![]() |
|
| Appunti scientifiche |
|
| Visite: 2088 | Gradito: |
Leggi anche appunti:Il principio dell'accelleratoreIl principio dell'accelleratore accelleratore = incremento domanda beni di Logica a tre valoriLogica a tre valori La logica ordinaria utilizzata dai primi filosofi Lo spettro elettromagneticoLo spettro elettromagnetico Si dice spettro di una sorgente di radiazione l'insieme |
![]() |
![]() |
Anelli ad aggancio di fase digitali
Realizzazione con metodo di Eulero
Il metodo sicuramente più intuitivo per realizzare un PLL digitale consiste nel simulare il sistema analogico. Come vedremo questa soluzione da buoni risultati se confrontati con il limite di Cramer-Rao.
Trascuriamo per il momento l'effetto del rumore, e per comodità riportiamo l'equazioni di stato che regolano il funzionamento di un PLL analogico,

con
.
La
simulazione di un sistema analogico consiste nel cercare i punti
che meglio
approssimino i valori,
, assunti dalle variabili di stato del sistema, agli istanti
con
.
Nel metodo di Eulero questi punti vengono dati dalla relazione
![]()
per cui troviamo

In figura 1 è mostrato il diagramma in banda base di un sistema che realizza questo sistema.

Figura 1 Equivalente in banda base di un PLL digitale del secondo ordine
Se
l'errore di fase
è molto minore
dell'unità possiamo approssimare il seno con il suo
argomento ottenendo


Figura 2 Modello linearizzata di un PLL digitale del secondo ordine
Sostituendo
e spostandoci nel
dominio z possiamo trovare la funzione di trasferimento H(z) del PLL digitale,
infatti,

da cui si ricava

e, con pochi calcoli


Figura
3 Funzione
di trasferimento ad anello chiuso
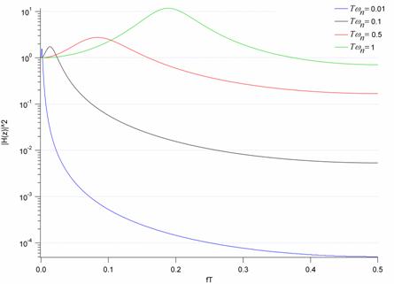
La
funzione di trasferimento
è stata rappresentata
in figura 3, in funzione della frequenza normalizzata,
, per vari valori della frequenza naturale normalizzata,
, ed è periodica con frequenza
. Dal grafico si può vedere come, al crescere di
, il PLL perda la sua caratteristica di filtro Passa-Basso.
Per capire l'importanza del metodo di Eulero è utile confrontare il PLL digitale trovato, con un altro PLL largamente sfruttato nelle telecomunicazioni numeriche, e che è descritto dalle equazioni

omettendo i calcoli [3] si trova che il PLL ha funzione di trasferimento:

che è identica alla funzione di trasferimento del PLL trovato con il metodo di Eulero quando si sostituisce:
![]()
.
Realizzazione con metodo di Runge-Kutta
Come
abbiamo visto in precedenza il metodo di Runge-Kutta consiste nell'approssimare
il valore di
, partendo dalla conoscenza di
, valutando la funzione
in 4 punti, uno
all'inizio dell'intervallo di riferimento, 2 al centro e uno alla fine.
![]()
dove i valori
,
,
,
sono dati dalle relazioni

In
questo caso
(con i=1,2,3,4)
rappresenta un vettore con componenti
,
che rappresentano
rispettivamente l'incremento lungo la fase stimata
e quello lungo la
seconda variabile di stato
. Quindi nel caso del PLL descritto precedentemente le
formule di Runge-Kutta si specializzano così:

dove i vari incrementi vengono forniti dalle seguenti relazioni:




Il
diagramma a blocchi è un poco più complicato del precedente. In questo schema,
come si vede in figura 4, il tempo di campionamento rimane invariato. La fase
da stimare viene riportata invariata all'ingresso dei 4 blocchi
, i quali producono, attraverso approssimazioni successive,
altrettante stime degli incrementi
. Gli incrementi, pesati dai coefficienti del metodo di
Runge-Kutta, vengono inviati al sommatore, che restituisce il valore aggiornato
delle variabili di stato
.
Inoltre, ogni incremento, tranne l'ultimo, viene inviato al blocco successivo e sommato al valore corrente delle variabili di stato. In questo modo, abbiamo a disposizione valori degli incrementi calcolati in 4 diversi punti. Con questo meccanismo, come vedremo, il PLL di Runge-Kutta è in grado conservare le caratteristiche del PLL analogico per un range dei parametri di progetto, più ampio rispetto a quello del PLL ottenuto con il metodo di Eulero.

Figura 4 Schema di principio di un PLL progettato con il metodo di Runge-Kutta.
Il
blocco
(figura 5) è poco
dissimile dal PLL digitale ottenuto con il metodo di Eulero, e contiene tutte
le non-linearità del sistema; le differenze si esauriscono nel numero delle
uscite, che in questo caso sono i due incrementi
, e nel meccanismo di retroazione, che viene sviluppato in
verticale, tra un blocco
e un altro. I
coefficienti
sono quelli che si
desumono dalle tavole di Butcher.

Figura
5 Blocco
del PLL di Runge-Kutta
Anche in questo caso,
se
possiamo approssimare
il seno con il suo argomento e quindi rendere lineari l'equazioni che
rappresentano il PLL.




Partendo
da queste equazioni possiamo trovare la funzione di trasferimento del PLL.
Questo calcolo è stato effettuando ricavando
dal primo sistema
d'equazioni e sostituendolo nel secondo per calcolare
. Procedendo per sostituzioni successive fino a trovare
in funzione delle sole
variabili di stato del sistema si ottiene:




Dopo
di che si sommano i risultati trovati, pesati dall'opportuno coefficiente
, che si ricava anch'esso dalla tavola di Butcher;
trascurando i passaggi algebrici, si ottiene la legge che regola
l'aggiornamento delle variabili di stato:

Per semplicità poniamo

E quindi, passando nel dominio delle trasformate Z, si ottiene:

Con pochi passaggi si
ottiene la funzione di trasferimento della fase
:
![]()
In
figura 6 è riportata la funzione di trasferimento del PLL di ottenuto con il
metodo di Runge-Kutta per diversi valori di
(linea continua), ed è
confrontata con quella ottenuta precedentemente con il metodo di Eulero (linea
tratteggiata).

Figura
6 Funzione
di trasferimento ![]()
Come
si può facilmente vedere le funzioni di trasferimento del PLL implementato con
i due metodi sono pressoché identiche per valori di
molto piccoli; si può
inoltre notare come, per
crescenti, la funzione
di trasferimento del PLL ottenuto con il metodo di Eulero perda prima la
caratteristica di filtro Passa-Basso rispetto al PLL ottenuto con Runge-Kutta.
Limiti di validità del metodo numerico
Una volta ottenuto le funzioni che regolano il funzionamento dei PLL digitali è utile stabilirne i limiti di validità, cioè valutare per quale range dei parametri di progetto il PLL digitale funziona con le stesse prestazioni del PLL analogico.
Per far questo, consideriamo le equazioni di stato del PLL analogico:

Supponendo l'ingresso nullo, la matrice Jacobiana, calcolata nel punto di equilibrio
![]()
e data da

quindi, il polinomio caratteristico è
![]()
per cui gli autovalori di J sono:
![]()
poiché
nei casi di interesse pratico
,
.
Affinché
il metodo di Eulero sia stabile occorre che ![]()
![]()
visto
che l'argomento della radice è positivo per
, possiamo elevare tutto al quadrato trovando
![]()
E
quindi, affinché il metodo applicato al PLL analogico sia stabile occorre che
.
Per il metodo di Runge-Kutta, invece la regione di stabilità è data da :
![]()
La funzione
è rappresentata in figura
7,

Figura
7
valutata per
Come
si vede, a parità di intervallo di campionamento T, il PLL di Runge-Kutta perde
la proprietà della stabilità numerica per un valore di
circa doppio, se
confrontato con il PLL ottenuto con il metodo di Eulero.
La
dipendenza del valore massimo di
ammissibile dall'elongazione,
, è rappresentata in figura 8
.
Figura
8 Massimo valore
accettabile per la
stabilità numerica
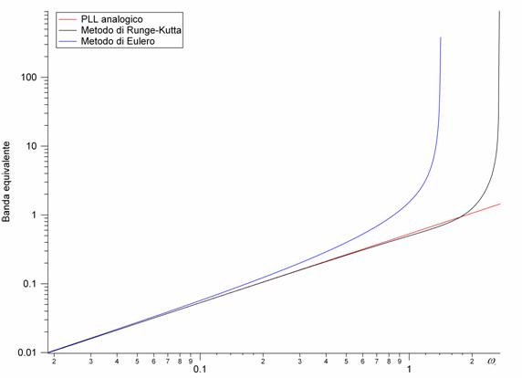
Banda equivalente del PLL
Come
abbiamo visto in precedenza, una caratteristica fondamentale, di cui tener
conto in fase di progettazione, è la banda equivalente di rumore
. Se, infatti, da un lato, una piccola banda equivalente
consente di ottenere una reiezione del rumore ottimale, dall'altro fa aumentare
notevolmente il tempo di acquisizione. Occorre, perciò, trovare un giusto
compromesso tra velocità di acquisizione e banda del filtro di anello.
Il calcolo di
è stato effettuato
valutando numericamente l'integrale:

dove
.
I risultati sono riportati in figura 9.

Figura 9 Banda equivalente di rumore per T=1.
In figura è riportato anche l'andamento della banda equivalente di rumore in un PLL analogico, che è dato da
.
Si
vede come la banda equivalente di rumore di un PLL realizzato con il metodo di
Runge-Kutta è molto vicina a quella di un PLL analogico per un range di valori
di
più ampio rispetto a
quelli di un PLL realizzato con le formule di Eulero, in perfetto accordo con i
risultati ottenuti nel precedente paragrafo. Infatti, come si vede dal grafico,
il valore di
diverge per
nel caso in cui si usi
il metodo di Eulero, mentre per Runge-Kutta si ha
.
![]() |
| Appunti su: simulazione rumore di fase, |
|
| Appunti Chimica | ![]() |
| Tesine Biologia | ![]() |
| Lezioni Geografia | ![]() |