Appunti per Scuola e Università
humanisticheUmanistiche
Appunti e tesine di tutte le materie per gli studenti delle scuole medie riguardanti le materie umanistiche: dall'italiano alla storia riguardanti le materie umanistiche: dall'italiano alla storia 
sceintificheScientifiche
Appunti, analisi, compresione per le scuole medie suddivisi per materie scientifiche, per ognuna troverai appunti, dispense, esercitazioni, tesi e riassunti in download.
tecnicheTecniche
Gli appunti, le tesine e riassunti di tecnica amministrativa, ingegneria tecnico, costruzione. Tutti gli appunti di AppuntiMania.com gratis!
Appunti
scientifiche
Astronomia cosmologiaChimicaEconomiaEducazione fisicaFisica
MatematicaStatistica


AppuntiMania.com » Scientifiche » Appunti di Fisica » Elasticità

Elasticità




Visite: 1516Gradito:apreciate 4-stela [ Picolo appunti ]
Leggi anche appunti:

La riflessione totale- miraggio fata morgana


LA RIFLESSIONE TOTALE MIRAGGIO FATA MORGANA

Gas


Gas Gas è il termine che indica una sostanza che si trova in un particolare

La forza di Lorentz


La forza di Lorentz La forza di Lorentz è una forza originata dal campo magnetico
immagine di categoria

Scarica gratis Elasticità

Elasticità


Limite di elasticità, valore della sollecitazione, diverso per ciascun materiale, al di sopra del quale la deformazione permane al cessare della sollecitazione stessa.

La teoria classica dell'elasticità si fonda sulla scoperta della legge di proporzionalità lineare biunivoca che lega gli sforzi con le deformazioni compiuta dal fisico inglese R. Hooke, a seguito di esperienze su molle d'acciaio per orologi, e da questi sintetizzata (1676) nell'aforisma ut tensio sic vis. Dalla trattazione risultano pertanto esclusi quei corpi che per minime sollecitazioni subiscono apprezzabili deformazioni permanenti (corpi anelastici, es.: piombo) ovvero notevoli deformazioni elastiche (corpi iperelastici, es.: gomma) che sono oggetto di altre teorie (trasformazioni termoelastiche finite, plasticità, ecc.). La legge di Hooke trovò inizialmente autorevoli conferme dalle esperienze di Coulomb sui fili e da quelle di Hodgkinson e di Tresca sulle barre metalliche. Col crescere della precisione dei mezzi sperimentali, si vide come il comportamento dei vari materiali fosse conforme a tale legge soltanto per sollecitazioni contenute entro un determinato limite, detto appunto limite di proporzionalità, destinato peraltro a ridursi continuamente col crescere della precisione degli strumenti. Tale limite non va confuso con il limite di elasticità sopra definito al quale, peraltro, si avvicina sensibilmente in certi metalli. In realtà la deformazione dei solidi naturali, seppure infinitesima, non è mai perfettamente elastica, cioè linearmente proporzionale alla sollecitazione, ma permane in certa misura (deformazione permanente o residua) all'interno del solido al cessare della sollecitazione per l'insorgere di fenomeni di isteresi. D'altra parte, però, tanto più decresce l'ampiezza delle deformazioni, tanto più il comportamento dei solidi naturali si avvicina a quello previsto dalla teoria, che si presenta così come una teoria limite, di approssimazione più che sufficiente per poter essere considerata valida nel campo delle pratiche applicazioni.

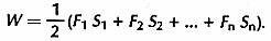
Per meglio comprendere che cosa si intenda per corpo elastico si consideri la tendenza di ogni suo elemento (di volume e di superficie) a ritornare nello stato di equilibrio precedente alla deformazione in esame (stato naturale). Tale tendenza si esprime ammettendo l'esistenza di un'energia potenziale elastica nella quale si trasforma il lavoro meccanico che è stato necessario per portare il corpo allo stato deformato e che è suscettibile di trasformarsi nuovamente in lavoro al momento in cui la deformazione si annulli. Il teorema di Clapeyron, riferito all'elasticità dei solidi, ci dice che tale lavoro di deformazione (W) in un solido elastico assoggettato a un sistema di forze F , F , , Fn, la cui intensità vari staticamente (cioè con lentezza sufficiente da rendere trascurabile la corrispondente energia cinetica) vale, esprimendolo mediante le F e gli spostamenti S , S , , Sn dei loro rispettivi punti di applicazione,

In tale equazione W esprime la metà del lavoro che le forze deformatrici eseguirebbero agendo in tutta la loro intensità durante l'intera variazione di configurazione che porta il corpo dallo stato naturale allo stato deformato che si considera.

La configurazione di equilibrio e la distribuzione effettiva delle tensioni di un corpo elastico deformato sono determinate dal principio dei lavori virtuali (v. VIRTUALE) e dal principio di elasticità o del minimo lavoro.

Sotto il nome di teoremi sul lavoro di deformazione si comprendono altri teoremi di notevole importanza teorica e pratica, quali: il teorema delle derivate del lavoro, enunciato da A. Castigliano nel 1873, il primo teorema di reciprocità, dovuto a E. Betti (1872) che generalizzò l'enunciazione data da J. C. Maxwell, e il secondo teorema di reciprocità, dovuto a G. Colonnetti che ne ha dato nel 1912 Ia prima enunciazione.

Scarica gratis Elasticità
Appunti su:



Scarica 100% gratis e , tesine, riassunti



Registrati ora

Password dimenticata?
  • Appunti superiori
  • In questa sezione troverai sunti esame, dispense, appunti universitari, esercitazioni e tesi, suddivisi per le principali facoltà.
  • Università
  • Appunti, dispense, esercitazioni, riassunti direttamente dalla tua aula Universitaria
  • all'Informatica
  • Introduzione all'Informatica, Information and Comunication Tecnology, componenti del computer, software, hardware ...

Appunti Chimica Chimica
Tesine Biologia Biologia
Lezioni Geografia Geografia