Appunti per Scuola e Università
humanisticheUmanistiche
Appunti e tesine di tutte le materie per gli studenti delle scuole medie riguardanti le materie umanistiche: dall'italiano alla storia riguardanti le materie umanistiche: dall'italiano alla storia 
sceintificheScientifiche
Appunti, analisi, compresione per le scuole medie suddivisi per materie scientifiche, per ognuna troverai appunti, dispense, esercitazioni, tesi e riassunti in download.
tecnicheTecniche
Gli appunti, le tesine e riassunti di tecnica amministrativa, ingegneria tecnico, costruzione. Tutti gli appunti di AppuntiMania.com gratis!
Appunti
scientifiche
Astronomia cosmologiaChimicaEconomiaEducazione fisicaFisica
MatematicaStatistica


AppuntiMania.com » Scientifiche » Appunti di Fisica » Energia di un dipolo

Energia di un dipolo




Visite: 1451Gradito:apreciate 4-stela [ Picolo appunti ]
Leggi anche appunti:

La pressione nei fluidi


LA PRESSIONE NEI FLUIDI Consideriamo una porzione di fluido in quiete contenuto

RELAZIONE DI FISICA: Il moto armonico semplice (M.A.S.)


RELAZIONE DI FISICA: Il moto armonico semplice (M.A.S.) -Definizione: Il

Le fonti rinnovabili


LE FONTI RINNOVABILI L'attenzione si ha avuta a conseguenza: *delle crisi
immagine di categoria

Scarica gratis Energia di un dipolo

Energia di un dipolo

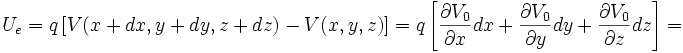
Se un dipolo è sottoposto a forze in un campo elettrico esterno qualunque, l'energia potenziale elettrostatica è data dalla differenza di potenziale tra le due cariche, supposte come al solito molto vicine:

dove e è il momento di dipolo.

Capacità

Se si applica una tensione tra le armature, le cariche elettriche si separano e si forma un campo elettrico all'interno del dielettrico. L'armatura collegata al potenziale più alto si carica positivamente, negativamente l'altra. Le cariche positive e negative sono uguali ed il loro valore assoluto costituisce la carica Q del condensatore. La carica è proporzionale alla tensione applicata e la costante di proporzionalità è una caratteristica di quel particolare condensatore che si chiama capacità e si misura in farad:      

La capacità di un condensatore piano (armature piane e parallele) è proporzionale al rapporto tra la superficie A di una delle armature e la loro distanza d. La costante di proporzionalità ε è una caratteristica dell'isolante interposto e si chiama costante dielettrica assoluta e si misura in farad/m. Ora, poiché la costante dielettrica del vuoto vale ε0=8,85*10-12 F/m, il rapporto tra la costante dielettrica assoluta di un isolante e quella del vuoto è un numero puro chiamato costante dielettrica relativa. La capacità di un condensatore piano a facce parallele è quindi: 



Scarica gratis Energia di un dipolo
Appunti su:



Scarica 100% gratis e , tesine, riassunti



Registrati ora

Password dimenticata?
  • Appunti superiori
  • In questa sezione troverai sunti esame, dispense, appunti universitari, esercitazioni e tesi, suddivisi per le principali facoltà.
  • Università
  • Appunti, dispense, esercitazioni, riassunti direttamente dalla tua aula Universitaria
  • all'Informatica
  • Introduzione all'Informatica, Information and Comunication Tecnology, componenti del computer, software, hardware ...

Appunti Chimica Chimica
Tesine Biologia Biologia
Lezioni Geografia Geografia