Appunti per Scuola e Università
humanisticheUmanistiche
Appunti e tesine di tutte le materie per gli studenti delle scuole medie riguardanti le materie umanistiche: dall'italiano alla storia riguardanti le materie umanistiche: dall'italiano alla storia 
sceintificheScientifiche
Appunti, analisi, compresione per le scuole medie suddivisi per materie scientifiche, per ognuna troverai appunti, dispense, esercitazioni, tesi e riassunti in download.
tecnicheTecniche
Gli appunti, le tesine e riassunti di tecnica amministrativa, ingegneria tecnico, costruzione. Tutti gli appunti di AppuntiMania.com gratis!
Appunti
scientifiche
Astronomia cosmologiaChimicaEconomiaEducazione fisicaFisica
MatematicaStatistica


AppuntiMania.com » Scientifiche » Appunti di Chimica » Isotopi e decadimenti

Isotopi e decadimenti




Visite: 1482Gradito:apreciate 5-stela [ Picolo appunti ]
Leggi anche appunti:

La legge di proust


LA LEGGE DI PROUST OBIETTIVO: verificare che gli elementi

Equazione di stato dei gas perfetti (Clapeyron)


Equazione di stato dei gas perfetti (Clapeyron) Le tre leggi dei gas possono

La nomenclatura dei composti chimici inorganici


LA NOMENCLATURA DEI COMPOSTI CHIMICI INORGANICI 1. INTRODUZIONE ALLA
immagine di categoria

Scarica gratis Isotopi e decadimenti

Isotopi e decadimenti


Gli elementi che hanno lo stesso numero atomico, ma diverso numero di massa si dicono isotopi. Un particolare isotopo di un elemento si indica in genere utilizzando solo il numero di massa, dando per sottinteso il numero atomico. Così 14C (carbonio quattordici) indica l'isotopo del carbonio che contiene 8 neutroni, anziché i 6 dell'isotopo più stabile, che è appunto il 12C (carbonio dodici).


Negli elementi con numero atomico piccolo (Z < 20), il numero dei neutroni nell'isotopo più stabile è generalmente uguale a quello dei protoni o vi differisce per una unità in eccesso. Al crescere di Z, il rapporto fra N e Z aumenta progressivamente. È probabile che i neutroni abbiano un ruolo importante nel dare stabilità ai nuclei. Mentre ad esempio il Carbonio possiede 6 p e 6 n, l'Ossigeno 8 p e 8 n, il Ferro presenta 26 p e 30 n, mentre l'Uranio 92 p e 146 n.

I nuclei degli elementi più pesanti sono in genere instabili e tendono a decadere emettendo particelle per raggiungere una condizione di maggior stabilità nucleare. È stato osservato che i nuclei con valori pari di Z e N sono più stabili di quelli con valori dispari.


La maggior parte degli elementi è presente in natura sottoforma di miscele di isotopi.

Ad esempio il gas Idrogeno H2 è costituito da una miscela di 3 isotopi



Alcuni isotopi sono instabili, sono cioè soggetti a decadimento radioattivo (radioisotopi). Il decadimento radioattivo comporta l'emissione di particelle energetiche con trasformazione degli isotopi instabili in isotopi di elementi diversi.


Vi sono due tipi fondamentali di decadimenti: alfa e beta.


1) decadimento  (beta):  un neutrone del nucleo si trasforma in un protone (che rimane nel nucleo, aumentando di un'unità il numero atomico e quindi trasformando l'elemento in quello che lo segue nella tabella periodica), e in un elettrone ed un antineutrino (che si allontanano dal nucleo ad elevata velocità).


Nel decadimento  inverso un protone del nucleo, colpito da un elettrone, si trasforma in un neutrone (che rimane nel nucleo, diminuendo di un'unità il numero atomico e quindi trasformando l'elemento in quello che lo precede nella tabella periodica) e in un neutrino (che si allontana dal nucleo).

Una reazione equivalente prevede che un protone emetta un positrone (l'antiparticella dell'elettrone) ed un neutrino trasformandosi in un neutrone, che rimane nel nucleo.


2) decadimento  (alfa): il nucleo di un isotopo espelle un nucleo di Elio (2 protoni + 2 neutroni) o particella  (diminuendo di due unità il proprio numero atomico e trasformandosi nell'elemento che lo precede di due posti nella tabella periodica).


Molti radioisotopi hanno un'interesse rilevante nella ricerca scientifica.

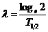
Un'applicazione notevole si ha nella datazione di rocce e  fossili. Il metodo si basa sull'osservazione che ciascun radioisotopo impiega un tempo ben determinato per trasformarsi, in genere attraverso una lunga serie di elementi intermedi instabili, in un isotopo stabile. Tutti gli isotopi radioattivi decadono obbedendo alla stessa legge di decadimento:

dove

N0 = numero di atomi iniziali

Nt = numero di atomi residui (che non hanno ancora subito il decadimento) dopo un tempo t

 = costante di decadimento (diversa da elemento ad elemento)

t = tempo

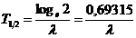
Ponendo è possibile determinare il cosiddetto tempo di dimezzamento () o di semitrasformazione o emivita, cioè il tempo necessario affinchè decadano metà degli atomi iniziali. La legge di decadimento diventa

ed il tempo di dimezzamento


I fisici hanno determinato con grande accuratezza il tempo di dimezzamento dei radioisotopi.


isotopo instabile

decadimento

isotopo stabile

tempo di dimezz.

(in anni)


8 e 6



4,51 miliardi


7 e 4



713 milioni


6 e 4



13,9 miliardi


 inverso



1,26 miliardi





50 miliardi







L'attività di una sostanza radioattiva si misura in curie.

1 curie = 3,7.1010 decadimenti  o  al secondo.


Misurando dunque la percentuale di un certo isotopo e quella dei suoi prodotti di decadimento presenti in una roccia è possibile risalire alla sua età.

Se infatti chiamiamo G la quantità dell'isotopo genitore residuo e F la quantità dell'isotopo figlio che si è formato, la legge di decadimento può essere scritta

e poiché la costane di decadimento vale

sostituendo, otteniamo

E' evidente dunque che per conoscere l'età t di una roccia è sufficiente conoscere il tempo di dimezzamento di un certo radioisotopo e misurare il rapporto isotopico tra elemento figlio ed elemento genitore che rappresenta una specie di memoria della storia chimica della roccia.


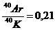
Per datare rocce molto antiche si utilizza in genere il metodo Rubidio-Stronzio, mentre per rocce aventi un'età compresa tra 200.000 e 1 miliardo di anni è preferibile il metodo Potassio-Argon.

Se ad esempio in una roccia misuriamo un rapporto isotopico , l'età della roccia potrà essere calcolata in


Per la datazione di resti organici si utilizza il metodo del Carbonio-14.

Il carbonio 14 si produce continuamente nell'alta atmosfera per interazione dei gas atmosferici con i raggi cosmici. Da tali interazioni si producono neutroni liberi (per disintegrazione di nuclei gassosi) che possono al loro volta reagire con nuclei di azoto atmosferico, secondo la reazione

Il Carbonio-14, una volta formatosi, decade nuovamente in Azoto-14 (), emettendo un elettrone ed un antineutrino


La velocità delle due reazioni è tale per cui la quantità di Carbonio-14 presente nell'atmosfera rimane costante ed il rapporto Carbonio-12/Carbonio-14 presenta un valore ben definito, pari a



circa 1 atomo di C-14 ogni 1000 miliardi di atomi di C-12.

Il valore di tale rapporto si mantiene inalterato anche durante i processi di fissazione fotosintetica della CO2 da parte dei vegetali ed in generale di assimilazione da parte degli organismi che direttamente o indirettamente si nutrono di vegetali. In altre parole finché un qualsiasi organismo animale o vegetale è vivo esso risulta in equilibrio con l'ambiente e quindi al suo interno il rapporto si mantiene costante. Dal momento in cui un organismo muore l'assunzione di C-14 cessa, mentre il suo decadimento in N-14 prosegue.

E' allora evidente che la  misurazione del rapporto all'interno di un reperto organico ci permette di risalire alla data della sua morte.

Tenuto comunque conto della relativa brevità del tempo di dimezzamento del C-14, tale metodo non permette di datare fossili più vecchi di circa 50-70.000 anni.


In campo medico e biologico molte vie metaboliche sono state scoperte utilizzando composti 'marcati' con radioisotopi, seguendone poi il destino attraverso complicate sequenze di reazioni all'interno dell'organismo. Se infatti mettiamo a disposizione dell'organismo isotopi radioattivi dell'Ossigeno, dell'Azoto o del Carbonio, questi, possedendo le medesime caratteristiche chimiche dei rispettivi isotopi stabili, vengono normalmente assimilati ed utilizzati nella sintesi delle sostanze necessarie. Tali sostanze risultano a questo punto radioattive e quindi facilmente localizzabili ed isolabili.

Sempre in campo medico le radiazioni emesse dalla disintegrazione del Cobalto-60 () vengono utilizzate per distruggere le cellule tumorali (cobaltoterapia). D'altra parte alcuni radioisotopi che si formano durante le esplosioni nucleari , possono accumularsi nell'organismo provocando danni. Ad esempio lo Stronzio-90 () essendo chimicamente affine al Calcio (appartiene allo stesso gruppo chimico) può essere utilizzato dall'organismo al posto di quest'ultimo all'interno del tessuto osseo, provocando l'insorgenza di forme tumorali, specialmente negli organismi in fase di crescita.  Inoltre il suo tempo di dimezzamento è di circa 28 anni, sufficientemente lungo per concentrarsi pericolosamente nell'ambiente ed essere assorbito dagli esseri viventi.


Scarica gratis Isotopi e decadimenti
Appunti su:



Scarica 100% gratis e , tesine, riassunti



Registrati ora

Password dimenticata?
  • Appunti superiori
  • In questa sezione troverai sunti esame, dispense, appunti universitari, esercitazioni e tesi, suddivisi per le principali facoltà.
  • Università
  • Appunti, dispense, esercitazioni, riassunti direttamente dalla tua aula Universitaria
  • all'Informatica
  • Introduzione all'Informatica, Information and Comunication Tecnology, componenti del computer, software, hardware ...

Appunti Ingegneria tecnico Ingegneria tecnico
Tesine Biologia Biologia
Lezioni Geografia Geografia