Appunti per Scuola e Università
humanisticheUmanistiche
Appunti e tesine di tutte le materie per gli studenti delle scuole medie riguardanti le materie umanistiche: dall'italiano alla storia riguardanti le materie umanistiche: dall'italiano alla storia 
sceintificheScientifiche
Appunti, analisi, compresione per le scuole medie suddivisi per materie scientifiche, per ognuna troverai appunti, dispense, esercitazioni, tesi e riassunti in download.
tecnicheTecniche
Gli appunti, le tesine e riassunti di tecnica amministrativa, ingegneria tecnico, costruzione. Tutti gli appunti di AppuntiMania.com gratis!
Appunti
scientifiche
Astronomia cosmologiaChimicaEconomiaEducazione fisicaFisica
MatematicaStatistica


AppuntiMania.com » Scientifiche » Appunti di Fisica » Energia

Energia




Visite: 1767Gradito:apreciate 5-stela [ Grande appunti ]
Leggi anche appunti:

Marie Curie (1867-1934)


Marie Curie  (1867-1934) Marie Sklodowska con suo marito Pierre Curie,

Come si e' giunti al modello atomico odierno


COME SI E' GIUNTI AL MODELLO ATOMICO ODIERNO Nel 1905 Millikan dimostrò

Decadimento radioattivo


DECADIMENTO RADIOATTIVO   La composizione nucleare di
immagine di categoria

Scarica gratis Energia

Energia


Attitudine di un sistema fisico a compiere un lavoro. (È definita da una grandezza fisica che, ogniqualvolta il sistema fornisce lavoro all'esterno, diminuisce di una quantità pari al lavoro compiuto. Nel sistema SI si misura in joule.) Energia di legame, energia potenziale negativa posseduta da una particella in un campo di forze, per es. un elettrone nel campo coulombiano dell'atomo o un nucleone nel campo nucleare. (È misurata dal lavoro effettuato sulla particella per sottrarla all'influenza del campo: nel caso dell'elettrone legato a un atomo tale energia si dice anche energia di ionizzazione.) Energia elastica, energia potenziale dovuta alle forze generate da una deformazione elastica. Energia elettromagnetica, energia associata ai fenomeni elettrici e magnetici. (Tale energia si immagina distribuita nello spazio con una densità dipendente dall'intensità del campo ed è uguale all'energia spesa per creare tale campo.) Energia interna, funzione U dello stato termodinamico di un sistema. Energia libera, funzione F dello stato termodinamico di un sistema, definita dalla relazione F = U - TS dove U è l'energia interna, T la temperatura assoluta, S l'entropia del sistema.  Energia cinetica, energia associata allo stato di moto di un corpo, definita dal semiprodotto della massa del corpo per il quadrato della sua velocità. Energia potenziale (o di posizione), energia di un corpo dovuta alla presenza di un campo di forze conservativo. (È positiva nel caso di forze repulsive, negativa in caso contrario ed è proporzionale al valore del potenziale nel punto in cui si trova il corpo.) Energia raggiante, energia che si propaga per onde elettromagnetiche.  Energia superficiale, energia potenziale posseduta dalle lamine liquide. Energia sonora, forma di energia che si propaga in un mezzo elastico, per onde di frequenza compresa nei limiti di udibilità o, per estens., al di fuori di tali limiti. Energia elettrica apparente, prodotto della potenza elettrica apparente per il tempo. (Si misura con appositi contatori; l'unità di misura usata è il voltamperora.)

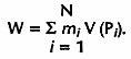
L'energia di un sistema fisico si può manifestare sotto diverse forme, ognuna delle quali è associata a qualche grandezza fisica caratteristica: per es. al moto e alla posizione del sistema è associata l'energia meccanica, al calore l'energia termica e così via. Ogni processo subito dal sistema può essere accompagnato dalla variazione di diverse forme d'energia. Tuttavia, quando il sistema è isolato, ogni diminuzione di una data forma di energia è compensata dall'aumento di energia sotto altre forme, così che l'energia totale, cioè la somma di tutte le forme di energia, è costante in un sistema isolato. Questa legge di conservazione, che è la proprietà fondamentale dell'energia, permette di individuare e definire ogni possibile forma di energia; infatti, ogniqualvolta si osserva, in un sistema isolato, una diminuzione complessiva delle forme di energia note, si trova sempre una nuova forma di energia, in modo che l'energia totale sia costante. La prima nozione di energia fu introdotta nella fisica da Huygens e Leibniz, indipendentemente; costoro osservarono che nell'urto elastico tra due corpi la "forza viva", cioè la somma dei semiprodotti delle masse dei corpi per il quadrato delle loro velocità (detta più propriamente energia cinetica), è costante prima e dopo l'urto, perciò nell'urto elastico l'energia cinetica si conserva. Tuttavia in un sistema fisico possono avvenire dei processi meccanici in cui l'energia cinetica non è costante; per es. nel pendolo tale energia passa periodicamente da un valore massimo a zero; se però il sistema è soggetto a un campo di forza conservativo (come il campo gravitazionale, nel caso del pendolo), si può introdurre una nuova forma di energia, detta energia potenziale, in modo che l'energia complessiva, o energia meccanica, sia costante nel tempo. Nel caso particolare di un sistema costituito da un insieme discreto di N punti materiali Pi di massa mi (i = 1, 2, , N), soggetto a un campo gravitazionale descritto dal potenziale V (P), l'energia potenziale W è definita dalla relazione

Quando il campo di forze non è conservativo l'energia meccanica non si conserva; per es. in ogni processo accompagnato da attrito si osserva una diminuzione di energia meccanica accompagnata da un aumento della quantità di calore. In particolare, quando un sistema termodinamico compie una trasformazione ciclica, l'energia meccanica fornita al sistema è proporzionale al calore ceduto durante il ciclo (principio di equivalenza tra energia meccanica e calore). Quindi il calore, che era stato interpretato come uno speciale fluido imponderabile, è una forma di energia, detta energia termica. Questa energia si dice degradata perché, a differenza degli altri tipi di energia, non è possibile trasformarla integralmente in lavoro; precisamente non esiste, per il secondo principio della termodinamica, nessun processo il cui unico risultato sia la produzione di lavoro a spese di un'unica sorgente di calore a temperatura costante: ogni trasformazione di calore in lavoro è sempre accompagnata dalla produzione di calore a temperatura più bassa. In una trasformazione termodinamica non ciclica la variazione di energia meccanica non è sempre compensata da una corrispondente variazione di energia termica perché possono comparire altre forme di energia, per es. una certa quantità di calore può essere assorbita durante il cambiamento di stato del sistema; si può allora definire una nuova energia detta energia interna U, che è costante in ogni sistema termodinamico isolato; se il sistema non è isolato la variazione di energia interna dipende unicamente dallo stato iniziale e dallo stato finale della trasformazione ed è uguale, per il principio di conservazione, alla differenza tra la quantità di calore Q ceduta e l'energia meccanica L assorbita dall'esterno durante la trasformazione, cioè si ha U = Q - L. Queste proprietà dell'energia interna si possono esprimere in forma più precisa dicendo che la variazione di energia interna durante una trasformazione infinitesima è un differenziale esatto (primo principio della termodinamica). Studiando i processi in cui intervengono fenomeni elettromagnetici o d'altro tipo si possono definire altre forme di energia. La teoria della relatività ristretta ha introdotto un'ulteriore generalizzazione del concetto di energia, che consente di interpretare anche la massa come una forma di energia; infatti nei processi in cui avviene una variazione di massa si osserva una corrispondente variazione di un'altra forma di energia; queste due variazioni sono legate dalla relazione di equivalenza di Einstein, tra massa ed energia: E = m c² dove c è la velocità della luce nel vuoto, m la massa, E l'energia.


Fonti di energia

Nell'antichità e per lungo tempo gli uomini ebbero a disposizione soltanto la propria potenza muscolare (ricordiamo il lavoro fornito dagli schiavi), pari a 0,05-0,07 kW, quella di alcuni animali (il cui esteso sfruttamento, nel campo del lavoro, iniziò nel X sec. d.C.), quella del vento e delle acque fluenti. Il legno fu per millenni l'unica fonte di energia termica: nei paesi sottosviluppati, la maggior parte dell'energia utilizzata proviene da queste fonti tradizionali. Fra il XII e il XIII sec. d.C. si diffuse in Europa lo sfruttamento dell'energia idraulica mediante ruote idrauliche che soltanto nel XIX sec. vennero sostituite dalle turbine. Intanto, a partire dal XVIII sec., era aumentata l'importanza del carbon fossile, utilizzato per produrre energia termica e meccanica (con le macchine a vapore), dapprima in Gran Bretagna, poi in Germania e negli Stati Uniti. Mentre la produzione mondiale di carbone passava da 30 milioni di t nel 1820 a 1.400 milioni di t nel 1913, con un ulteriore aumento di soli 100 milioni di t dal 1913 al 1938, si sviluppava lo sfruttamento dell'energia idraulica mediante trasformazione in energia elettrica e soprattutto lo sfruttamento del petrolio, usato dapprima per illuminazione, poi come sorgente di energia meccanica. Lo sviluppo dell'industria petrolifera è più recente: si passa da 0,8 milioni di t nel 1880 a 280 milioni di t nel 1938.

Dopo la seconda guerra mondiale vi sono state delle notevoli trasformazioni: la produzione di carbone che raggiungeva nel 1965 2.200 milioni di t, soprattutto per i grandi progressi dell'URSS (404 milioni di t) e della Cina (oltre 350 milioni di t), vent'anni dopo era aumentata di 1.000 milioni di t, sempre grazie alle grandi produzioni della Cina (ca. 810 milioni di t), degli Stati Uniti (741), dell'URSS (ca. 494). La produzione di petrolio ha registrato un aumento ancora più rapido, passando da 377 milioni di t nel 1946 a 1.504 milioni di t nel 1965, a 2.766 milioni di t nel 1986 (incrementata nel decennio successivo di oltre 200 milioni di t). Questo risultato è dovuto sia al potenziamento dei preesistenti impianti estrattivi, sia all'inizio dello sfruttamento di nuovi giacimenti (Medio Oriente, Sahara). A questo sviluppo della produzione petrolifera si aggiunge lo sfruttamento dei gas naturali e infine l'utilizzazione dell'energia nucleare. Notevoli mutamenti si sono verificati quindi nei rapporti tra le diverse forme di energia sfruttata. Nella maggior parte dei paesi l'utilizzazione diretta del carbone nelle motrici o turbine a vapore (e in parte anche l'utilizzazione del petrolio nei motori) tende a essere sostituita con l'utilizzazione di energia elettrica, prodotta per via termoelettrica. La flessibilità di impiego dell'energia elettrica, l'elevato rendimento delle grandi centrali e la possibilità di bruciare dei carboni di qualità mediocre spiegano lo sviluppo della produzione elettrica: nei paesi a elevata industrializzazione essa si raddoppia all'incirca ogni dieci anni. Le centrali termoelettriche consentono anche la valorizzazione di giacimenti di lignite, il cui modesto potere calorifico renderebbe proibitivo il trasporto. La produzione industriale di energia elettrica, che solo un secolo fa era allo stadio sperimentale, ha avuto uno sviluppo enorme. Gli Stati Uniti sono in testa, con ca. 3.268 miliardi di kWh a metà degli anni Novanta, seguiti dal Giappone (oltre 964 miliardi), dalla Russia (875,9 miliardi), dal Canada (ca. 554 miliardi), dalla Cina (ca. 928 miliardi), dalla Germania (ca. 528 miliardi), dalla Francia (ca. 475 miliardi), dall'Italia (ca. 220 miliardi). La politica energetica di uno Stato impone una scelta fra le sorgenti di energia i cui prezzi di costo siano in concorrenza: nonostante il fatto che in parecchi paesi l'estrazione del carbone è costosa a causa della limitata estensione dei giacimenti o della difficoltà di reperimento di manodopera specializzata, questo combustibile resta una delle basi fondamentali della grande industria, non solo come fonte di energia, ma anche come materia prima indispensabile per la siderurgia e l'industria chimica. È questo il motivo per cui molti paesi in via di sviluppo industriale dedicano i loro sforzi alla produzione carbonifera. Tuttavia il carbone è di impiego meno flessibile del petrolio (indispensabile nel settore dei trasporti su strada), il quale ha sostituito sempre più il carbone anche nella propulsione navale e nelle ferrovie. Il petrolio è divenuto una materia prima fondamentale dell'industria chimica. Se si eccettuano pochi paesi, la maggior parte delle potenze industriali non dispone sul proprio territorio di grandi risorse petrolifere e deve quindi ricorrere all'importazione. Analogamente, quando non è possibile incrementare in misura sufficiente la produzione carbonifera, molti paesi industriali trovano un notevole complemento energetico nella produzione idroelettrica: da questo punto di vista l'Italia, come la Svizzera e i paesi scandinavi, sono particolarmente favoriti.


Forme di energia


Energia idraulica

Inizialmente  l'uomo sfruttò l'energia delle acque (talvolta detta carbone bianco), solo per azionare direttamente le proprie macchine (molini, presse, fucine, ecc.): si trattava di ruote di legno mosse dall'acqua di una cascatella o dalla corrente di un fiume. Soltanto verso la metà del secolo scorso si affrontò il problema su una base razionale e, avvalendosi dei progressi della metallurgia, si giunse a costruire le turbine. Lo studio fu dovuto principalmente a Fourneyron, Jonval, Francis, Pelton. Il rendimento venne aumentato anche migliorando il rendimento idrodinamico del moto dell'acqua e in particolare facendola muovere entro condotte chiuse e lisce: da qui l'idea della condotta forzata, che risale al 1867, con la quale iniziò la produzione di energia elettrica. Il potenziale teorico dell'energia idraulica può essere valutato sulla base delle precipitazioni annue in una determinata regione e dalla sua quota sul livello del mare. L'energia idraulica fornisce il 23% dell'energia elettrica prodotta nel mondo. Sono state costruite sia grandi centrali della potenza di 1 GWe, sia piccole centrali utilizzate in particolare per alimentare di energia elettrica le zone rurali. Si stima che nel 2028, circa l'80% delle risorse sfruttabili di energia idraulica sarà utilizzato. I vantaggi di questi impianti sono dati dalla loro lunga durata e dai bassi costi di esercizio. Le centrali idroelettriche costituiscono inoltre un mezzo efficiente di accumulo dell'energia che si può ottenere anche mediante il pompaggio dell'acqua nei bacini. La tecnologia dei generatori idraulici ha raggiunto elevati livelli mentre non si sono registrati particolari sviluppi nei valori dell'efficienza di conversione delle turbine. Sostanziali miglioramenti nello sfruttamento dell'energia idraulica sono previsti soprattutto in Asia e Africa. Il potenziale idraulico teorico delle diverse regioni del mondo, quello tecnicamente ed economicamente utilizzabile, quello già utilizzato e in via di sfruttamento, e il potenziale che si ritiene verrà utilizzato nel medio termine, sono indicati nella tabella. Una forma particolare di energia idraulica è costituita dallo sfruttamento delle acque derivanti dallo scioglimento dei ghiacciai. Questo potenziale idraulico è preso in considerazione principalmente con riferimento alla Groenlandia dove si stima che nel periodo estivo vi sia una potenzialità di circa 10¹¹ kWh.

Energia dalle maree o energia mareomotrice (talvolta chiamata carbone azzurro).

Le  masse d'acqua sollevate dalle maree costituiscono una sorgente di energia che si è tentato di utilizzare. In qualche caso particolare, dove la marea si insinua in un passaggio stretto, si può pensare a sbarrare il passaggio per lasciare entrare la marea montante e far passare l'acqua attraverso le turbine quando essa discende. La possibilità di utilizzare questa forma di energia è limitata alle regioni costiere con sufficiente escursione da marea e con appropriato litorale, ed è stimata essere dell'ordine di 3 TW con riferimento a 30 località (600×109 kWh/anno). Il primo impianto fu quello francese dell'estuario della Rance.

Energia dalle onde

Si  stima che l'energia contenuta nel moto ondoso delle acque degli oceani, dei mari e dei laghi, sia dell'ordine dello 0,1% della totale energia eolica, il che significa 2 TW circa. Il potenziale dell'energia ricavabile dalle onde è stimabile assumendo per i dispositivi di conversione un'efficienza dell'ordine del 10÷20%. L'energia ricavabile dalle onde è stimata in funzione dell'altezza delle onde e dalla frequenza con cui sono presenti durante l'anno. La zona più favorevole a questo riguardo è l'Oceano Atlantico dove si hanno onde di altezza superiore a 5 m più di 500÷600 h/anno. I dispositivi allo studio per lo sfruttamento di questo tipo di energia sono divisibili in due categorie: dispositivi che sfruttano l'energia potenziale delle onde derivante dalle variazioni, in altezza, del profilo superficiale dell'acqua o derivante dal gradiente di pressione sotto la superficie; dispositivi che sfruttano l'energia cinetica dell'acqua in relazione al suo moto longitudinale o orbitale. Questi dispositivi sono utilizzabili per comprimere aria o gas, per azionare turbine, oppure per azionare un cilindro che a sua volta aziona pompe o motori che convertono il moto traslazionale in moto rotatorio.

Energia dai gradienti termici marini

L'assorbimento  dell'energia solare nelle acque degli oceani e dei mari causa un gradiente di temperatura tra la superficie e gli strati d'acqua sottostanti. Tali differenze di temperatura, anche se piccole, possono essere impiegate per alimentare un ciclo termodinamico per produrre energia meccanica o elettrica. L'utilizzazione di tale tipo di energia è limitata praticamente solo alla zona equatoriale dove esistono i maggiori gradienti termici, ed è comunque solo a livello di studio.

Energia eolica (talvolta chiamata carbone incolore).

L'energia  eolica, dovuta al vento, è molto difficile da utilizzare in impianti di notevoli dimensioni, a causa della sua irregolarità. È molto noto invece l'uso del vento per azionare molini (molini a vento), pompe o piccoli alternatori per località isolate.

La totale energia cinetica annua contenuta nei flussi d'aria dell'atmosfera è stimata in 3×10¹5 kWh pari a circa lo 0,2% della radiazione solare che arriva sulla terra. Il potenziale dell'energia eolica tecnicamente sfruttabile è stimato in 3×10¹³ kWh/anno. Vi è una grande varietà di dispositivi per lo sfruttamento di questo tipo di energia che però possono essere ricondotti a due categorie: rotori ad asse orizzontale, con asse parallelo o trasversale alla direzione del vento (es. Dutch Windmill); rotori ad asse verticale (es. Savonius Darrieus). Uno svantaggio dei sistemi ad asse orizzontale è costituito dal fatto di dover richiedere un dispositivo per orientare l'asse in funzione della direzione del vento. I rotori ad asse verticale, invece, funzionano indipendentemente dalla direzione del vento. Questi dispositivi forniscono energia meccanica con una efficienza massima dell'ordine del 40%. In connessione con un generatore elettrico possono produrre poi energia elettrica. Tali dispositivi vengono utilizzati specialmente in zone rurali per il pompaggio dell'acqua o a scopi agroindustriali. Stanno crescendo di importanza anche le grandi centrali eoliche della potenza di qualche MW.

Energia geotermica (talvolta chiamata carbone rosso).

energia termica accumulata nel sottosuolo, che si manifesta mediante eruzioni, quasi sempre non controllabili e quindi non utilizzabili.

La totale energia termica immagazzinata nella crosta terrestre è stimata in circa 10³s J, cioè migliaia di volte superiore a ogni possibile domanda di energia dell'umanità (domanda che è nell'ordine dei 10²s J). Tale calore è utilizzabile in presenza di condizioni geologiche e geotermiche favorevoli, ma ancora oggi la potenza termoelettrica, alimentata con vapore geotermico, è nell'ordine di poche migliaia di MW, a cui vanno aggiunti circa 10.000 MW di origine geotermica utilizzati per riscaldamento e usi industriali. A seconda delle caratteristiche del calore geotermico, del mezzo in cui tale calore è immagazzinato e delle tecniche possibili di estrazione di tale calore, si distinguono quattro tipi di giacimenti geotermici:

1. I giacimenti idrotermici a dominante vapore: sono i più adatti per la produzione di energia elettrica ma sono anche i più rari. Sono noti sei campi di questo tipo: due in Italia (Larderello 400 MW; monte Amiata 22 MW), due negli USA (Geyers 670 MW e Nuovo Messico) e due in Giappone (22 MW).

2. I giacimenti idrotermici a dominante liquido: sono più frequenti dei precedenti e possono essere a loro volta "a alta entalpia" o "a bassa entalpia". I primi si hanno quando dell'acqua fluisce in una cavità con elevata permeabilità, trasferendovi il calore ricevuto da una soprastante sorgente di calore formato da intrusione magnetica. In tal caso possono essere ottenute temperature di 300 sC alla profondità di 2.000 m. I principali giacimenti di questo tipo utilizzati per la produzione di energia elettrica sono in Nuova Zelanda (200 MW), in Messico (150 MW) e negli USA. I giacimenti a bassa entalpia (temperatura inferiore ai 100 °C) sono utilizzabili per usi termici come il riscaldamento. Giacimenti di questo tipo si trovano in Toscana, in Ungheria, nella zona di Parigi. Lo sfruttamento dei giacimenti a componente prevalentemente liquida pone in generale dei problemi a causa dell'alta percentuale di sostanze corrosive e incrostanti presenti nel fluido geotermico.

3. Giacimenti petrotermici: condizione necessaria per lo sfruttamento del calore geotermico su larga scala è quella di utilizzare il calore dei complessi di rocce secche e impermeabili. Ma poiché la conducibilità termica delle rocce è molto bassa, occorre far sì che si realizzi un'estesa superficie di contatto tra le rocce calde e un fluido termovettore. Si pensa di poter creare tali condizioni frantumando le rocce per via idraulica. Un primo impianto pilota della potenzialità di qualche MW è in funzione.

4. I giacimenti geopressurizzati: si trovano negli strati sedimentari dove si è formata una saldatura efficace di scisti. In tali condizioni, l'acqua è condotta dal materiale scistoso verso le masse sabbiose adiacenti, subendo una compressione superiore alla pressione idrostatica. La pressione dell'acqua geopressurizzata è vicina in certi casi alla pressione litostatica. Questo sistema è caratterizzato spesso da temperature superiori al normale che possono raggiungere i 230 sC in certi giacimenti sulla costa del golfo del Messico. Altrove le acque e la salamoia geopressurizzate contengono metano disciolto, in molti casi al punto di saturazione.

Gli impianti geotermoelettrici hanno un'efficienza più bassa di quella teorica (che è del 10% per una temperatura della sorgente di 100 sC e del 30% per una temperatura di 350 sC). Il consumo di vapore dipende dalla pressione e dalla temperatura del vapore geotermico oltre che dal tipo di turbogeneratore usato.

Per vapore a 200-250 sC il consumo di vapore varia tra 8 e 20 kg per kWh. Un pozzo può produrre fino a 300 t/h di vapore: ma è l'eccezione. In media la produzione di un pozzo è di circa 30 t/h. l costi di produzione di energia geotermoelettrica sono dovuti essenzialmente a quelli di perforazione e di costruzione dell'impianto.

Energia solare (talvolta chiamata carbone d'oro).

L'energia  solare è la fonte rinnovabile di energia più abbondante. La radiazione solare che giunge annualmente sulla superficie esterna dell'atmosfera è di circa 1,5×10¹8 kWht. In conseguenza dei processi di riflessione e di assorbimento dell'atmosfera, l'intensità della radiazione solare sulla terra è in media di circa 1 kW/m². L'intensità della radiazione solare varia ampiamente per le diverse regioni del globo e in relazione alle diverse condizioni meteorologiche.

L'utilizzazione dell'energia solare è ridotta dalla sua limitata concentrazione e dalle variazioni diurne e stagionali. I metodi di sfruttamento possibili allo stato attuale della tecnologia sono: la conversione in calore con eventuale ulteriore trasformazione in energia cinetica, elettrica o chimica; la conversione diretta in energia elettrica; la conversione diretta in energia chimica. La conversione dell'energia solare in calore può avvenire mediante il sistema a pannelli piani (calore a bassa temperatura) o mediante sistemi a concentrazione (calore a media-alta temperatura). L'efficienza della conversione in calore della radiazione solare è limitata da alcuni fattori quali: la riflessione della radiazione solare sulla superficie del collettore; le perdite di calore per conversione e conduzione dal collettore; l'irraggiamento di calore dal collettore. Nei collettori, superfici selettive consentono un elevato assorbimento di radiazioni nel campo delle radiazioni visibili (1) e una bassa emissione di radiazioni nel campo dell'infrarosso (2). Negli attuali collettori si possono ottenere valori di 1/2 di 10÷15. I collettori piani sono costituiti essenzialmente da: una superficie assorbente (alto 1 e basso 2); un coperchio trasparente (basso 2); un isolamento termico sul retro; elementi per il trasferimento del fluido. Operano in un campo di temperatura tra i 40 e i 100 sC e hanno un'efficienza di conversione di circa il 70%. Vi sono vari tipi di sistemi concentratori (lineari, parabolici, sferici) e possono avere fattori di concentrazione da 2 a 1.000. La torre solare è un caso particolare di sistema a concentrazione utilizzata per produrre energia elettrica. In questo schema la radiazione solare è captata da specchi piani mobili (eliostati) e viene focalizzata in un punto in cui è localizzata la caldaia solare. La temperatura di funzionamento della turbina, che è basata sul ciclo Bryton, è di circa 550 sC. La potenza elettrica in uscita può variare tra 10 e 100 MW. La superficie degli specchi necessaria per 20 MWe di potenza è di circa 60.000 m². La conversione diretta della radiazione solare in energia elettrica avviene per mezzo dell'effetto fotovoltaico. Per realizzare questo tipo di conversione, sono stati studiati vari dispositivi.

Attualmente celle al silicio (monocristallino o policristallino) e film sottile di CdS-Cu2S sono disponibili per generatori dell'ordine di qualche kW. L'efficienza di conversione di queste celle varia tra l'8 e il 15%. Le celle all'arseniuro di gallio, unitamente a sistemi di concentrazione, possono raggiungere efficienze del 25%. I generatori fotovoltaici, per potenze fino a 1 kW, possono essere utilizzati per i sistemi di comunicazione, di illuminazione e di pompaggio dell'acqua; per potenze fino ai 100 kW, come centrali elettriche per villaggi isolati e a scopo agroindustriale di piccola scala.

Energia elettrica

L'elettricità  costituisce una delle principali forme di sfruttamento dell'energia, per trasformazione da altre forme reperibili in natura: meccanica (delle acque cadenti), chimica, termica o nucleare, grazie alla sua facilità d'impiego (può essere distribuita capillarmente) e alla molteplicità dei suoi impieghi (può essere facilmente trasformata in calore o in lavoro meccanico o chimico). La trasformazione dell'energia elettrica in altre forme è divenuta il tipo più diffuso di consumo, consentendo praticamente di attuare tutti i principali processi industriali. Il trasporto dell'energia elettrica con linee ad alta e altissima tensione è molto vantaggioso per l'elevatissimo rendimento; rendimento molto elevato, notevolmente superiore a quello di qualsiasi altro motore primo, hanno pure i motori elettrici. Inoltre molte delle conquiste sia tecnologiche, sia nella trasmissione di informazioni (radio, televisione, telefono, ecc.) sono realizzabili solo grazie all'energia elettrica.

L'energia di caduta delle acque e quella termica del carbon fossile o di combustibili gassosi o liquidi viene sempre più ampiamente trasformata in energia elettrica, la quale consente anche lo sfruttamento di fonti di energia povere o difficilmente utilizzabili altrimenti (lignite, torba, polveri di carbone, gas di recupero, energia eolica, delle maree o di acque fluenti). Infine la produzione di energia elettrica rappresenta, per ora, mediante le centrali termonucleari, la più importante forma di sfruttamento dell'energia nucleare. La principale difficoltà nell'utilizzazione dell'energia elettrica è costituita dall'impossibilità pratica di accumularne quantità tali da poter essere utilizzate; l'accumulo può essere effettuato solo sotto forma diversa, cioè alla fonte primaria d'energia (acque dei grandi bacini idroelettrici, combustibile delle centrali termoelettriche).

L'energia idrica ha origine indirettamente dal calore solare, che provoca la circolazione delle acque mediante l'evaporazione e rende così disponibili grandi masse di acqua, che possono venire imbrigliate, in montagna, mediante dighe o traverse ed essere convogliate nelle condotte forzate: l'energia sviluppata nella caduta (detta talvolta carbone bianco) viene convertita dalla turbina in lavoro meccanico che aziona il generatore elettrico. Il dislivello esistente fra le montagne e il mare consente generalmente di sfruttare più volte l'acqua con salti successivi, creando dei sistemi idroelettrici con le centrali in serie, di cui la val Formazza costituisce un esempio tipico. Più ci si allontana dalle sorgenti e meno alte sono mediamente le cadute; è possibile, però, costruire sbarramenti e centrali lungo il corso dei fiumi in quanto, in tal caso, si può disporre di portate maggiori grazie all'apporto degli affluenti. Per un migliore sfruttamento del patrimonio idrico si fanno condotte entro le montagne, che trasportano le acque da una vallata a un'altra; altro metodo è quello di costruire canali che raccolgano gli apporti di tutti i corsi d'acqua in un raggio di diversi chilometri. Questi impianti complessi e di grande potenza cominciarono a sorgere all'inizio del secolo con l'affermazione dell'alternatore e del trasformatore, grazie ai quali divenne possibile produrre corrente alternata e innalzarne la tensione in modo da poter trasportare l'energia con elevato rendimento, attraverso lunghe linee, dalle zone di montagna fino ai lontani centri di produzione in pianura. Il primo impianto moderno di trasporto dell'energia elettrica fu quello di Lauffen (sul Neckar), col quale si trasportavano circa 100 kW fino a Francoforte, a 140 km di distanza.

Il problema dell'immagazzinamento dell'energia idrica venne risolto creando i grandi impianti a serbatoio (bacini idroelettrici) nei quali le acque si accumulano nei periodi di abbondanza per essere sfruttate nei periodi di magra. Non è però possibile far questo con gli impianti ad acqua fluente (cioè quelli costruiti sui fiumi), nei quali l'acqua non sfruttata al momento è perduta: quando la richiesta di energia è minima, si può evitare questa perdita facendo funzionare ugualmente le centrali e utilizzandone l'energia per alimentare le centrali di pompaggio, che sollevano l'acqua da un serbatoio basso a uno posto più in alto.

L'altra importante sorgente di energia elettrica è costituita dai combustibili solidi, liquidi o gassosi estratti dal sottosuolo, che alimentano le centrali termoelettriche: in tal caso l'accumulo di energia è rappresentato dal deposito del combustibile che può essere effettuato sul luogo stesso dell'estrazione se la centrale è nelle vicinanze. La tendenza è però quella di installare la centrale più vicina ai centri di consumo, rinunciando a lunghe linee elettriche ad altissima tensione ed effettuando il trasporto del combustibile; molto spesso si scelgono luoghi in riva al mare per la convenienza dei noli marittimi.

Un'altra forma di energia termica che ha assunto un'importanza sempre maggiore è quella di origine nucleare: essa non solo consente l'esercizio in vicinanza dei luoghi di consumo, ma non pone neppure il problema dei trasporti, poiché la quantità di combustibile è minima rispetto all'energia che se ne può ricavare.

Energia chimica

Le  reazioni chimiche sono accompagnate da assorbimento o emissione di energia sotto varie forme che, per la legge di conservazione, sono associate a variazioni di un'altra forma di energia del sistema chimico considerato (detta energia chimica) dipendente dalla struttura molecolare dei composti che interagiscono e in particolare dell'energia di legame del sistema che si considera. L'energia chimica è una delle più importanti fonti di energia, infatti gran parte dell'energia termica utilizzata per la produzione di altre forme di energia è dovuta alla trasformazione dell'energia chimica dei combustibili in calore durante la combustione.

Energia nucleare

L'energia liberata da un nucleo durante le reazioni nucleari o i decadimenti radioattivi, detta spesso impropriamente energia atomica, è imputabile a un aumento dell'energia di legame del nucleo che corrisponde a una diminuzione apprezzabile della sua massa; questa variazione di massa è accompagnata, per l'equivalenza tra massa ed energia, dall'emissione di energia prevalentemente termica. L'energia nucleare praticamente utilizzabile deriva da reazioni di fissione di nuclei pesanti, come l'uranio 235 o il plutonio, o di fusione di atomi leggeri come l'idrogeno, il deuterio e il trizio; quest'ultima forma di energia, detta più propriamente energia termonucleare, è attualmente utilizzabile solo in forma esplosiva (bomba H o termonucleare).

La produzione di energia elettrica per via nucleare è estremamente più vantaggiosa di quella ottenuta per via tradizionale. Basta pensare che una tonnellata di uranio fornisce una potenza maggiore di quella fornita da circa 650.000 t di olio combustibile. Un tale più elevato rendimento, unitamente, fra l'altro, a una drastica riduzione dell'inquinamento atmosferico rispetto a quello prodotto dalle centrali tradizionali, spiega gli sforzi (in risorse umane e capitali) tesi, in ogni paese del mondo, a fare dell'energia nucleare la fonte primaria per la produzione di energia elettrica.

I campi di applicazione dell'energia nucleare sono la produzione di energia elettrica e la propulsione navale. L'uranio è un elemento relativamente abbondante nei minerali del globo, per cui l'uomo dispone ora di imponenti risorse di energia anche se non inesauribili. Gli Stati Uniti dispongono di numerose centrali elettronucleari, ma l'abbondanza di sorgenti di energia tradizionali non pone in questo paese, in forma preminente, il problema dal punto di vista economico. Il problema, invece, si pone per altri stati, come la Francia e soprattutto la Gran Bretagna, dove gli impianti nucleari sono ormai numerosi e tali da avere un certo peso sulla totale produzione di energia del paese. L'Italia si trova in condizioni particolari rispetto al problema dell'energia nucleare; fu infatti tra i primi paesi al mondo a impegnarsi nel settore, cioè dal 1957, anno in cui trattò l'acquisto di centrali elettronucleari dalla Gran Bretagna e dagli Stati Uniti, fino al 1964, anno dell'entrata in funzione delle tre centrali (di Latina, Garigliano e Trino Vercellese) per una potenza complessiva di 607 MW. L'interesse dell'Italia per il problema fu dettato dall'aver raggiunto in quegli anni quasi la completa utilizzazione delle risorse idriche e da una naturale povertà di combustibili. Tuttavia dopo il 1964 un solo altro reattore, in grado di fornire una potenza di circa 176 MW, è stato progettato. Le forti opposizioni di larghi schieramenti dell'opinione pubblica (sempre più sensibilizzata sui rischi di fughe radioattive come quella di Cernobyl del 1986), concretizzatesi anche nel risultato largamente positivo di tre referendum abrogativi in materia di centrali nucleari (novembre 1987), hanno sospeso tutte le iniziative esistenti in materia.

Si spera tuttavia che in futuro si possa utilizzare l'energia sviluppata dalla fusione realizzata con elementi semplici e praticamente inesauribili, come l'idrogeno.

Trasporto dell'energia

Qualsiasi  trasporto di energia implica delle perdite, che possono variare a seconda del sistema fisico impiegato: ad es. il vapore non consente praticamente di effettuare trasporto perché anche su distanze limitate dà luogo a perdite di calore inammissibili nonostante i sistemi di isolamento termico. Più conveniente è il trasporto di combustibili solidi, liquidi o gassosi, anche se il costo rimane abbastanza elevato.

In genere il trasporto dell'energia sotto forma elettrica rimane il metodo più conveniente, specialmente con l'impiego delle tensioni più elevate che riducono le perdite in linea. Per questo motivo il trasporto a lunga distanza viene effettuato con tensioni di 160, 220 e 380 kV impiegate nella rete primaria; da questa si passa alla rete secondaria alimentata a 40, 60 e 80 kV, che termina poi con la distribuzione, nella quale la tensione viene ulteriormente ridotta a qualche chilovolt per poi essere portata ai valori normali di impiego (220 e 380 V) nelle cabine di distribuzione.

I compiti degli addetti agli impianti sono principalmente due, di previsione (ripartizione del carico) e di esecuzione e controllo (esercizio). L'esercizio dei mezzi di produzione esige la conoscenza anticipata della domanda e delle possibilità di produzione dell'insieme degli impianti. Le previsioni abbracciano periodi lunghi o brevi, fino ad arrivare a una valutazione giornaliera basata sia sui dati relativi agli anni trascorsi, sia sull'andamento dei giorni precedenti. Se la domanda prevista è superiore alle possibilità di produzione degli impianti con servizio di base (cioè che producono con continuità), vengono posti in funzione gli impianti per servizio di punta (ad es. gli impianti idroelettrici a serbatoio, le cui acque conviene conservare per quanto è possibile). La programmazione in questo senso viene effettuata da ripartitori centrali del traffico, che controllano a distanza una zona molto vasta, dando tutte le disposizioni necessarie per adeguare la produzione alla richiesta istantanea. Essi si valgono tra l'altro degli elaboratori elettronici, che raccolgono tutti i dati e inviano gli ordini alle centrali in modo da ottenere il risultato voluto con il massimo rendimento globale della rete, valutazione questa che gli operatori manuali difficilmente riescono a compiere in maniera completa. Per quanto concerne invece la "qualità" dell'energia prodotta, la società di esercizio deve cercare di mantenere la tensione erogata quanto più è possibile costante e con frequenza fissa a 50 Hz. Per quest'ultimo scopo esistono nella rete degli impianti di regolazione dotati di dispositivi di grande precisione per il controllo della velocità degli alternatori e di potenza tale da riuscire a imporre la loro frequenza a tutti gli altri impianti collegati alla rete. I collegamenti fra i diversi centri operativi e quelli con il ripartitore centrale del traffico sono assicurati mediante una vasta rete di telecomunicazioni e mediante i servizi telefonico, di telecomando, di telecontrollo e di telesegnalazione: con questi mezzi il ripartitore riceve istante per istante tutte le informazioni relative alla situazione in ogni punto della rete e quindi, dalla conoscenza dei dati relativi agli impianti (potenza dei gruppi, curve di rendimento alle varie potenze, invaso utilizzabile nei bacini, capacità di carico delle linee, situazioni di emergenza, ecc.), costruisce il quadro delle disposizioni necessarie per lo svolgimento centralizzato del controllo della rete. Si possono così anche valutare le esigenze di scambi di energia fra regioni aventi regimi idrici diversi, come accade fra le zone alpine e quelle appenniniche. Si ha in tal modo una rete primaria di interconnessione fra regioni o addirittura sul piano europeo (l'Italia scambia energia con l'Austria, la Svizzera e la Francia).

La crisi energetica e i suoi sbocchi

Nella  seconda metà del 1973 si scatenò quel fenomeno complesso che oggi viene definito "crisi energetica". I paesi arabi, fornitori di petrolio a basso prezzo, e altri paesi produttori-esportatori cominciarono una politica di aumento dei prezzi; contemporaneamente emersero cifre più o meno attendibili sulla consistenza delle riserve di petrolio e di carbon fossile esistenti nel mondo, che ne facevano prevedere l'esaurimento a tempi brevi, ossia entro mezzo secolo o addirittura meno. L'impennata dei prezzi del greggio, che, accompagnata da manovre speculative, fiscali e d'altro genere, doveva in pochi anni far aumentare di cinque-sette volte il prezzo dei derivati del petrolio, provocò una serie di reazioni. Nuove campagne di prospezione del petrolio portarono al reperimento di nuovi grandi giacimenti nell'estremo Nord (Siberia, Alasca), nel mare del Nord e in altre zone. Un "censimento" delle riserve di carbone e di gas naturale permise di concludere che tali riserve, anche con un forte ritmo di aumento della domanda di energia (raddoppio in 10 anni della richiesta di energia elettrica, raddoppio in 15 anni della domanda globale), sarebbero state sufficienti, anche senza usare il petrolio, per oltre un secolo. Tornarono d'attualità le tecniche per l'ottenimento di benzina e idrocarburi leggeri dal carbone, lasciate in secondo piano dopo la fine della seconda guerra mondiale, ma di pratico utilizzo e di possibile competitività economica. La tecnica nucleare e i relativi programmi vennero incrementati; il reattore autofertilizzante venne portato avanti e diventò una realtà tra il 1984 e il 1985. Vennero sviluppate le tecniche per l'utilizzo del calore prima dissipato (teleriscaldamento e tecniche simili); nuovi regolamenti prescrissero coibentazioni termiche nelle abitazioni; la massima cura venne riservata alle "fonti alternative" (solari, idroelettriche, geotermiche, eoliche, ecc.). Studi più accurati hanno permesso di concludere che il raddoppio della domanda idroelettrica avviene piuttosto in 15 che in 10 anni, e quella globale in 20 piuttosto che in 15. Praticamente tutte le nuove centrali termiche sono state costruite per utilizzare carbone e non nafta. Il quadro si è assestato progressivamente nel giro di 7-8 anni, tanto che il 1984 e più ancora il 1985 hanno visto in piena crisi i paesi esportatori di petrolio, che il mercato richiede ormai in misura decrescente rispetto ai livelli del 1970-1972. Il mercato dei combustibili si è assestato su accresciute riserve di petrolio, carbone e gas naturale (metano), su un utilizzo sempre più oculato (ossia con minori sprechi) dell'energia e su un utilizzo pur lentamente crescente dell'energia nucleare, essendo ormai, con l'avvento del reattore autofertilizzante, le riserve di combustibile nucleare sufficienti, esse sole, al fabbisogno di energia del mondo per un paio di secoli. Sugli accertamenti quantitativi di petrolio, gas naturale e carbone, le cifre disponibili sono parziali e di non facile interpretazione. Più chiare e attendibili appaiono le cifre relative alla produzione di energia e ai consumi, che salgono con ritmi non così rapidi come quelli ipotizzati prima della "crisi energetica", ma sempre notevoli. Nel corso degli anni Novanta si sono fatte più insistenti le voci degli scienziati che prevedono imminente una nuova crisi del petrolio: secondo le analisi addotte a sostegno, l'offerta di petrolio convenzionale già entro il 2005 non sarà in grado di tenere il passo con la crescita della domanda. Quali che siano le riserve effettive di petrolio, quello che conta sul piano economico è la loro recuperabilità: nel momento in cui, per le difficoltà crescenti di estrazione, la produzione dovesse ridursi, i prezzi saranno destinati ad aumentare, a meno che il calo della produzione non sia accompagnato da un corrispondente calo dei consumi.

Crescita della popolazione, dei consumi energetici e consistenza delle riserve

Le  cifre relative alle riserve energetiche accertate e previste sono da prendere sempre con molta cautela: gli interessi in gioco sono molti, da un lato, e dall'altro i singoli stati e le compagnie petrolifere non applicano esattamente gli stessi criteri nelle valutazioni, per cui è sempre difficile fornire dati omogenei. Agli inizi del 1994, comunque, le riserve accertate di petrolio risultavano di 137 miliardi di t, a fronte di una produzione di oltre 3100 milioni di t nel corso del 1993: con una produzione costante, le riserve accertate facevano prevedere una durata di 43 anni (43 è il cosiddetto rapporto fra riserva e produzione, che è ottimistico perché si basa su una produzione stabile, anziché in crescita tendenziale).

Per quanto riguarda il gas naturale, si stimavano riserve nell'ordine dei 130 miliardi di tep (tonnellate equivalenti di petrolio). Con una produzione di circa 1900 milioni di tep nel 1993, il rapporto fra riserva e produzione era calcolato in 69.

Le riserve accertate di carbone risultavano pari a 1040 miliardi di tep circa; a fronte di una produzione di 2140 milioni di tep circa nel 1993, il rapporto fra riserva e produzione risultava pari a 485.

Quanto incerti (e facilmente manipolabili) siano dati di questo tipo, lo dimostrano i rapporti ufficiali dell'industria petrolifera, che agli inizi del 1998 davano le riserve accertate di petrolio a un livello tale da garantire ancora più di 43 anni di produzione abbondante e a buon mercato. Le obiezioni mosse in genere alle valutazioni più ottimistiche sono di ordine economico: le stime danno per scontato che la produzione possa rimanere costante, mentre in realtà per ogni giacimento la produzione raggiunge un punto di massimo fino a che non è estratta la metà della riserva e poi comincia inevitabilmente a calare per tendere verso lo zero. Estrarre da un giacimento l'ultimo barile di petrolio è molto più difficile e costo che non estrarre il primo.

Sulla base dei consumi alla metà degli anni Novanta, i combustibili fossili forniscono il 90% del fabbisogno di energia (il solo petrolio rappresenta il 40%), mentre solo il 10% è fornito dalle altre fonti (nucleare, idroelettrica, geotermoelettrica, fonti integrative). Il predominio delle fonti non rinnovabili è quindi nettissimo. D'altro canto, la domanda globale è in crescita, ma in modo non uniforme sul pianeta: i paesi più avanzati (compresi i paesi dell'ex URSS e dell'Europa orientale), con una popolazione pari al 30% del totale, consumano circal'85% di tutta l'energia. I paesi in via di sviluppo, con il 70% della popolazione globale e un consumo attuale pari al 15% del globale, sono quelli in cui la domanda è meno comprimibile e d'altra parte proprio quelli in cui la crescita demografica è più alta e quindi più alta è la prevedibile crescita della domanda. Oltre a evidenziare drammaticamente le differenze fra paesi sviluppati e in via di sviluppo, se abbinati a previsioni di aumenti dei prezzi a tempi relativamente brevi, questi dati non indicano certo prospettive di stabilità economica e politica.

I correttivi possibili sul breve periodo stanno nella conservazione delle risorse non rinnovabili, ottenuta con una migliore efficienza di tutti i processi industriali e di tutti i consumi, mentre sul lungo periodo la soluzione potrà essere soltanto un impiego sempre più esteso, fino a diventare predominante, di fonti di energia rinnovabile, con un possibile contributo tecnologico nella fase di transizione, che consenta un migliore sfruttamento di riserve di fonti non rinnovabili che oggi non possono essere recuperate con costi accettabili.

La distribuzione delle riserve

La  distribuzione delle riserve di combustibili ufficialmente accertate alla metà degli anni Novanta presenta notevoli irregolarità per il petrolio, il cui 66% si trova in Medio Oriente, il 15% nelle Americhe e solo il 5,9% nell'Europa Orientale; il 38% del gas naturale si trova in Europa Orientale, il 30% in Medio Oriente e il 7% nell'America Settentrionale; il carbone è distribuito per il 27,6% in Europa Orientale, il 26,2% nell'America Settentrionale e il 18,9% in Cina; per l'uranio si ha la maggiore distribuzione nell'America Settentrionale (37%) e nell'Europa Orientale (27%). In tutti questi rilievi statistici, come si vede, poco si parla delle fonti alternative "rinnovabili", in particolare dell'energia solare: ne vedremo i motivi di base, che sono tecnici ed economici.

L'impatto con l'ambiente

Nei  fumi che derivano dall'utilizzo dei combustibili chimici si ritrovano sempre composti inquinanti, quantitativamente preponderanti anidride solforosa (SO2) e ossido di carbonio (CO). La prima, a contatto con l'umidità atmosferica, si trasforma in acido solforico e dà luogo alle "piogge acide", dannose per i coltivi e tali da esercitare un energico attacco chimico a monumenti, rivestimenti, strutture metalliche e altro. Il secondo è tossico per uomini e animali.

Un secondo elemento inquinante è costituito da polveri, la cui natura dipende da quella dei combustibili, e un terzo dal calore, che, se immesso in un corso d'acqua da una grande centrale, un'acciaieria o altro, può recare seri squilibri ecologici. Il fattore decisamente più pesante è costituito dalle sostanze inquinanti gassose, che la legislazione affronta in base a due "filosofie" diverse. In base alla prima, i fumi vengono controllati all'emissione, e viene prescritto un contenuto massimo di sostanze inquinanti che non deve esser superato (USA, CSI, Giappone e altri). In base alla seconda intrinsecamente meno efficace, viene controllata la concentrazione delle sostanze inquinanti al suolo, in un'area circostante la centrale o l'impianto ove avviene la combustione (Italia, Francia, Gran Bretagna). La prima impostazione punta sul filtraggio dei fumi e quindi sulla limitazione drastica, alla fonte delle sostanze inquinanti, delle quali solamente un modesto residuo passa nell'atmosfera. La seconda si basa sulla "dispersione", mediante camini molto alti, delle sostanze inquinanti, che non debbono raggiungere "al suolo" una concentrazione superiore a quanto stabilito. Evidentemente tale "filosofia" non è più congruente con i tempi e con le quantità sempre maggiori di combustibili bruciati. Quanto al fattore termico, una centrale da 1.000 megawatt (MW) immette ogni anno nell'ambiente circa 8.500 petacalorie (si calcoli che 1 petacaloria vale 1.000.000.000.000.000 di calorie).

Le fonti rinnovabili

Rilevanti  quantitativi di energia idroelettrica "potenzialmente disponibili" potranno esser captati, pur rimanendo, come abbiamo detto, in percentuale sui fabbisogni globali, entro limiti nettamente inferiori al 10%. L'Europa occidentale, nel suo complesso, utilizza il 57,5% delle sue risorse potenziali, il Nord America il 36,3%, l'America latina e l'Europa Orientale solamente l'8%. Le risorse potenziali, e cioè teoricamente utilizzabili, sono ampiamente distribuite. Espresse in terawattora all'anno, sono 2.300 per l'Europa Orientale, 1.390 per il Nord America, 1.320 per la Cina, 1.730 per l'Africa (intero continente), 1.720 per l'America latina, 1.800 per l'Asia. Il progressivo, e programmato, sfruttamento di tali potenzialità richiederà in ogni caso opere civili imponenti (dighe, sbarramenti, condotte, chiuse, ecc.) e, corrispondentemente, enormi risorse di uomini, mezzi e capitali, e tempi lunghi, valutabili, per ciascuna grande opera, dai cinque ai quindici anni.

Per quanto riguarda l'energia solare, il suo utilizzo è condizionato da troppi fattori perché se ne possa prevedere un grande contributo al soddisfacimento del crescente fabbisogno mondiale. Una centrale solare a specchi o a celle fotovoltaiche, della potenza installata di 1 MW (elettrico) massimo, occupa una superficie di 40.000 m², 100 volte di più di una centrale termica di pari potenza. Un impianto termoelettrico può essere mediamente utilizzato per 6.000 ore l'anno, mentre un impianto solare è utilizzabile per 1.500 ore l'anno. Una proiezione che tiene conto dei costi decrescenti delle celle fotovoltaiche prevede un costo di produzione del kWh elettrico 50 volte superiore a quello di un kWh nucleare. Non è configurabile, in conclusione, una soluzione solare "alternativa" a quella termica convenzionale o nucleare per quanto concerne le centrali elettriche o i grandi impianti che richiedono molto calore. È configurabile un utilizzo "capillare" dell'energia solare mediante pannelli a riscaldamento d'acqua o mediante pannelli di celle fotovoltaiche, per uso domestico e industriale, per ricavarne acqua calda e contribuire al riscaldamento dei locali. Le cifre prevedibili di energia solare utilizzate nel futuro saranno, di conseguenza, come visto, percentualmente modeste, anche se certo non trascurabili.

Per ciò che riguarda l'energia eolica, i dispositivi a rotore che la utilizzano consentono di generare energia elettrica a costi di un certo interesse solo nelle zone ove si ha un vento regolare, a una velocità di almeno 3,5 m al secondo per 2.000 ore l'anno. In Italia tali condizioni si verificano solo sulle isole e in qualche località alpina. I generatori eolici (aeromotori) presentano dimensioni massime del rotore (diametro) di 140 m ca., peso 600 t, potenza 7 MW. Specialmente in zone ventose isolate, collegati a batterie di accumulatori, possono risultare pratici ed economici. Le loro caratteristiche non li pongono però se non in posizione marginale tra gli utilizzatori delle fonti rinnovabili di energia.

Tendenze in diversi paesi nella produzione di energia elettrica

Quanto  a utilizzo percentuale delle varie fonti energetiche disponibili, gli orientamenti dei diversi paesi sono decisamente differenziati. Il piano francese prevedeva uno sviluppo del nucleare fino al 70% circa, la riduzione del petrolio, del gas e del carbone a un totale del 20% circa, lasciando il resto alle fonti idrauliche e solari, ma la decisione della Germania di mantenere il carbone al 50%, di ridurre petrolio più gas al 10%, ma soprattutto di abbandonare il nucleare per il 2000, probabilmente comporterà dei cambiamenti anche nei programmi francesi. La Gran Bretagna prevede 55-60% di carbone, 10% tra petrolio e gas, 20% nucleare, 1-2% per le altre fonti sommate. Come si vede, indirizzi molto differenziati, quali si ritrovano anche nei piani di altri paesi.

Da rilevare l'abbandono dell'Italia del nucleare a cui si unisce anche la prevista rinuncia per il 2025 della Svizzera.

Scarica gratis Energia
Appunti su:



Scarica 100% gratis e , tesine, riassunti



Registrati ora

Password dimenticata?
  • Appunti superiori
  • In questa sezione troverai sunti esame, dispense, appunti universitari, esercitazioni e tesi, suddivisi per le principali facoltà.
  • Università
  • Appunti, dispense, esercitazioni, riassunti direttamente dalla tua aula Universitaria
  • all'Informatica
  • Introduzione all'Informatica, Information and Comunication Tecnology, componenti del computer, software, hardware ...

Appunti Chimica Chimica
Tesine Biologia Biologia
Lezioni Geografia Geografia