Appunti per Scuola e Università
humanisticheUmanistiche
Appunti e tesine di tutte le materie per gli studenti delle scuole medie riguardanti le materie umanistiche: dall'italiano alla storia riguardanti le materie umanistiche: dall'italiano alla storia 
sceintificheScientifiche
Appunti, analisi, compresione per le scuole medie suddivisi per materie scientifiche, per ognuna troverai appunti, dispense, esercitazioni, tesi e riassunti in download.
tecnicheTecniche
Gli appunti, le tesine e riassunti di tecnica amministrativa, ingegneria tecnico, costruzione. Tutti gli appunti di AppuntiMania.com gratis!
Appunti
scientifiche
Astronomia cosmologiaChimicaEconomiaEducazione fisicaFisica
MatematicaStatistica


AppuntiMania.com » Scientifiche » Appunti di Chimica » Delocalizzazione elettronica

Delocalizzazione elettronica




Visite: 5008Gradito:apreciate 4-stela [ Picolo appunti ]
Leggi anche appunti:

Le leggi dei gas


Le leggi dei gas Le ricerche sperimentali effettuate sullo stato aeriforme 

Strategia di bilanciamento di reazioni redox in forma ionica netta


Strategia di bilanciamento di reazioni redox in forma ionica netta Spesso

Il Processo Dry


Il Processo Dry Il primo processo di realizzazione della doppia giunzione
immagine di categoria

Scarica gratis Delocalizzazione elettronica

Delocalizzazione elettronica


Da un punto di vista fisico la risonanza è essenzialmente un modo per descrivere un fenomeno di delocalizzazione che interessa i sistemi coniugati.

Un sistema coniugato è costituito da un orbitale p su di un atomo adiacente ad un legame π (legame doppio o triplo). Vi sono 4 possibili configurazioni per un sistema coniugato:

l'orbitale p è coinvolto anch'esso in un legame π (doppi legami coniugati)


- X = Y - Z = W-


L'orbitale p è vuoto (tipicamente, ma non necessariamente, l'atomo che lo porta è carico positivamente)

- X = Y - Z +


L'orbitale p è saturo (tipicamente, ma non necessariamente, l'atomo che lo porta è carico negativamente)

- X = Y - Z:-


L'orbitale p è semisaturo (radicale coniugato)


- X = Y - Z ·

Quando si presenta una di queste configurazioni, vi sono le condizioni affinché si produca un fenomeno di delocalizzazione elettronica (rappresentabile attraverso strutture di risonanza) tra gli atomi del sistema coniugato. I due orbitali p del doppio legame e l'orbitale p dell'atomo adiacente risultano infatti sovrapposti portando ad una delocalizzazione degli elettroni su 3 atomi (4, nel caso di doppi legami coniugati). Tutti gli atomi coinvolti nella delocalizzazione risultano ibridati sp2 (o sp) e quindi planari, con gli orbitali p disposti perpendicolarmente al piano d'ibridazione e parallelamente l'uno rispetto all'altro. La complanarità degli atomi coinvolti, con gli orbitali p disposti parallelamente, è essenziale affinchè gli orbitali p possano sovrapporsi e dar luogo alla delocalizzazione e quindi alla risonanza.

Se ad esempio analizziamo la struttura di Lewis dell'etenammina senza considerare la risonanza saremmo indotti a ritenere che l'atomo di Azoto sia ibridato sp3 (presenta 3 legami ed un doppietto solitario)

In realtà l'etenammina è una molecola perfettamente planare, come ci suggerisce la sua seconda struttura di risonanza in cui è presente un legame doppio C=N

Anche l'Azoto è dunque ibridato sp2 in modo che il suo orbitale p, contenente il doppietto solitario, sia parallelo agli orbitali p dei due atomi di carbonio e si possa sovrapporre ad essi.

La presenza di gruppi chimici ingombranti che impediscano il parallelismo tra gli orbitali p, inibisce il fenomeno della risonanza (inibizione sterica della risonanza).

In alcuni casi tale condizione può essere graficamente rappresentata senza ricorrere alle formule limite. Ad esempio l'anidride solforosa può essere rappresentata anche così


oppure


con gli elettroni π delocalizzati su tutta la molecola indicati dalla linea tratteggiata.



A) Sistema coniugato π- π

Nel rappresentazione tradizionale (non delocalizzata) di doppi legami coniugati (-X=Y-Z=W-) 2 doppi legami π si trovano separati da un legame semplice σ. Gli orbitali p si sovrappongono 2 a 2 ed è sufficiente un'unica formula di struttura per descrivere la molecola

In realtà il sistema coniugato presenta i 4 orbitali p tra loro completamente sovrapposti e gli elettroni π risultano pertanto delocalizzati su 4 atomi.

Per rappresentare la delocalizzazione si utilizzano più formule di struttura, in cui il doppio legame si trova anche in posizione centrale. Il sistema coniugato π-π viene rappresentato con le seguenti tre strutture di risonanza

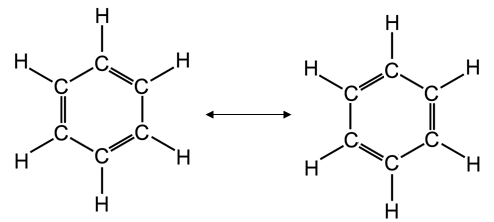
Un importante esempio di delocalizzazione elettronica in un sistema coniugato π-π si ha nel benzene C6H6. un composto organico in cui i 6 atomi di carbonio si chiudono a formare un esagono. Ciascun atomo di carbonio è ibridato sp2 ed impegna i tre orbitali sp2 per legarsi ad un idrogeno e ad altri due atomi di carbonio. L'orbitale pz non ibridato viene utilizzato per formare un legame π con un carbonio adiacente. Si dovrebbe pertanto ritenere che i 6 atomi di carbonio siano uniti all'interno dell'anello da una serie di legami semplici alternati a legami doppi.


In realtà i sei legami C - C risultano essere perfettamente identici e a metà strada tra un legame semplice ed un legame doppio.

Descriviamo dunque il benzene come un ibrido di risonanza delle due seguenti strutture limite

oppure, in modo del tutto equivalente, rappresentiamo le tre coppie di elettroni p delocalizzati su tutta la molecola con un anello interno all'esagono

B) Sistema coniugato π-p

In un sistema coniugato π-p (-X=Y-Z*) l'orbitale p adiacente al doppio legame non è impegnato in alcun legame e può contenere da 0 a 2 elettroni (* = 0, 1, 2 elettroni)

Anche in questo caso il sistema coniugato presenta in realtà i 3 orbitali p tra loro completamente sovrapposti e gli elettroni risultano pertanto delocalizzati su 3 atomi.

Il sistema coniugato π-p viene rappresentato con due strutture di risonanza

A conferma di ciò i due legami non presentano la lunghezza tipica di un legame semplice ed uno doppio, ma hanno una lunghezza intermedia.

Si veda ad esempio la molecola dell'Ozono O3

I due legami O-O hanno una lunghezza di 128 nm, intermedia tra quella di un legame semplice O-O (149 nm) e quella di un legame doppio O=O (121 nm).


Nel caso l'orbitale p coniugato al doppio legame contenga una carica positiva o negativa, anche quest'ultima risulta delocalizzata.


Nel carbocatione allilico, ad esempio, la carica positiva è delocalizzata essendo portata per metà in C1 e per metà in C3


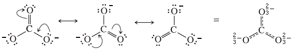
Nell'anione carbonato CO32- le due cariche negative sono distribuite su tutti e tre gli atomi di ossigeno

La mappa di potenziale elettrostatico dell'anione carbonato ci conferma la distribuzione di carica.


Scarica gratis Delocalizzazione elettronica
Appunti su: delocalizzazione chimica, delocalizzazione elettronica, molecola CHIMICA carbonio, etenammina, immagine formule limite del benzene,



Scarica 100% gratis e , tesine, riassunti



Registrati ora

Password dimenticata?
  • Appunti superiori
  • In questa sezione troverai sunti esame, dispense, appunti universitari, esercitazioni e tesi, suddivisi per le principali facoltà.
  • Università
  • Appunti, dispense, esercitazioni, riassunti direttamente dalla tua aula Universitaria
  • all'Informatica
  • Introduzione all'Informatica, Information and Comunication Tecnology, componenti del computer, software, hardware ...

Appunti Ingegneria tecnico Ingegneria tecnico
Tesine Biologia Biologia
Lezioni Geografia Geografia