![]() |
|
| Appunti scientifiche |
|
| Visite: 5855 | Gradito: |
Leggi anche appunti:Il microscopio di HeisenbergIl microscopio di Heisenberg Heisenberg non si limitò a dar forma matematica Metabolismo catabolico dei cibiMetabolismo catabolico dei cibi Il Coenzima A veicola il gruppo Rapporti ponderali: calcolo delle quantità che reagisconoRapporti ponderali: calcolo delle quantità che reagiscono Ricordando che |
![]() |
![]() |
I complessi con NC ≥ 3 possono formare stereoisomeri che differiscono per la disposizione dei leganti attorno all'atomo centrale. Per poter identificare un particolare stereoisomero è necessario definire un criterio convenzionale che descriva la disposizione reciproca dei leganti. Vi sono alcuni stereodescrittori (cis/trans, mer/fac) che vengono normalmente utilizzati per descrivere configurazioni particolari (Ma2b2 nei composti quadrato planari, Ma4b2 e Ma3b3 nei composti ottaedrici). Un criterio più generale, utile per identificare e descrivere la configurazione di qualsiasi tipo di stereoisomero di un composto complesso, utilizza l'indice di configurazione.
L'indice di configurazione è un numero che, ricavato in modo diverso in relazione alla diversa geometria del complesso, permette di descrivere in modo univoco la configurazione dell'isomero. L'indice di configurazione, una volta calcolato, segue il simbolo IUPAC del poliedro, formando una sigla che precede il nome dell'isomero. Nel caso l'indice di configurazione individui una coppia di enantiomeri è necessario distinguerli usando opportuni stereodescrittori (R/S per i complessi tetraedrici; C/A per gli altri complessi)
Stereoisomeria in coordinazione 3 - Trigonale planare (TP-3)
Le posizioni dei tre leganti connessi ad un complesso trigonale planare sono perfettamente equivalenti. Scambiando di posizione un legante si ottiene pertanto lo stesso composto. I complessi trigonali planari non presentano stereoisomeri

Stereoisomeria in coordinazione 3 - Trigonale piramidale (TPY-3)
I complessi trigonali piramidali con tre leganti diversi (Mabc) presentano due enantiomeri che possono essere distinti usando gli stereodescrittori R/S e trattando il complesso come un composto tetraedrico avente il quarto legame occupato da una coppia di elettroni non condivisi ai quali si assegna la minor priorità CIP.


Stereoisomeria in coordinazione 3 - "a forma di T" o T-shaped (TS-3)
I complessi TS-3 con leganti diversi possono presentare isomeri geometrici che si distinguono assegnando loro un indice di configurazione:
si assegnano le priorità CIP ai 3 leganti
l'indice di configurazione è costituito dal numero di priorità del legante che si trova sul gambo della T
l'indice di configurazione si pospone al simbolo IUPAC della geometria (in questo caso TS-3)

Stereoisomeria in coordinazione 4 - Quadrato planare (SP-4)
I complessi quadrato planari possono presentare isomeri geometrici
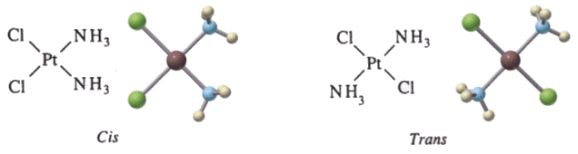
Nei complessi quadrato planari di tipo Ma2b2 e Ma2bc sono possibili 2 isomeri che possono essere distinti usando gli stereodescrittori di configurazione relativa cis/trans.

Nei complessi quadrato planari di tipo Mabcd sono possibili 3 diastereoisomeri. Per distinguere le loro configurazioni si premette al nome dell'isomero il simbolo IUPAC del poliedro (in questo caso il simbolo della geometria quadrato planare SP-4) a cui si fa seguire l'indice di configurazione.
Per calcolare l'indice di configurazione:
si assegna l'ordine di priorità CIP ai 4 leganti
Il numero di priorità del legante che si trova in posizione opposta (trans) rispetto al legante a più alta priorità (priorità = 1) è l'indice di configurazione.
Sia ad esempio l'ordine di priorità a>b>c>d in modo che il legante a abbia priorità = 1, il legante b abbia priorità = 2, il c priorità = 3 ed il d priorità = 4.
Se in posizione al legante a maggior priorità (a priorità = 1) si trova il legante b (priorità = ) l'indice di configurazione varrà e l'isomero avrà configurazione SP-4-

Se in posizione trans rispetto al legante a maggior priorità (a priorità = 1) si trova il legante c (priorità = ) l'indice di configurazione varrà e l'isomero avrà configurazione SP-4-

Se in posizione trans rispetto al legante a maggior priorità (a priorità = 1) si trova il legante d (priorità = ) l'indice di configurazione varrà e l'isomero avrà configurazione SP-4-

Sono rari ma possibili anche gli isomeri ottici (chirali). Un esempio è il complesso quadrato planare (meso-stilbendiammina)(iso-butilendiammina)Pt(II) che presenta una chiralità assiale.
Si ricordi che la chiralità assiale può essere classificata anche usando gli stereodescrittori P/M della chiralità elicoidale. In questo caso per individuare il senso di avvitamento del composto è necessario osservare il movimento dal legante anteriore a maggior priorità verso il legante posteriore a maggior priorità. Se il movimento è orario l'isomero è P, se è antiorario l'isomero è M

Esempi di chiralità assiale in complessi quadrato planari si presentano quando due anelli planari si trovano in posizione trans ed i loro orto-sostituenti (-R) sono sufficientemente ingombranti da mantenere i due anelli reciprocamente inclinati, impedendo contemporaneamente la loro libera rotazione.

Isomeria in coordinazione 4 - Tetraedrica (T-4)
Nel caso dei complessi tetraedrici non è presente l'isomeria geometrica. Essi sono invece chirali (come il carbonio tetraedrico) se portano quattro leganti diversi (Mabcd)., come, ad esempio il (h -ciclopentadienil)cloro(trifenilfosfina)metilFerro(III) e si assegna loro la configurazione assoluta tramite priorità CIP e stereodescrittori R/S

(S) h -C5H5)Cl(PPh3)(CH3)Fe(III)
La priorità CIP dei 4 leganti è C5H5 ('peso atomico = 60) > Cl > PPh3 > Me
L'isomero risulta pertanto (S). Si noti come, nel caso di leganti , si adotti la convenzione di trattare l'intero legante come un pseudoatomo di peso atomico virtuale pari alla somma dei pesi atomici degli atomi legati tramite gli orbitali
Una seconda forma di isomeria ottica nei complessi tetraedrici si ha in presenza di chelanti bidentati asimmetrici del tipo M(AB)2, come, ad esempio, nel bis(benzoilacetonato)Berillio (Ph = fenile).

Gli enantiomeri dei complessi tetraedrici chirali si distinguono assegnando loro la configurazione assoluta, utilizzando le regole di priorità CIP e gli stereodescrittori R/S
Isomeria in coordinazione 4 - Piramidale quadrata (SPY-4)
I complessi a piramide quadrata possono presentare stereoisomeri che si distinguono assegnando loro l'indice di configurazione:
si assegnano le priorità CIP ai 4 leganti
l'indice di configurazione è costituito dal numero di priorità del legante che si trova in posizione opposta (trans) rispetto al legante a maggior priorità
se vi sono due leganti che hanno maggior priorità si sceglie quello che presenta in posizione trans il legante a priorità più bassa (cioè con il numero di priorità più elevato e quindi la maggior differenza di priorità principio di massima differenza trans)
l'indice di configurazione si pospone al simbolo IUPAC della geometria (in questo caso SPY-4)

Si noti come l'isomero SPY-4-3 avesse due leganti a maggior priorità (priorità = 1) e fosse pertanto possibile scegliere come indice di configurazione sia il legante a priorità = 2, sia il legante a priorità = 3 (entrambi in posizione trans rispetto ai due leganti a priorità = 1. Si è scelto il legante a priorità più bassa (numero di priorità più elevato = 3) per il principio di massima differenza trans.
Si noti inoltre che, mentre l'isomero SPY-4-2 non presenta enantiomeri, l'isomero SPY-4-3 presenta una immagine speculare non sovrapponibile all'origine ed esiste auindi in due forme enantiomeriche. In questo caso è quindi necessario assegnare ai due enantiomeri la configurazione assoluta tramite stereodescrittori C/A
si osservino i 4 leganti ponendosi idealmente al posto del metallo M
Se muovendosi dal legante a maggior priorità verso quello a minor priorità (avente con esso la minor differenza di priorità) osserviamo un movimento orario l'enatiomero è C, in caso contrario è A

Isomeria in coordinazione 4 - SeeSaw - ad Altalena (SS-4)
Gli stereoisomeri SS-4 si distinguono assegnando loro l'indice di configurazione ed eventualmente, se vi sono coppie di enantiomeri, la configurazione C/A.
Per assegnare l'indice di configurazione:
si assegnano le priorità CIP ai 4 leganti
si individua la coppia di leganti opposti separati dall'angolo di legame maggiore
l'indice di configurazione è costituito da due cifre formate dal numero di priorità della suddetta coppia di leganti

Si noti come l'isomero SS-4-11 non sia chirale (la sua immagine speculare risulta infatti sovrapponibile all'originale). L'isomero SS-4-12 si può invece presentare in due forme enantiomeriche che potranno essere distinte assegnando loro la configurazione assoluta tramite stereodescrittori C/A.
ci si pone idealmente sul legante a maggior priorità dei due che costituiscono l'indice di configurazione
si osservano i due leganti non coinvolti nell'indice di configurazione e separati dall'angolo di legame minore
Se muovendosi dal legante a maggior priorità (attraverso l'angolo minore) verso quello a minor priorità osserviamo un movimento orario l'enatiomero è C, in caso contrario è A

Isomería in coordinazione 5
Le due geometrie che caratterizzano questo numero di coordinazione sono la bipiramidale trigonale (TBPY-5) e la piramidale quadrata (SPY-5). I 5 leganti vengono indicati, in relazione alle loro posizioni reciproche, con la seguente terminologia:

Isomería in coordinazione 5 - Bipiramidale trigonale (TBPY-5)
I complessi TBPY-5 possono presentare sia diastereoisomeri che isomeri ottici (enantiomeri). Ad esempio un complesso TBPY-5 del tipo Mabcde presenta 15 differenti diastereoisomeri ciascuno con il proprio enantiomero (15 coppie di enantiomeri).
Un complesso del tipo Ma4b presenta due diastereoisomeri

Un complesso del tipo Ma3b2 presenta 3 diastereoisomeri

Si noti come l'isomero -cis presenti i due leganti cis entrambi in posizione equatoriale, mentre l'isomero -cis presenta un legante cis in posizione equatoriale ed uno in posizione apicale.
I diversi stereoisomeri si distinguono tuttavia più agevolmente assegnando loro l'indice di configurazione ed eventualmente, se vi sono coppie di enantiomeri, la configurazione C/A.
Per assegnare l'indice di configurazione:
si assegnano le priorità CIP ai 5 leganti
l'indice di configurazione è costituito da due cifre formate dal numero di priorità della coppia di leganti che si trova sull'asse principale (asse ternario) del complesso (leganti apicali). Il numero più basso dei due viene scritto per primo.

Nel caso siano presenti coppie di enantiomeri potranno essere distinte assegnando loro la configurazione assoluta tramite stereodescrittori C/A.
ci si pone idealmente sul legante apicale a maggior priorità (più basso numero di priorità) e si osservano i leganti equatoriali
Se muovendoci dal legante a maggior priorità verso quello a minor differenza di priorità osserviamo un movimento orario l'enatiomero è C, in caso contrario è A

Isomería in coordinazione 5 - Piramidale quadrata (SPY-5)
I complessi SPY-5 possono presentare sia diastereoisomeri che isomeri ottici (enantiomeri). Ad esempio un complesso SPY-5 del tipo Mabcde presenta 15 differenti diastereoisomeri ciascuno con il proprio enantiomero (15 coppie di enantiomeri).
Un complesso del tipo Ma4b presenta due diastereoisomeri

Un complesso del tipo Ma3b2 presenta 3 diastereoisomeri

Si noti come l'isomero -cis presenti i due leganti cis entrambi in posizione basale, mentre l'isomero -cis presenta un legante cis in posizione basale ed uno in posizione apicale.
Un complesso del tipo Ma3bc presenta 4 isomeri di cui due sono enantiomeri

I diversi stereoisomeri si distinguono tuttavia più agevolmente assegnando loro l'indice di configurazione ed eventualmente, se vi sono coppie di enantiomeri, la configurazione C/A.
Per assegnare l'indice di configurazione:
si assegnano le priorità CIP ai 5 leganti
l'indice di configurazione è costituito da due cifre. La prima cifra è data dal numero di priorità del legante apicale che si trova sull'asse principale (asse quaternario) del complesso
la seconda cifra è data dal numero di priorità del legante che si trova in posizione opposta (trans) rispetto al legante a maggior priorità posto in posizione basale
se vi sono due leganti che hanno maggior priorità si sceglie il legante trans che presenta la priorità più bassa e quindi la maggior differenza di priorità rispetto al legante a priorità più elevata (principio di massima differenza trans)

Si noti come l'isomero SPY-5-43 avesse due leganti basali a maggior priorità (priorità = 1) e fosse pertanto possibile scegliere come seconda cifra dell'indice di configurazione sia il legante a priorità = 2, sia il legante a priorità = 3 (entrambi in posizione trans rispetto ai due leganti a priorità = 1). Si è scelto il legante a priorità più bassa (numero di priorità più elevato = 3) per il principio di massima differenza trans.
Nel caso siano presenti coppie di enantiomeri potranno essere distinte assegnando loro la configurazione assoluta tramite stereodescrittori C/A.
ci si pone idealmente sul legante apicale e si osservano i leganti basali
Se muovendoci dal legante a maggior priorità verso quello a minor differenza di priorità osserviamo un movimento orario l'enatiomero è C, in caso contrario è A

Isomería in coordinazione 6 - ottaedrica (OC-6)
I complessi ottaedrici sono tra i più comuni. Per descriverli si usano spesso le due seguenti rappresentazioni bidimensionali.
Sebbene la seconda rappresentazione sia più semplice da visualizzare, essa dà la falsa impressione che le posizioni 1 e 6 siano differenti rispetto alle altre quattro. Si tenga invece presente che, come mostrato successivamente, tutti e 6 i vertici del tetraedro sono equivalenti.

I complessi ottaedrici possono presentare sia isomeria geometrica che isomeria ottica. In generale la stereoisomeria può derivare da:
Diversa distribuzione dei leganti monodentati;
Diversa distribuzione degli anelli chelati;
Coordinazione di leganti multidentati asimmetrici;
Conformazione degli anelli chelati;
Coordinazione di un legante chirale.
L'isomeria geometrica dei complessi Ma4b2 ha caratteri simili a quella cis-trans nei complessi quadrato planari. Esistono infatti due isomeri dove i due leganti a possono occupare posizioni adiacenti (isomero cis), o posizioni opposte (isomero trans).

Anche i complessi Ma3b3 e M(ABC)2 presentano due isomeri. Quando i tre leganti a (o il chelante tridentato) occupano i tre vertici di una faccia dell'ottaedro l'isomero è detto facciale (fac). Quando i tre leganti a (o il chelante tridentato) occupano i tre vertici in un piano e i tre leganti b gli altri tre vertici in un piano perpendicolare l'isomero è detto meridionale (mer).

Aumentando il numero di leganti diversi aumenta il numero degli stereoisomeri, come esemplificato nella tabella successiva
|
Formula |
Stereoisomeri |
Coppie di enantiomeri |
|
|
|
|
|
Ma6 |
|
|
|
Ma5b |
|
|
|
Ma4b2 |
|
|
|
Ma3b3 |
|
|
|
Ma4bc |
|
|
|
Ma3bcd |
|
|
|
Ma2bcde |
|
|
|
Mabcdef |
|
|
|
Ma2b2c2 |
|
|
|
Ma2b2cd |
|
|
|
Ma3b2c |
|
|
|
M(AA)(BC)de |
|
|
|
M(AB)2cd |
|
|
|
M(AB)(CD)ef |
|
|
|
M(AB)3 |
|
|
|
M(ABA)cde |
|
|
|
M(ABC)2 |
|
|
|
M(ABBA)cd |
|
|
|
M(ABCBA)d |
|
|
Nel caso dei complessi ottaedrici che presentano numerosi stereoisomeri sono state introdotte diverse convenzioni per distinguerli. E' stato ad esempio definito il seguente ordine standard per individuare le 6 posizioni dei leganti in un complesso ottaedrico

Così, ad esempio il seguente isomero del dicarbonildiclorobis(trifenilfosfina)Rutenio [Ru(CO)2(PPh3)2Cl2]

può essere indicato come
af-dicarbonil-bd-dicloro-ce-difosfina
o
-dicarbonil-24-dicloro-35-difosfina
Un metodo alternativo per distinguere le diverse configurazioni degli isomeri ottaedrici prevede l'uso dell'indice di configurazione, da far seguire al simbolo IUPAC del poliedro (in questo caso il simbolo della geometria ottaedrica OC-6). L'indice di configurazione dei complessi ottaedrici è composto da due cifre. Per calcolarlo è necessario effettuare le seguenti operazioni:
Si assegna l'ordine di priorità CIP ai 6 leganti.
la prima cifra dell'indice di configurazione è data dal numero di priorità del legante che si trova in posizione opposta (trans) rispetto al legante a più alta priorità (priorità = 1)
Se vi è più di un legante con priorità = 1 si sceglie quello che presenta in posizione trans il legante a minor priorità (con il numero di priorità più elevato)
Il legante a maggior priorità (priorità = 1) ed il legante in posizione opposta ad esso (trans) definiscono l'asse principale del composto. Gli altri 4 leganti individuano il piano equatoriale del composto
la seconda cifra dell'indice di configurazione è data dal numero di priorità del legante che si trova in posizione trans rispetto al legante a più alta priorità tra i 4 leganti del piano equatoriale. (anche in questo caso, se nel piano equatoriale vi sono due leganti che presentano la priorità più elevata, si sceglie quello che ha in posizione opposta un legante a priorità inferiore)
Nel caso di due (o più) leganti polidentati identici, si assegnano le priorità a ciascun atomo donatore di uno dei leganti. Si assegnano le medesime priorità a ciascun atomo donatore degli altri leganti (essendo identici hanno la stessa priorità), con un segno ad apice. A parità di numero di priorità, presenta priorità maggiore l'atomo senza apice.
1° esempio
[CoBr2(en)(NH3)2]+ diamminodibromo(etilendiammina)Cobalto(III), dove la sequenza di priorità dei leganti è
Br (1), Br ( ) > en ( ), en ( ) > NH3 ( ), NH3 ( )

Si noti come esistano due leganti con priorità = 1 (i due atomi di Bromo). Si sceglie allora quello dei due che presenta in posizione opposta un legante a priorità più bassa (cioè con numero di priorità maggiore). L'asse principale del composto diventa l'asse 1-3 ed il diviene la prima cifra dell'indice di configurazione. Si individua ora tra i quattro leganti del piano equatoriale quello a priorità maggiore. In questo caso è nuovamente il Bromo con priorità = 1. Il numero di priorità ( ) del legante che si trova in posizione trans rispetto ad esso, diviene la seconda cifra dell'indice di configurazione.
L'indice di configurazione in tal modo calcolato (32) viene posposto al simbolo IUPAC del poliedro (OC ), ottenendo così OC-6-32. Tale sigla viene infine posta prima della formula del complesso OC-6-32 [CoBr2(en)(NH3)2]+
La formula OC-6-32 [CoBr2(en)(NH3)2]+ descrive tuttavia sia lo stereoisomero mostrato nell'immagine precedente, che il suo enantiomero

Per distinguere i due enantiomeri si usano gli stereodescrittori di configurazione assoluta C/A (Clockwise/Anticlockwise = Orario/Antiorario), analoghi agli stereodescrittori R/S. Per assegnare la configurazione assoluta ai due enantiomeri si osservi il piano equatoriale ponendosi sull'asse principale dalla parte del legante a maggior priorità. Se il movimento dal legante a maggior priorità che si trova sul piano equatoriale al legante a minor differenza di priorità che gli sta vicino è orario si assegna la configurazione C, se è antiorario si assegna la configurazione A

2° esempio
[RuCl(CO)H(PMe2Ph)3] CarbonilCloroIdrogenotris(fenildimetilfosifina)Rutenio, dove la sequenza di priorità dei leganti è
Cl ( ) > Pme2Ph ( ), Pme2Ph ( ), Pme2Ph ( ) > CO ( ) > H ( )

L'asse principale è individuato dai leganti 1-2 e quindi la prima cifra dell'indice di configurazione è 2. Nel piano equatoriale vi sono due leganti che hanno maggior priorità priorità = 2). scegliamo quello che ha in posizione opposta il legante con la maggior differenza di priorità (priorità = 4). La priorità di tale legante è la seconda cifra dell'indice di coordinazione. Infine la rotazione (osservata dal legante 1) del legante a più elevata priorità (2) posto sul piano equatoriale in direzione del legate a minor differenza di priorità (3) è antioraria (A). Lo stereoisomero sarà OC-6-24-A
3° esempio [Fe(acac)3] tris(acetilacetonato)ferro(III).

Un complesso tris(bidentato) del tipo M(AA)3 con il chelante bidentato che possiede 2 atomi donatori uguali presenta due enantiomeri. In questo caso tutti gli atomi donatori hanno ovviamente la medesima priorità = 1 ed è necessario distinguere i tre chelanti assegnando, arbitrariamente, degli apici agli atomi donatori. Ai due atomi donatori del primo chelante (arbitrariamente scelto) si assegna priorità = 1. Ai due atomi donatori del secondo chelante si assegna priorità = 1'. Ai due atomi donatori del terzo chelante si assegna priorità = 1''. Si ricordi che l'ordine di priorità è 1 > 1' > 1''

L'asse principale è quindi 1-1'' (l'asse alternativo 1-1' presenta infatti una minor differenza di priorità tra il legante a maggior priorità (1) ed il legante in posizione trans (1')) e la prima cifra dell'indice di configurazione è 1''. Nel piano equatoriale individuiamo il legante a maggior priorità (priorità = 1: la priorità del legante che si trova in posizione trans rispetto ad esso (priorità = 1') costituisce la seconda cifra dell'indice di configurazione . La configurazione sarà pertanto OC-6 1''1'. Per distinguere ora i due enantiomeri poniamoci sull'asse principale in corrispondenza del legante a maggior priorità (priorità = 1) ed osserviamo il senso di rotazione del legante a più elevata priorità (1) posto sul piano equatoriale in direzione del legate a minor differenza di priorità (1'). Se la rotazione è oraria l'enantiomero è OC-6 1''1'-C. Se la rotazione è antioraria l'enantiomero è OC-6 1''1'-A.
I complessi ottaedrici tris(bidentati) possono essere trattati come composti elicoidali i cui enantiomeri si distinguono per il diverso senso di avvitamento: destrogiro (destrorso) o levogiro (sinistrorso). Per descrivere le configurazioni dei due enantiomeri vengono utilizzati gli stereodescrittori delta/lambda . I corrspondenti simboli minuscoli vengono usati per distinguere conformazioni elicoidali opposte. In alternativa è possibile usare gli stereodescrittori P/M (Plus/Minus) della chiralità elicoidale (elicità).
Per poter trattare i complessi ottaedrici tris(bidentati) come elicoidali si assimilano i 3 chelanti ai lati dell'ottaedro ai quali sono legati. In tal modo si individuano 3 segmenti sghembi, che appartengono a piani diversi. Si può dimostrare che due segmenti sghembi, non perpendicolari tra loro, presentano un unico segmento perpendicolare contemporaneamente ad entrambi. Tale segmento definisce il raggio dell'elica che i due segmenti individuano.

Per individuare il verso (destrogiro o levogiro) dell'enantiomero è necessario considerare due segmenti qualsiasi. Uno di questi, arbitrariamente preso, formerà l'asse del cilindro attorno al quale si avviterà l'elica. L'altro risulterà tangente a tale cilindro e ci consentirà di individuare il verso dell'elica. Si noti che se il segmento più vicino all'osservatore (linea continua) è ruotato in senso orario rispetto al segmento più distante (linea tratteggiata) il verso è destrogiro. Se è ruotato in senso antiorario, il verso è levogiro

Non essendo sempre agevole usare tale metodo per individuare il senso di rotazione dell'elica è possibile ricorrere al metodo seguente.
Si orienti il tetraedro in modo che ci guardi con una faccia legata a tutti e tre i leganti bidentati. Si proietti sul piano tale faccia e la faccia ad essa simmetrica (anch'essa legata a tutti e tre i chelanti). In questo modo ogni vertice della faccia superiore è legato, tramite un chelante, ad un vertice della faccia inferiore. Se il legante collega il vertice della faccia superiore al vertice della faccia inferiore in senso orario, l'enantiomero è destrogiro (o P), altrimenti è levogiro (o M).



Molti chelanti bidentati non sono planari e possono presentare conformazioni elicoidali destrogire o levogire, classificabili usando gli stereodescrittori .
Per definire il verso dell'elica è necessario tracciare due linee, una che passi per i due atomi donatori ed una che passi per i due atomi ad essi adiacenti. Come abbiamo già visto, se la linea più vicina all'osservatore è ruotata in senso antiorario rispetto a quella più distante indichiamo la conformazione come , altrimenti come

Nel caso della etilendiammina, ad esempio, si deve tracciare una linea che congiunga i due atomi di Azoto legati al metallo centrale e l'altra che congiunga i due atomi di Carbonio ad essi adiacenti.

Le due conformazioni sono in rapporto enantiomerico.
4° esempio
complesso ottaedrico bis(tridentato) del tipo M(ABA)2 con A > B. Presenta 4 stereoisomeri, due dei quali formano una coppia di enantiomeri

5° esempio
complesso ottaedrico con chelante tretradentato del tipo M(ABBA)c2, con A > B > c. Presenta 5 stereoisomeri, quattro dei quali formano due coppie di enantiomeri

Isomería in coordinazione 6 - Prismatica trigonale (TPR-6)
Gli stereoisomeri TPR-6 si distinguono assegnando loro l'indice di configurazione ed eventualmente, se vi sono coppie di enantiomeri, la configurazione C/A.
Per assegnare l'indice di configurazione:
si assegnano le priorità CIP ai 6 leganti
si individua la faccia triangolare che contiene il maggior numero di leganti a più elevata priorità (con il più basso numero di priorità)
l'indice di configurazione è costituito da tre cifre formate dal numero di priorità dei tre leganti che si trovano sulla faccia opposta
la successione delle tre cifre rispetta l'ordine di priorità dei leganti a maggior priorità
1° esempio

2° esempio

3° Esempio
complesso tris(bidentato) di tipo M(AA)3. I leganti presentano atomi donatori tutti uguali ed è quindi necessario attribuire in modo arbitrario degli apici (ricordiamo che 1>1'>1''). In questo caso le due facce triangolari presentano leganti con la medesima priorità CIP complessiva ed è pertanto indifferente la scelta della faccia. Il complesso può essere indifferentemente indicato come TPR-6-1'1''1 o come TPR-6-1''11'

Nel caso siano presenti coppie di enantiomeri potranno essere distinte assegnando loro la configurazione assoluta tramite stereodescrittori C/A.
ci si pone idealmente sulla faccia triangolare a maggior priorità complessiva e si osservano i 3 leganti posti sulla faccia triangolare opposta
Se, muovendoci dal legante a maggior priorità verso quello a minor differenza di priorità, osserviamo un movimento orario l'enatiomero è C, in caso contrario è A

In alcuni casi, per poter distinguere i due enantiomeri in presenza di leganti monodentati uguali, è opportuno assegnare ai leganti uguali degli apici.
Indice di configurazione per sistemi bipiramidali con NC > 6
- Bipiramidale pentagonale PBPY-7
- Bipiramidale esagonale HBPY-8
- Bipiramidale ettagonale HBPY-9
Per questi sistemi bipiramidali l'indice di configurazione è costituito di due numeri separati da un trattino. Il primo numero è formato da due cifre costituite dal numero di priorità della coppia di leganti che si trova sull'asse principale del complesso (leganti apicali), in modo analogo a quanto già visto per i complessi bipiramidali trigonali. Il numero più basso dei due viene scritto per primo.
Il secondo numero è costituito da tutti i numeri di priorità dei leganti del piano equatoriale (perpendicolare all'asse principale) La prima cifra è data dal legante a maggior priorità (numero di priorità più basso) che si trova sul piano equatoriale. Le altre cifre vengono disposte in sequenza muovendosi nella senso (orario o antiorario) in cui si trova la prima cifra che presenta la minor differenza rispetto alla cifra di partenza.
1° esempio Bipiramidale pentagonale (PBPY-7)

2° esempio Bipiramidale esagonale (HBPY-8)

Stereodescrittori C/A per sistemi bipiramidali con NC > 6
- Bipiramidale pentagonale PBPY-7
- Bipiramidale esagonale HBPY-8
- Bipiramidale ettagonale HBPY-9
Per assegnare la configurazione assoluta ad enantiomeri bipiramidali con NC > 6:
si assegnano le priorità CIP a tutti i leganti
ci si pone idealmente sul legante a maggior priorità posto sull'asse principale
se il movimento che va dal legante equatoriale a maggior priorità al primo legante ad esso adiacente che presenta rispetto ad esso la minor differenza di priorità è orario si assegna la configurazione C, se è antiorario si assegna la configurazione A
1° esempio acquodiamminobis(dimetilditiocarbammato)molibdeno(II)
[Mo(H2O)(NH3)2(Me2NCS2)2]

2° esempio

3° Esempio complesso bipiramidale pentagonale con due leganti monodentati assiali identici. Il complesso risulta simmetrico (presenta un piano di simmetria coincidente con il piano equatoriale) e quindi achirale. Non sono quindi possibili enantiomeri. Si noti come il movimento dal legante equatoriale a maggior priorità (1) verso il legante equatoriale adiacente a minor differenza di priorità (3), può essere osservato sia dal legante assiale superiore in senso orario, che dal legante assiale inferiore in senso antiorario. I due punti di osservazione sono infatti equivalenti, avendo la medesima priorità.

4° Esempio complesso bipiramidale esagonale con leganti monodentati assiali disposti simmatricamente. Il complesso presenta un piano di simmetria su cui giace l'asse principale del composto e non presenta pertanto enantiomeri. Si noti come il primo punto a minor differenza di priorità (6), sul piano equatoriale, si trovi in posizione opposta rispetto al legante equatoriale a maggior priorità (1) e può essere pertanto raggiunto, in modo equivalente, sia con un movimento orario che antiorario

![]() |