![]() |
|
| Appunti scientifiche |
|
| Visite: 2578 | Gradito: |
Leggi anche appunti:Sintesi di NiBr2(N,N'-C12H6N2O2)Sintesi di NiBr2(N,N'-C12H6N2O2) In letteratura sono noti bis-complessi di Cenni sulla simmetria delle molecoleCenni sulla simmetria delle molecole Una molecola possiede simmetria se presenta Strategia di bilanciamento di reazioni redox in forma ionica nettaStrategia di bilanciamento di reazioni redox in forma ionica netta Spesso |
![]() |
![]() |
Il legame ionico è il legame che si instaura tra ioni di carica opposta per effetto della forza di attrazione coulombiana.
È il legame tipico che si stabilisce tra elementi con basso potenziale di ionizzazione ed elementi con alta affinità elettronica. Ricordando quello è l'andamento di queste due proprietà periodiche, possiamo aspettarci che i più semplici composti ionici binari siano costituiti quasi esclusivamente dagli elementi dei primi tre gruppi e dei metalli di transizione (che posseggono basso potenziale di ionizzazione) e da elementi del 6° e 7° gruppo (caratterizzati da alta affinità elettronica).
. Cationi
più comuni dei composti ionici (I, II e III gruppo):
Li+, Na+. K+, Mg2+, Ca2+,
Ba2+, Al3+
. Metalli di
transizione:
Cr3+, Mn2+, Fe2+, Fe3+, Cu+,
Cu2+, Zn2+, Ag+, Cd2+
. Anioni VII
e Vi gruppo:
F-, Cl-, Br-, I-, S2-,
Se2-
Molto spesso il legame ionico può interessare ioni molecolari, ovvero gruppi di atomi legati covalentemente che acquistando o perdendo ioni H+ formano specie ioniche. Come vedreno, si tratta frequentemente di anioni derivati da ossiacidi: CO32-, NO2-, NO3-, SO32-, SO42-, etc.
Quando si scrive la formula bruta di un sale ionico, si deve fare molta attenzione al bilancio delle cariche totali: ovvero si deve prendere un determinato numero di ioni positivi e un determinato numero di ioni negativi, in modo che la somma algebrica delle cariche risulti zero.
Ad esempio: NaCl, K2S, CaCl2, BaSO4, Al2S3, MgBr2, Na2CO3, Zn(NO3)2
Si tenga
presente che quando si scrivono queste formule, non si rappresentano
molecole, ma si indica semplicemente il rapporto numerico fra gli ioni
di segno opposto nel solido cristallino.
Ad esempio, NaCl indica che nel cloruro di sodio il rapporto fra Na+
e Cl- è 1:1; MgBr2 indica che nel bromuro di magnesio il
rapporto fra Mg2+ e Br- è 1:2.
Allo stato
solido, i composti ionici hanno una struttura ordinata ben definita, il reticolo
cristallino, tale che ogni catione è circondato da un certo numero di
anioni e viceversa. Questo numero si definisce numero di coordinazione (n)
dello ione.
La configurazione spaziale di un composto ionico (ad esempio, un sale) dipende
dal raggio ionico degli ioni che lo costituiscono. Più esattamente, dipende dal
rapporto fra il raggio dello ione positivo e il raggio ione dello ione negativo
(r+/r-). Il reticolo ha geometria cubica se questo
rapporto è alto; ottaedrica se è intermedio; tetraedrica se è
basso.

Reticoli cristallini ionici
Le linee che uniscono gli ioni non rappresentano legami, ma servono a caratterizzare
la cella cristallina.
Per comprendere l'organizzazione del solido cristallino, si deve immaginare che
la cella elementare si ripeta per tutta l'estensione del cristallo e che
ciascuno ione sia circondato da un numero di 'controioni' pari a n.
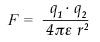
La forza di attrazione fra coppie di ioni isolati è espressa dalla legge di Coulomb:

in cui, q1 e q2 sono le cariche degli ioni, r è la distanza fra di loro ed ε è una costante, detta costante dielettrica del mezzo. Nel vuoto, il termine 4πε vale circa 10-10 C2 N-1 m-2 (C, coulomb; N, newton).
Nel reticolo cristallino questa formula deve essere modificata per tener conto del fatto che ciascuno ione risente delle interazioni di tutti gli ioni che lo circondano e si parla pertanto di energia reticolare.
Tuttavia, poiché la forza del legame ionico è comunque inversamente
proporzionale alla costante dielettrica, si spiega perché l'acqua (che ha un valore
di ε 80 volte maggiore di quello del vuoto) sia un ottimo solvente per le
sostanze ioniche. Ponendo un sale in acqua, infatti, le interazioni
elettrostatiche interioniche si riducono di quasi due ordini di grandezza,
cosicché gli ioni non possono più rimanere aggregati in forma cristallina: in
soluzione acquosa il cristallo ionico viene 'distrutto' e gli ioni si
trovano 'solvatati' dalle molecole del solvente.
Immaginando la formazione di un composto ionico, ad esempio cloruro di sodio, a partire dagli atomi Na e Cl, potremmo schematizzare l'evento supponendo che l'atomo con affinità elettronica più elevata (Cl) 'sottragga' un elettrone all'atomo con basso potenziale di ionizzazione (Na).

In questo modo entrambi gli atomi - in forma ionica - raggiungerebbero la configurazione elettronica otteziale stabile del gas nobile ad essi più vicino: neon per il sodio e argo per il cloro.
Quando si incontrano due atomi uguali o con potenziale di ionizzazione e affinità elettronica simili, non vi può essere ovviamente un trasferimento completo di elettroni dall'uno all'altro, come avviene nella formazione del legame ionico. In questo caso i due atomi possono tuttavia raggiungere la configurazione elettronica stabile del gas nobile, mettendo in compartecipazione i propri elettroni spaiati. Questo è quanto avviene nella formazione del legame covalente.
![]() |
| Appunti su: |
|
| Appunti Biologia | ![]() |
| Tesine Geografia | ![]() |
| Lezioni Ingegneria tecnico | ![]() |