblicati numerosi lavori [[i]], [[ii]] che studiano composti bi- o polinucleari di metalli di transizione con leganti organici polidentati. Questi sistemi possiedono la caratteristica di avere un alto grado di delocalizzazione elettronica, grazie ad orbitali molecolari che si estendono su tutta la molecola e coinvolgono sia i centri metallici che il legante polidentato. Ne è un esempio lo ione di Creutz-Taube [iii] ] (fig. 1.1) contenente due centri di rutenio in diverso stato di ossidazione (II e III) che risultano essere in comunicazione tra loro come dimostrato da misure elettrochimiche[

Figura 1. : Ione di Creutz-Taube
La stabilità di questi complessi dipende dall' interazione tra gli orbitali molecolari del legante e quelli dei metalli, i quali possedendo simmetria ed energia paragonabili, possono sovrapporsi. Studi successivi hanno preso in considerazione altri tipi di leganti contenenti atomi di azoto piridinici [[iv]], [[v]], [[vi]], [[vii]] o polipiridinici [[viii]], [[ix]], [[x]], [[xi]] ed atomi donatori come ossigeno[[xii]], [[xiii]], [[xiv]], [[xv]] o zolfo [[xvi]], [[xvii]], [[xviii]], [[xix]](fig. 1.2 ed 1.3):

Figura 1. : Leganti diossolenici

Figura 1. : Tipologie di leganti studiati
In questo contesto si inserisce lo studio riguardante le proprietà coordinative, elettrochimiche e magnetiche del legante 1,10-fenantrolina-5,6-dione (fig. 1.4) grazie sia alla sua capacità di formare complessi stabili sia all'interesse suscitato in campo chimico [[xx] ], [[xxi] ], [[xxii]], [[xxiii]], biochimico [[xxiv] ], [[xxv]], [[xxvi] ], [xxvii]ed analitico [[xxviii]], [[xxix]], [[xxx]] .

Figura 1. : 1,10-fenantrolina-5,6-dione, pdonq
A tal fine, sono stati sintetizzati non solo complessi mono e bimetallici, dei quali sono stati condotte misure di voltammetria ciclica, misure magnetiche, spettri nell' Uv-Vis; ma anche complessi ad alta nuclearità, confermando la grande capacità coordinativa di questo legante.
La caratteristica che ha suscitato maggiore interesse nei confronti del legante 1,10-fenantrolina-5,6-dione, deriva dalla sua particolare struttura: esso, infatti, può coordinarsi sfruttando sia il gruppo chinonico formando composti O,O′- coordinati per reazione con metalli in basso stato di ossidazione[[xxxi]] (fig. 1.5), sia la basicità del gruppo diiminico formando composti N,N′- coordinati con metalli in alto stato di ossidazione[[xxxii]] ossia aventi caratteristiche di acido di Lewis (fig. 1.6).

Figura 1. : Proprietà coordinanti del sito chinonico del pdonq con metalli in basso stato di ossidazione

Figura 1. : Proprietà coordinanti del sito diimminico del pdonq con acidi di Lewis
Nel momento in cui un metallo si lega alla funzionalità chinonica, quella diimminica non coordinata mostrerà una reattività simile a quella della fenantrolina (fig. 1.7); viceversa quando un metallo si lega all'azoto diimminico, la funzionalità chinonica rimasta libera, mostrerà una reattività simile a quella del 9,10- fenantrenchinone (fig. 1.8) ossia sarà capace di due reazioni acido base o redox a seconda del composto metallico con cui viene fatto reagire.

Figura 1. : Reazione di un frammento fenantrolina equivalente

Figura 1. : Reazione di un frammento fenantrenchinone equivalente
Per questo motivo è interessante approfondire le nostre conoscenze sulle proprietà coordinative della fenantrolina e del fenantrenchinone e mettere in evidenza alcune differenze strutturali dei leganti 1,10-fenantrolina, 9,10-fenantrenchinone e 1,10-fenantrolina-5,6-dione[ [xxxiii] ] (fig. 1.9):

(1) (2) (3)
Figura 1. : (1) 1,10-fenantrolina-5,6-dione; (2)1,10-fenantrolina; (3) 1,10 fenantrenchinone.
In particolare l'1,10-fenantrolina-5,6-dione mostra un legame N-C più corto rispetto quello della fenantrolina (1.339(3) Å rispetto 1.36 Å), mentre il legame C-C che unisce i due anelli piridilici è della stessa lunghezza (circa 1.49 Å). Rispetto al fenantrenchinone, invece, i due legami carbonilici C=O sono leggermente più corti (1.213(3)) Å rispetto ad 1.229(8) Å). Ciò si traduce in una maggiore forza del legame C=O e di conseguenza in una frequenza di stiramento del legante (1) minore rispetto quella del legante (3). La lunghezza del legame C-C che unisce i due siti carbonilici nell'1,10-fenantrolina-5,6-dione è tipica del legame singolo (1.529(4) Å) ed è più corta rispetto quella dell'1,10-fenantrenchinone (1.570(9) Å). Questi dati strutturali[33] si ripercuotono come vedremo in seguito sulle proprietà spettroscopiche, elettrochimiche e coordinative dei tre leganti.
La coordinazione di (1) con un centro metallico, provoca un ulteriore cambiamento della struttura del legante causando una variazione dalle caratteristiche basiche del sito diimminico ed ossido riduttive del sito chinonico (vide infra).
I primi dati riguardanti la sintesi di complessi contenenti il legante pdonq, risalgono al 1975 e si riferiscono ai complessi PdCl2(N,N′-C12H6N2O2) (eq. 1.1) e Pt(PPh3)2(O,O′- C12H6N2O2)[[xxxiv]] (eq. 1.2):
PdCl2(PhCN)2 + C12H6N2O2 → PdCl2(N,N′-C12H6N2O2) + 2PhCN (1.1)
Pt(PPh3)4 + C12H6N2O2 → Pt(PPh3)2(O,O′-C12H6N2O2) + 2PPh3 (1.2)
Sulla base di dati di spettroscopia infrarossa, relativi alla frequenza di stiramento della banda chinonica, fu ipotizzato che nel complesso di palladio il legante si coordinasse al centro metallico attraverso il sito diimminico; mentre si ritiene che nel complesso di platino il legante si coordini al legante attraverso il sito chinonico, che viene ridotto quindi per due elettroni (fig.1.10).

Figura 1. : Strutture ipotizzate per PdCl2(N,N′-C12H6N2O2) e Pt(PPh3)2(O,O′-C12H6N2O2)
Successivamente nel 1985, Goss ed Abruña riportarono la sintesi e le proprietà elettrochimiche di complessi di Fe(II), Ru(II), Co(II) e Cu(II)[[xxxv] ] contenenti non solo il pdonq come legante, ma anche il dipy e phen:
C12H6N2O2
+ (NH4)2Fe(SO4)2
[Fe(C12H6N2O2)3](PF6)2
C10H8N2+[Ru(C12H6N2O2)2Cl2]
[Ru(C12H6N2O2)2(dipy)](PF6)2
C12H6N2O2
+ [Ru(C12H6N2O2)2Cl2]
[Ru(C12H6N2O2)3](PF6)2
C12H6N2O2
+ Ru(dipy)2Cl2
[Ru(C12H6N2O2)(dipy)2](PF6)2
C12H6N2O2
+ Os(dipy)2Cl2
[Os(dipy)2(C12H6N2O2)](PF6)2
C12H6N2O2
+ Os(phen)2Cl2
[Os(phen)2(C12H6N2O2)](PF6)2
C12H6N2O2
+ CoCl2
[Co(C12H6N2O2)3](PF6)2
C12H6N2O2
+ CuCl2
[Cu(C12H6N2O2)2](PF6)2
In tutti questi complessi il pdonq è legato al metallo attraverso l'azoto dimminico come messo in evidenza dalla frequenza di stiramento della banda relativa al chinone libero. In particolare, dalle misure di voltammetria ciclica riportati in tab. 1.1 si possono trarre le seguenti conclusioni:
Come nel fenantrenchinone, anche nel pdonq la funzionalità chinonica può ridursi per uno o due elettroni, con un potenziale di riduzione pari a -0,445 V per il primo elettrone e -1,251 V per il secondo (fig. 1.11).

Figura 1. : Potenziali redox di pdonq calcolati in CH3CN vs SCE
Gli Es relativi ai due trasferimenti elettronici cadono a potenziali meno negativi e quindi il legante N,N'-coordinato ha caratteristiche ossidanti più spiccate di quello libero.
A differenza del 2,2'-dipiridile, e della fenantrolina, il pdonq mostra sempre un' unica onda di riduzione indipendentemente dal numero di leganti presenti come si può osservare dai complessi del tipo [Ru(pdonq)x(dipy)3-x]2+,con x = 0, 1, 2, 3 ed [OsL2(pdonq)]2+,dove L = phen e dipy.
Il valore del potenziale redox del metallo si sposta verso valori sempre più positivi all' aumentare del numero di leganti fenantrolindionici coordinati, ed al diminuire del numero di leganti dipy o phen coordinati, in accordo con maggiore π- acidità di (1). Ciò è visibile nei complessi del tipo [Ru(pdonq)x(dipy)3-x]2+,con x = 0, 1, 2, 3 ed [OsL2(pdonq)]2+,dove L = phen e dipy.
|
COMPLESSO |
POTENZIALE REDOX (V) |
||||
|
METALLO |
PDONQ |
DIPY / PHEN |
|||
|
Pdonq |
|
|
|
|
|
|
[Co(C12H6N2O2)3]2+ |
|
|
|
|
|
|
[Fe(C12H6N2O2)3]2+ |
|
|
|
|
|
|
[Cu(C12H6N2O2)2]2+ |
|
|
|
|
|
|
[Ru(C12H6N2O2)3]2+ |
|
|
|
|
|
|
[Ru(C12H6N2O2)2(dipy)]2+ |
|
|
|
|
|
|
[Ru(C12H6N2O2)(dipy)2]2+ |
|
|
|
|
|
|
[Os(dipy)2(C12H6N2O2)]2+ |
|
|
|
|
|
|
[Os(phen)2(C12H6N2O2)]2+ |
|
|
|
|
|
Tabella 2.1. : Potenziali redox di vari complessi vs SCE
Nel 1991 sono apparsi i primi lavori in cui il legante fenantrolindione, viene coordinato al metallo attraverso sia la funzionalità chinonica che quella diimminica[[xxxvi]]. In particolare sono stati sintetizzati i complessi: (PPh3)2Pt(O,O′-C12H6N2O2-N,N')PdCl2 e (PPh3)2Pt(O,O′-C12H6N2O2-N,N′)Ru(PPh3)2Cl2 (eq. 1.3, 1.4),(fig 1.12, 1.13)
PdCl2(PhCN)2 + Pt(PPh3)2(O,O′-C12H6N2O2) →
(PPh3)2Pt(O,O′-C12H6N2O2-N,N')PdCl2 + 2PhCN (1.3)
(4)
Ru(PPh3)3Cl2 + Pt(PPh3)2(O,O′-C12H6N2O2)→
(PPh3)2Pt(O,O′-C12H6N2O2-N,N′)Ru(PPh3)2Cl2 + PPh3 (1.4)

Figura 1. : Struttura molecolare del complesso (PPh3)2Pt(O,O′-C12H6N2O2-N,N')PdCl2

Figura 1. : Struttura molecolare del complesso (PPh3)2Pt(O,O′-C12H6N2O2-N,N′)Ru(PPh3)2Cl
I dati elettrochimici dei composti (4) e (5) mostrano uno spostamento dei potenziali redox verso valori più positivi indicando quindi un aumento della stabilità della forma ridotta in seguito la coordinazione.
Concludendo, possiamo affermare che quando il pdonq si coordina ad un centro metallico modifica le proprie proprietà. In particolare:
Quando il metallo si coordina al sito diiminico il legante diventa più ossidante;
Quando il metallo si coordina al sito chinonico, il legante diventa più π-acido.
La maggiore π-acidità del legante coordinato è stata anche provata sperimentalmente mediante lo studio degli spettri nell' UV-Vis nei quali si osserva lo spostamento della λmax verso valori minori nei complessi contenenti il pdonq rispetto agli analoghi contenenti phen o dipy, confermando l'ipotesi che il legante pdonq abbia un maggiore carattere -acido rispetto gli altri due leganti. L'energia necessaria per la transizione aumenta inoltre con l'aumentare del numero dei leganti coordinati al centro metallico mettendo in evidenza la proprietà di additività di questo effetto.
Nella tabella 1.2 sono riportati dei dati relativi sia agli stessi complessi di cui sono state eseguite misure di voltammetria ciclica[35] (tabella 1.1) che a complessi sintetizzati di recente quali FeCl2(N,N'-C12H6N2O2)2[ [xxxvii] ].
Dai dati presenti in letteratura, si assegnano alle lunghezze d'onda minori le transizioni π→π* del nucleo fenantrolinico, mentre si ritiene che la banda a lunghezze d'onda maggiori sia dovuta ad un il trasferimento di carica L→M.
|
COMPLESSO |
λmax (nm) |
||||
|
[Os(phen)2(C12H6N2O2)]2+ |
|
|
|
|
|
|
[Co(C12H6N2O2)3]2+ |
|
|
|
|
|
|
[Ru(C12H6N2O2)3]2+ |
|
|
|
|
|
|
[Ru(C12H6N2O2)2 (dipy)]2+ |
|
|
|
|
|
|
[Ru(C12H6N2O2)(dipy)2]2+ |
|
|
|
|
|
|
[Fe(phen)3]2+ |
|
|
|
|
|
|
[Fe(C12H6N2O2)3]2+ |
|
|
|
|
|
|
Fe Cl2(C12H6N2O2)2 |
|
|
|
|
|
|
C12H6N2O2 |
|
|
|
|
|
Tabella 1.2: Dati spettroscopici di complessi contenenti il pdonq
Le proprietà coordinative del pdonq possono essere messe ulteriormente in evidenza e confermate sia dall'analisi di spettri IR che da misure magnetiche. Di particolare interesse è stata la sintesi di complessi mono e bi-nucleari contenenti metalli dei gruppi 4 e 5 [33].
Utilizzando metalli in alto stato di ossidazione all'inizio della serie di transizione, come per esempio gli alogenuri dei gruppi 4 e 5, si formano addotti N,N′-coordinati date le caratteristiche fortemente acide secondo Lewis di tali alogenuri, (eq. 1.5), (fig. 1.14) dimostrando la maggiore basicità del sito diiminico rispetto quello chinonico, nonostante entrambi abbiano due atomi donatori ibridizati sp2:
MCl4 + C12H6N2O2 → Cl4M(N,N′- C12H6N2O2) (1.5)
M = Ti, Zr, Hf

Figura 1. : Struttura ipotizzata per MCl4(N,N'- C12H6N2O2), M = Ti, Zr, Hf
Lo spettro IR di tali composti mostrano che la banda assegnata alle vibrazioni di stiramento del legame C=O libero risulta essere spostata di circa 15 cm-1 rispetto a quella del legante libero. Ciò può essere spiegato considerando che la deriva elettronica dal legante al metallo nel momento in cui esso si coordina agli atomi di azoto abbassa l' energia degli orbitali di non legame del gruppo carbonilico provocando un aumento dell' ordine di legame C=O (fig.1.15).

Figura 1. : Effetto della coordinazione sul legame C=O di C12H6N2O2
Utilizzando un rapporto molare pdonq:M = 2:1, è possibile ottenere sistemi bimetallici con il legante O,O' ed N,N'- coordinati, (eq. 1.6), (fig. 1.16):
2 MCl4 + C12H6N2O2→ Cl4M(N,N′-C12H6N2O2 - O,O′)MCl4 (1.6)
M = Ti, Zr

Figura 1. : Struttura ipotizzata per Cl4M(N,N′-C12H6N2O2 - O,O′)MCl4, M=Ti,Zr
Ciò comporta un abbassamento della frequenza di stiramento del chinone pari a 60 cm-1 in accordo con una diminuizione dell' ordine di legame del C=O a causa della coordinazione.
Utilizzando metalli in basso stato di ossidazione e quindi dotati di buone proprietà riducenti, come i derivati di Ti(II) e V(II), TiCp2(CO)2, oppure VCp2, si formano gli addotti O,O′- coordinati, (eq. 1.7, 1.8), (fig. 1.17):
VCp2 + C12H6N2O2 → VCp2(O,O′-C12H6N2O2) (1.7)
MCp2(CO)2 + C12H6N2O2 → MCp2(O,O′-C12H6N2O2) (1.8)
M = Ti, Zr

Figura 1. : Strutture ipotizzate per TiCp2(O,O′-C12H6N2O2) e ZrCp2(O,O′-C12H6N2O2)
Per il composto VCp2(O,O′-C12H6N2O2) sono state ipotizzate due strutture: una mononucleare, analoga a quella del composto di titanio, ed una dinucleare analoga a quella del composto di zirconio. Entrambe sono plausibili sia sulla base di dati trovati in letteratura relativi la struttura del composto contenente come legante il fenantrenchinone Cp2Zr(C14H8O2), sia sulla base di dati di spettroscopia IR.
Come descritto precedentemente, la funzionalità chinonica coordinatasi al metallo può ridursi per uno o due elettroni. Le due possibilità di riduzione sono deducibili dagli spettri IR. Si osservano infatti:
Bande tra 1400-1500 cm-1 tipiche della riduzione per un elettrone con formazione di una specie semichinonica (fig. 1.10b)
Bande tra 1300-1400 cm-1 tipiche della riduzione per due elettroni con formazione di un diolato (fig. 1.10c)
Nel caso di vanadio e zirconio si osservano frequenze di stiramento pari a 1380 cm-1 che indicano la riduzione del legante per due elettroni; mentre il titanio mostra una frequenza di stiramento pari a 1429 cm-1 tipica della riduzione per un elettrone.
In molti casi lo stato di ossidazione ipotizzato dalla frequenza di stiramento chinonica può essere confermata dalle misure del momento magnetico, mentre in altri si osserva un momento magnetico minore rispetto a quello ipotizzato a causa della presenza di un accoppiamento antiferromagnetico tra il legante ridotto ed il metallo.
Per esempio in VCp2(O,O′-C12H6N2O2), il momento magnetico a 293 K è di 1,86 MB, in accordo con la configurazione elettronica d1 del metallo in stato di ossidazione (IV). L'analogo composto contenente il titanio in stato di ossidazione (III), ha invece un momento magnetico di 1,25 MB, minore rispetto quello atteso per una specie con una configurazione elettronica d1.
Utilizzando un rapporto molare pdonq:M = 2:1, è possibile sfruttare la proprietà N,N'- coordinanti del fenantrolindione O,O'-coordinato e quindi ottenere complessi bimetallici. In particolare nei composti ridotti per un elettrone, al momento della coordinazione all'azoto, si osserva un abbassamento della frequenza di stiramento della banda carbonilica. Ciò vuol dire che il chinone si è ulteriormente ridotto di un altro elettrone, confermando l' ipotesi che la coordinazione del metallo agli atomi di azoto rende il legante più ossidante, (eq. 1.9):
2TiCp2(CO)2 + C12H6N2O2 → Cp2Ti(O,O′- C12H6N2O2-N,N′)TiCp2 (1.9)
M = Ti, Zr
Inoltre sfruttando oppotunamente il sito diiminico libero o quello chinonico libero, sono stati ottenuti composti a più alta nuclearità partendo dai complessi tris-chinonici, con metalli dei gruppi 4, 5[[xxxviii] ] (fig. 1.18).

Figura 1. : Esempi di complessi tetranucleari
I lavori degli ultimi anni ampliano ulteriormente i dati sopra riportati. Nel 2003 Tanaka e collaboratori[[xxxix]] hanno riportato la sintesi di complessi di nucleari contenenti Ru, Pd, Pt, quali Ru [(N,N',N''-tripy)Cl(N,N'-C12H6N2O2-O,O')M(PPh3)2][PF6] con M= Pd, Pt, e Ru(N,N'-C12H6N2O2)(H2O)(N,N',N''-tripy) (fig.1.19). In particolare di quest'ultimo composto sono stati calcolati i valori dei potenziali redox Ru(II)/Ru(III) e Ru(III)/Ru(IV) in dipendenza dal pH.

Figura 1. : Strutture molecolari dei complessi Ru(N N'-C12H6N2O2)Cl(N,N',N''-tripy)+ eRu(N N'-C12H6N2O2)(H2O)(N,N',N''-tripy)
Un complesso di platino pentacoordinato è stato ottenuto da Natile e collaboratori[[xl]] per reazione del sale di Zeise K[PtCl3(η2-C2H4)], con C12H6N2O2 (eq. 1.10):
K[PtCl3(η2-C2H4)]
+ C12H6N2O2
PtCl2(η2-C2H4)(N,N'-
C12H6N2O2)
PtCl2(N,N'-C12H6N2O2) (1.10)
Il paragone tra PtCl2(N,N'-C12H6N2O2) e l'analogo composto contenente fenantrolina [PtCl2(η2-C2H4)(phen)], suggerisce che il pdonq mostra una minore tendenza a formare composti penta-coordinati. Ciò è stato attribuito alla mancanza di aromaticità dell'anello centrale del pdonq che porta ad una maggiore flessibilità del legante e che gli permette quindi di ridurre le interazioni steriche tra i leganti ancillari.
Dello stesso periodo è anche lo studio di Larsson e collaboratori[[xli]] dove è riportata la sintesi e la struttura allo stato solido di complessi in cui due dei tre leganti C12H6N2O2 sono in forma completamente ridotta e solo uno in quella chinonica (eq. 1.11):
Co(N,N'-C12H6N2O2)3Br3 → [Co(H2pdol)2(C12H6N2O2)]Br3·3H2O (1.11)
Nel 2004 sono stati sintetizzati due nuovi complessi contenenti come metalli rame ed argento [[xlii]](eq. 1.12, 1.13). che sono stati studiati soprattutto dal punto di vista biochimico in quanto risultano essere degli agenti che inibiscono la crescita dei alcuni funghi patogeni (Candida albicans). Anche in questo caso un paragone con l'analogo complesso contenente la fenantrolina come legante, mostra una migliore attività dal punto di vista biologico del pdonq, influenzata fortemente anche dalla natura dello ione metallico.
Cu(ClO4)·6H2O + 3 C12H6N2O2 → [Cu(C12H6N2O2)3](ClO4)2 (1.12)
AgClO4 + 2 C12H6N2O2 → [Ag(C12H6N2O2)2](ClO4) (1.13)
Interessante è lo studio di Ghumaan e collaboratori che hanno studiato sistemi redox del tipo [(acac)2Ru(N,N'-C12H6N2O2 -O,O')Ru(acac)2]n con n=0, -2, +1, -1[[xliii]]. Di questi composti sono stati condotti studi di spettroscopia UV-Vis, voltammetria ciclica e spettri EPR mettendo in evidenza i diversi stati di ossidazione del rutenio N,N'-coordinato ed O,O'-coordinato ed eventuali accoppiamenti tra il legante mono o bi- ridotto ed il metallo (eq. 1.14):
2 Ru(acac)2(CH3CN) + C12H6N2O2 →
(acac)2Ru(N,N'-C12H6N2O2-O,O')Ru(acac)2 (1.14)
Piuttosto recentemente sono apparsi in letteratura i due nuovi complessi di rame (II) [[xliv]] (eq. 1.15, 1.16), riportate nelle fig. 1.20 ed 1.21.
CuClO4+ 2 C12H6N2O2 → [Cu(N,N'- C12H6N2O2)2](ClO4) (1.15)
Cu(ClO4)2 + C12H6N2O2 → [Cu(N,N'- C12H6N2O2)(CH3CN)](ClO4)2 (1.16)
Figura 1. : Struttura molecolare del complesso [Cu(N,N'- C12H6N2O2)2](ClO4)

Figura 1. : Struttura molecolare del complesso [Cu(N,N'- C12H6N2O2)(CH3CN)](ClO4)2
Nel 2006 è stata risolta la struttura allo stato solido del primo composto contenente nichel(II)[[xlv]]. In particolare sono stati sintetizzati i complessi [Ni(bipy)2(N,N'-C12H6N2O2)](PF6)2 e [Ni(bipy)2(pdonq)](OAc)2 che sono stati caratterizzati mediante spettroscopia IR, analisi elementare, spettroscopia UV-Vis e voltammetria ciclica (eq. 1.17, 1.18):
NiCl6·6H2O + 2dipy
[Ni(bipy)2Cl2]
TlCl↓ + Ni(OAc)2(bipy)2
[Ni(bipy)2(N,N'-C12H6N2O2)](OAc)2·2H2O (1.17)
[Ni(bipy)2(N,N'-C12H6N2O2)](OAc)2
[Ni(bipy)2(pdonq)](PF6)2 (1.18)
Del complesso Ni(bipy)2(pdonq)](PF6)2·2CH3CN
è nota la struttura riportata in figura 1.22:
Figura 1. : Struttura molecolare del catione [Ni(bipy)2(N,N'-C12H6N2O2)]2+ in [Ni(bipy)2(N,N'-C12H6N2O2)](PF6)2·2CH3CN
Nello stesso anno è stata risolta la struttura ai raggi X[[xlvi]] del complesso [Ru(bipy)2(pdonq)](ClO4)2 (fig.1.23) del quale è stato studiato il comportamento elettrochimico mediante voltammetria ciclica:

Figura 1. : Struttura molecolare del complesso[Ru(bipy)2(N,N'-C12H6N2O2)](ClO4)
I dati relativi a questi nuovi composti di nichel e rutenio, confermano le proprietà chimiche, elettrochimiche e spettroscopiche del legante N,N'-coordinato, già descritte precedentemente.
Sempre nel 2006 è stato sintetizzato il composto [CoCl2(N,N'-C12H6N2O2)2]Cl caratterizzato anche in questo caso mediante spettroscopia IR, UV-Vis, analisi elementare e spettroscopia NMR[[xlvii]]. Questo composto, caratterizzato mediante diffrazione di raggi X su cristallo singolo (figura 1.24), è stato studiato soprattutto dal punto di vista biologico per le sue interazioni covalenti con il DNA.

Figura 1. : Struttura molecolare del composto [CoCl2(N,N'-C12H6N2O2)2]Cl
Recentemente nel laboratorio in cui è stato svolto questo lavoro di Tesi, è stato ulteriormente ampliato lo studio della reattività del legante (1) con metalli del gruppo 6 (Cr e Mo) e con il ferro[37]. In particolare, sono stati sintetizzati nuovi complessi O,O'- coordinati utilizzando come precursori i corrispondenti metallo carbonili (eq. 1.19) ed areni:
M(CO)6 + 3 C12H6N2O2 → M(O,O'- C12H6N2O2)3 + 6 CO (1.19)
M= Cr, Mo
Inoltre, utilizzando come composto di partenza di Cr(η6-toluene)2, è stato ottenuto un complesso ionico di formula [Cr(η6-toluene)2][C12H6N2O2] (eq. 1.20). Al contrario, il derivato di molibdeno (0), Mo(η6-toluene)2 si ossida a Mo(V) dando il composto Mo(O,O'-C12H6N2O2)3 analogo a quello ottenuto utilizzando come prodotto di partenza il derivato carbonilico Mo(CO)6 (eq. 1.21):
Cr(η6- toluene)2 + C12H6N2O2
Cr(η6-CH3C6H5)2 C12H6N2O2
Mo(η6- toluene)2 + 3 C12H6N2O2
Mo(O,O'- C12H6N2O2)3
+ 2 toluene (1.21)
I complessi M(O,O'- C12H6N2O2)3 sono stati caratterizzati mediante spettroscopia IR, analisi elementari e misure magnetiche, da cui si possono ipotizzare le strutture sotto riportate (fig. 1.25). Il momento magnetico del composto Cr(O,O'-C12H6N2O2)3 a 293 K è pari a 3,41 MB che è intermedio fra quello di solo spin per due elettroni (2,82 MB) e tre elettroni (3,87 MB) spaiati. Ciò induce a pensare che lo stato a più bassa energia sia quello di tripletto, ovvero con il centro elettronico in configurazione elettronica d3 che accoppia due dei suoi elettroni con quelli di due molecole di legante. Tuttavia deve essere presente anche una frazione di molecole nello stato di quintetto, ovvero con una sola molecola di legante che si accoppia con il centro metallico. Per quanto riguarda il derivato di molibdeno, i dati di spettroscopia IR mostrano bande a 1426 e 1360 cm-1 tipiche dello streching CO e diagnostiche di un legante ridotto per un elettrone e di un altro ridotto per due elettroni, rispettivamente. A supporto di quanto proposto vi è il fatto che il composto risulta diamagnetico. Ciò permette di concludere che il metallo si trovi in stato di ossidazione +5, con due leganti in forma completamente ridotta, ed uno in forma ridotta per un elettrone. Il diamagnetismo risultante è risultato di un accoppiamento tra l' elettrone del legante e quello del metallo.

Figura 1. : Ipotesi di struttura per i composti M(O,O'- C12H6N2O2)3 M= Cr, Mo
In figura 1.26 è riportato lo spettro EPR del complesso Cr(η6-CH3C6H5)2 C12H6N2O2 . Tale spettro indica la presenza di un catione Cr(η6-CH3C6H5)2 ed un radicale anione [C12H6N2O2 . Sia la specie cationica, che quella anionica sono visibili e distinguibili nello spettro che mostra valori di g differenti, e differenti valori di accoppiamento iperfino. Questo dato è in accordo con la misura del momento magnetico che indica la presenza di un solo elettrone spaiato (μ = 2,03 MB) attribuibile alla specie cationica. Il radicale anione, infatti, allo stato solido, risulta essere diamagnetico perché si dispone a strati, causando un accoppiamento antiferromagnetico tra i piani delle molecole.

Figura 1. : Spettro EPR del composto Cr(η6-CH3C6H5)2 C12H6N2O2
Usando cloruri di Cr(II) e Fe(II), si sono ottenuti composti riportati nelle figure 1.27 ed 1.28 in cui il legante pdonq è rispettivamente O,O' - coordinato ed N,N'- coordinato (eq. 1.22, 1.23) in accordo con il potere riducente del Cr(II):
CrCl2(THF)2 + C12H6N2O2
CrCl2(THF)2(O,O'-
C12H6N2O2) (1.22)
[Fe(H2O)6]Cl2 + 3 C12H6N2O2
[Fe(N,N'-C12H6N2O2)3]Cl2
FeCl2(N,N'-C12H6N2O2)2+C12H6N2O2 (1.23)


Figura 1. : Strutture ipotizzate per i composti [Fe(N,N'-C12H6N2O2)3] FeCl2(N,N'-C12H6N2O2)2,

Figura 1. : Struttura ipotizzata per il composto CrCl2(THF)2(O,O'- C12H6N2O2)
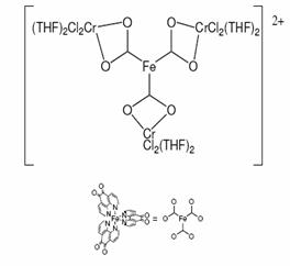
Sfruttando le proprietà dei frammenti fenantrolina-equivalenti (ossia del legante O,O'-coordinato) e di quelli chinoni equivalenti (ossia del legante N,N'- coordinato) è possibile ottenere sistemi di metallici (fig.1.29) (eq. 1.24, 1.25) e tetrametallici (fig 1.30) (eq.1.26, 1.27, 1.28):
CrCl2(THF)2(O,O'- C12H6N2O2) + CrCl2(THF)2 →
CrCl2(THF)2(O,O'-C12H6N2O2-N,N')CrCl2(THF)2 (1.24)
CrCl2(THF)2(O,O'- C12H6N2O2) + ZrCl4 →
CrCl2(THF)2(O,O'-C12H6N2O2-N,N')ZrCl4 (1.25)

Figura 1. : Ipotesi di struttura per il composto CrCl2(THF)2(O,O'- C12H6N2O2-N,N') CrCl2(THF)2
Cr(O,O'- C12H6N2O2)3 + 3 ZrCl4 →
Cr[(O,O'-C12H6N2O2-N,N')ZrCl4]3 (1.26)
[Fe(N,N'-C12H6N2O2)3][PF6]2 + 3CrCl2(THF)2 →
[Fe(N,N'-C12H6N2O2-O,O'-CrCl2(THF)2)]3[PF6]4 (1.27)
Cr(O,O'- C12H6N2O2)3 + 3FeCl2(THF)1,5 →
Cr[(O,O'-C12H6N2O2-N,N')FeCl2(THF)]3 + 1,5THF (1.28)


Figura 1. : Esempi di composti tetrametallici
Recentemente è stato riportato che il legante pdonq può formare addotti con metalli della serie dei lantanidi. Ward e collaboratori hanno preparato complessi a ponte contenenti platino e un metallo appartenente alla serie 4f (La, Gd, Nd, Yb, Er)[[xlviii]], [[xlix]]: come si vede in fig. 1.31 il platino è legato agli ossigeni chinonici ed ha geometria quadrato planare, mentre il lantanide si coordina agli atomi di azoto diimminici assumendo un numero di coordinazione otto. Questi composti hanno la peculiarità di mostrare interazioni elettroniche tra gli elettroni d del metallo di transizione e quelli f del lantanidi. Gli spettri elettronici mostrano assorbimento di radiazione nella regione visibile dello spettro da parte del frammento contenente platino, mentre i successivi fenomeni di luminescenza sono attribuibili alla parte della molecola contenente il centro 4f.

Figura 1. : Complessi platino/lantanide con pdonq a ponte
In questo contesto si inserisce questo lavoro di Tesi, che si propone di approfondire lo studio sulle caratteristiche elettroniche e magnetiche di complessi mono e bi-nucleari di metalli a destra della tavola periodica sembra essere poco studiato.
Per questo scopo, sfruttando le proprietà coordinative del legante pdonq, saranno stati presi in considerazione nuovi complessi N,N'-coordinati contenenti come metalli Co, Fe, Ni. Sfruttando la presenza del sito chinonico rimasto libero, sarà quindi possibile ottenere addotti O,O'-coordinati facendo reagire questi con un buon riducente, come Cr(II). Dalle misure magnetiche, dagli spettri EPR e da calcoli DFT è possibile verificare come e se i centri metallici possano essere messi in comunicazione attraverso la presenza del legante a ponte.
[xiii] A. Das, J. P. M. J. C. Jeffery, J. A. McClerty, E. Schatz, M. D. Ward, G. Wollerman, Inorg. Chem. 1993, 32, 2145
[xiv] S. M. Charsley, C. J. Jones, J. A. McClerty, B. D. Neaves, S. J. Reynols, G. Denti, J. Chem. Soc., Dalton Trans. 1998, 293
[xv] S. M. Charsley, C. J. Jones, J. A. McClerty, B. D. Neaves, S. J. Reynolds, J. Chem. Soc., Dalton. Trans.
[xxv] M. J. Crossley, P. L. Burn, S. J. Langford, J. K. Prashar, J. Chem. Soc., Chem. Commun. 1995, 1921
[xxviii] F. A. Tobalina, F. Pariente, L. Hernàndez, H. D. Abruña, E. Lorenzo, Anal. Chim. Acta, 1999, 17, 395
[xxix] Q. Wu, M. Maskus, F. Pariente, F. Tobalina, V. M. Fernàndez, E. Lorenzo, H. D. Abruña, Anal. Chem. 1996, 68, 3688
[[xxxiii]] F. Calderazzo, F. Marchetti, G. Pampaloni, V. Passarelli, J. Chem. Soc. Dal ton Trans. 1999, 4389
[[xxxvii]] L. Calucci, G. Pampaloni, C. Pinzino, A. Prescimone, Inorg. Chim. Acta 2006, 354 (12), 3911-3920
[[xl]] N. Margiotta, V. Bertolas, F. Capitelli, L Maresca, A. G. G. Moliterni, F. Vizza, G. Natile, Inorg. Chim. Acta 2004, 357, 149
[[xlii]] M. McCann, B. Coyle, S. McKay, P. Kavanagh, M. Devereux, V. McKee, P. Kinsella, R. O' Connor, M. Clynes, Biometals, 2004, 17, 635
[[xliii]] S. Ghumaan, B. Sarkar, S. Patra, J. Van Slageren, J. Fiedler, W. Kaim, G. K. Lahiri Inorg. Chem.
[xliv] A. Galet, M. C. Muñoz, G. Agusti, V. Martìnez, A. B. Gaspar, J. A. Real, Z. Anorg. Allg. Chem. 2005, 631, 1985
[xlvi] K. Yokoyama, A. Wakabayaski, K. Noguchi, N. Nakamura, H. Ohno, Inorg. Chim Acta, 2006, 359, 807
[xlvii] S. Ghosh, A. C. Barve, A. A. Kumbhar, A. S. Kumbhar, V. G. Puranik, P. A. Dator, U. B. Sonawane; R. R. Joshi, J. of. Inorg. Biochemistry
![]() |
| Appunti su: |
|
| Appunti Ingegneria tecnico | ![]() |
| Tesine Geografia | ![]() |
| Lezioni Biologia | ![]() |