Appunti per Scuola e Università
humanisticheUmanistiche
Appunti e tesine di tutte le materie per gli studenti delle scuole medie riguardanti le materie umanistiche: dall'italiano alla storia riguardanti le materie umanistiche: dall'italiano alla storia 
sceintificheScientifiche
Appunti, analisi, compresione per le scuole medie suddivisi per materie scientifiche, per ognuna troverai appunti, dispense, esercitazioni, tesi e riassunti in download.
tecnicheTecniche
Gli appunti, le tesine e riassunti di tecnica amministrativa, ingegneria tecnico, costruzione. Tutti gli appunti di AppuntiMania.com gratis!
Appunti
scientifiche
Astronomia cosmologiaChimicaEconomiaEducazione fisicaFisica
MatematicaStatistica


AppuntiMania.com » Scientifiche » Appunti di Fisica » Fisica: con Planck crollano le certezze della fisica classica

Fisica: con Planck crollano le certezze della fisica classica




Visite: 1797Gradito:apreciate 4-stela [ Picolo appunti ]
Leggi anche appunti:

L'esperimento di Michelson e Morley


L'esperimento di Michelson e Morley   Il più famoso esperimento atto

Dipolo elettrico


Dipolo elettrico Con il termine dipolo si indica genericamente una coppia

Condensatori


Condensatori   Un condensatore è un sistema semplice composto da due
immagine di categoria

Scarica gratis Fisica: con Planck crollano le certezze della fisica classica

Fisica: con Planck crollano le certezze della fisica classica


Fra le varie novità vi è la nascita della fisica quantistica: essa nasce dall'osservazione di bagliori all'interno di una fornace. Fisici e studiosi cercano di riprodurre lo stesso effetto in un corpo nero, ovvero un corpo con una estremità da cui entra un fascio di luce che, entrando, si riflette sulle pareti al suo interno fino ad essere completamente assorbita. In seguito all'osservazione si è studiata la relazione che intercorre fra la temperatura, l'intensità del fascio di luce e la frequenza. Studiando i grafici dei sistemi ottenuti a varie temperature si è notato che:

quando la temperatura T=3000 K, l'energia emessa dal corpo ha bassa intensità. Il corpo assume un colore rosso



quando la temperatura T=6000 K, l'energia emessa dal corpo aumenta di intensità ed assume un colore giallo o arancio ( motivo per cui il colore del sole è giallo )

Se invece la temperatura raggiunge i 12000 K, l'energia emanata aumenta sempre più rispetto ai precedenti casi: il corpo apparirà verde

Da ciò i fisici dedussero che la dispersione di energia da parte di un corpo è legata alla temperatura. Più essa è elevata, maggiore sarà l'energia prodotta. Le due osservazioni principali furono dunque l'irraggiamento maggiore di energia all'aumentare della temperatura e l'introduzione del concetto di legge dello spostamento, che studia l'aumento graduale della frequenza.

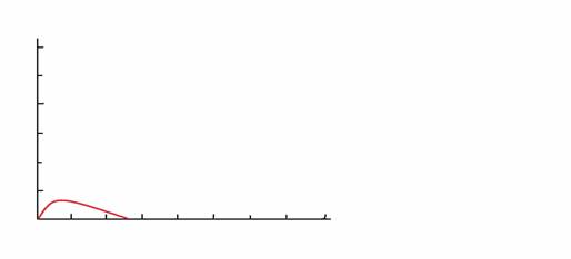
Secondo oggetto di studi fu il movimento ondulatorio: in contrasto con le teorie della fisica classica che ipotizzavano una curva che tendesse all'infinito  ( teoria smentita poichè, se cosi fosse stato, si sarebbe andati incontro ad una catastrofe ultravioletta ), un fisico quantico di nome Max Planck ipotizzò una formula matematica legata alla teoria secondo cui l'energia è quantizzata.



Max spiega che la luce viaggia in piccoli 'pacchetti' energetici chiamati 'quanti'. L'energia racchiusa all'interno di essi è pari al prodotto della frequenza e della costante di Planck

E= h*f*n

dove h è la costante di Planck pari a 6,63*10^(-34) j*s, ed 'n' è il numero quantico. L'energia trovata è utile per effettuare il salto quantico.

La funzione del numero quantico varia a seconda del sistema preso in esame: se si stratta di un sistema macroscopico i numeri quantici hanno grandezza tale che ad ogni salto quantico la differenza è minima e trascurabile; se invece si tratta di un sistema atomico la differenza dopo un salto quantico è significativa trattandosi di numeri quantici molto piccoli.

Secondo gli studi effettuati da Planck, se la frequenza è maggiore, anche l'energia (E) aumenta. Ma essa non è infinita, infatti, quando termina, si nota che la curva del grafico tende nuovamente a 0.

Un altro studioso che si interessò alla fisica quantistica fu Einstein. Egli studiò e approfondì l'effetto fotoelettrico, contrastando nuovamente quelli che erano i capisaldi della fisica classica: secondo il fisico, i fasci di luce viaggiano in pacchetti energetici chiamati fotoni che obbediscono alle leggi di Planck. L'energia al loro interno era quindi pari ad E=hf. Ogni fotone trasporta energia hf. Quando intensifichiamo il fascio di luce emesso, i fotoni vengono 'impacchettati' in maniera più compatta cosi che, in un dato momento, il numero di fotoni che scontra la superficie di assorbimento sia maggiore.

L'effetto fotoelettrico studia il processo secondo cui un fascio di luce che entra in un emettitore collegato ad una lastra metallica, espelle gli elettroni al suo interno: i fotoni di un fascio di luce entrano nell'emettitore di un meccanismo collegato ad un collettore all'interno del quale si trovano degli elettroni. L'ingresso di fotoni genera corrente elettrica calcolabile con un amperometro posto nel circuito. Il momento in cui gli elettroni vengono espulsi è detto lavoro di estrazione (W) che indica anche la quantità di energia minima necessaria affinchè sia portato a termine il lavoro.

Quando l'energia del raggio di luce supera l'energia del lavoro di estrazione si genera energia cinetica (K): da cui

K= E-Wo


Rispetto alla fisica classica che spiegava come un raggio di luce di qualsiasi frequenza potesse espellere elettroni, la fisica quantistica mostra come, affinchè gli elettroni escano dalla barra metallica, l'energia debba essere superiore alla soglia di frequenza. Inoltre, mentre con la fisica classica si credeva che l'energia cinetica (K) aumenta quando è maggiore l'intensità, al contrario, la fisica quantistica dimostra che l'energia cinetica (K) aumenta se è maggiore la frequenza poichè l'energia è data dal rapporto h*f.

Analizziamo ora quelle che sono le caratteristiche di un fotone, che si differenzia dalle normali particelle studiate dalla fisica classica.

Se le particella fino ad allora analizzate presentavano una massa e una velocità specifiche, le particelle atomiche presentano caratteristiche ben differenti.

Prima caratteristica è la velocità pari a quella della luce:

v = c

Da ciò si deduce che è impossibile fermare un fotone e che quindi la sua massa a riposo è nulla. L'energia totale è calcolabile in riferimento ad un'equazione matematica

E*√[1-(v2/ c2)] = m0c

Avendo posto in precedenza che m = 0, il secondo membro dell'equazione è 0.

La quantità di moto di una particella è finita, anche se non ha massa. Essa è calcolabile con la seguente equazione:

p*√[1-(v2/ c2)] = m0v

Dividiamo l'ultima equazione per la prima e otteniamo che

p/E = v/ c2

Sostituiamo sapendo che

v = c da cui p = E/c

E = h*f   da cui p = (h*f)/c

f = h/λ    da cui p = h/ λ



Scarica gratis Fisica: con Planck crollano le certezze della fisica classica
Appunti su: secondo la fisica classica C3A8 possibile espellere elettroni con la luce,



Scarica 100% gratis e , tesine, riassunti



Registrati ora

Password dimenticata?
  • Appunti superiori
  • In questa sezione troverai sunti esame, dispense, appunti universitari, esercitazioni e tesi, suddivisi per le principali facoltà.
  • Università
  • Appunti, dispense, esercitazioni, riassunti direttamente dalla tua aula Universitaria
  • all'Informatica
  • Introduzione all'Informatica, Information and Comunication Tecnology, componenti del computer, software, hardware ...

Appunti Biologia Biologia
Tesine Geografia Geografia
Lezioni Chimica Chimica