Appunti per Scuola e Università
humanisticheUmanistiche
Appunti e tesine di tutte le materie per gli studenti delle scuole medie riguardanti le materie umanistiche: dall'italiano alla storia riguardanti le materie umanistiche: dall'italiano alla storia 
sceintificheScientifiche
Appunti, analisi, compresione per le scuole medie suddivisi per materie scientifiche, per ognuna troverai appunti, dispense, esercitazioni, tesi e riassunti in download.
tecnicheTecniche
Gli appunti, le tesine e riassunti di tecnica amministrativa, ingegneria tecnico, costruzione. Tutti gli appunti di AppuntiMania.com gratis!
Appunti
scientifiche
Astronomia cosmologiaChimicaEconomiaEducazione fisicaFisica
MatematicaStatistica


AppuntiMania.com » Scientifiche » Appunti di Fisica » La relativitÀ ristretta

La relativitÀ ristretta




Visite: 1530Gradito:apreciate 5-stela [ Medio appunti ]
Leggi anche appunti:

"Quando il progresso beffa il suo artefice."


"Quando il progresso beffa il suo artefice."   La parola progresso sembra

La fisica nucleare


La fisica nucleare Par. 1) La radioattività Già alla fine dell'Ottocento

Henri bergson e il tempo come durata


HENRI BERGSON E IL TEMPO COME DURATA Come si è detto fra il XIX e il XX secolo
immagine di categoria

Scarica gratis La relativitÀ ristretta

LA RELATIVITÀ RISTRETTA


Il primo conflitto tra due teorie fisiche riguarda la discordanza fra le leggi newtoniane, secondo cui è possibile raggiungere la velocità di un raggio di luce, e le leggi elettromagnetiche di Maxwell, che propugnano l'impossibilità di ciò. Il conflitto fu risolto con la pubblicazione nel 1905 della Teoria dell'Invarianza da parte di un ventiseienne dipendente dell'ufficio brevetti di Berna: Albert Einstein.

In realtà il conflitto fra le teorie di Maxwell e Newton è un paradosso. Vediamo perché.

A metà ottocento il fisico scozzese James Clerk Maxwell, basandosi su vari esperimenti, scoprì una connessione fra la forza elettrica e magnetica, cioè il campo elettromagnetico. La teoria di Maxwell riuscì a dimostrare che le perturbazioni elettromagnetiche si muovevano a velocità sempre uguale, che si scoprì essere poi la velocità della luce. Da questo Maxwell dedusse che la luce non è altro che un particolare tipo di onda elettromagnetica.

Andrebbe tutto bene se non ci chiedessimo cosa succederebbe se ci mettessimo a viaggiare alla velocità della luce. Basandoci sulle leggi di Newton a proposito del moto, potremmo raggiungere una velocità tale che la luce ci sembrerebbe ferma. Questo contrasta con le leggi di Maxwell, secondo cui la luce viaggia sempre alla stessa velocità.

Einstein risolse questo paradosso formulando la già citata Teoria dell'Invarianza (a cui Planck dette il nome di Relatività Ristretta) della velocità della luce.

Fino al Novecento spazio e tempo erano considerati concetti assoluti, ed anche oggi è difficile separarci da questo "dogma" nel senso pratico. Einstein ribaltò questa concezione: lo spazio e il tempo sono percepiti in modo diverso da due osservatori in moto relativo l'uno rispetto all'altro. La conseguenza è che per Einstein due orologi perfettamente identici e funzionanti indossati da due diversi osservatori segnano l'ora in modo diverso. In generale la relatività ristretta riguarda proprio una rivoluzione nel fenomeno tempo. Il motivo per cui ancora oggi non abbiamo fatto nostra la relatività, è che le differenze tra un osservatore fermo e perfino uno sullo shuttle sono minuscole. Gli effetti sono apprezzabili man mano che ci si avvicina alla velocità della luce.

Il principio della relatività è molto semplice: prendiamo due astronauti, che per comodità chiameremo A e B. Immaginiamo che stiano fluttuando nel buio assoluto: mancando un sistema di riferimento, dal punto di vista di A, egli è perfettamente fermo. A un certo punto B, con una luce lampeggiante, gli passa accanto. Viceversa si può vedere tutto allo stesso modo dal punto di vista di B. Ognuno dei due astronauti vede l'altro in movimento. Entrambi hanno ragione. Infatti si può parlare solo di velocità relativa. Non ha senso dire che A si sta muovendo a 5 Km/h, se non specifichiamo rispetto a chi o cosa. È lo stesso effetto che abbiamo quando viaggiamo in auto lungo un viale alberato. Dal nostro punto di vista sono gli alberi a spostarsi. Dal punto di vista di un osservatore fermo, siamo noi che ci spostiamo. Naturalmente viaggiando in auto sappiamo di muoverci, come se uno dei nostri astronauti accendesse un razzo. In questo caso, si verifica un moto accelerato, cioè a velocità non costante, per cui non si considera la relatività.

Mentre non ha senso parlare della nostra velocità in senso assoluto, gli esperimenti del novecento mostrano che la luce si muove sempre alla stessa velocità: 299.792.458 m/s. (c, dal latino celeritas)

Per capire cosa significhi ciò, prendiamo un esempio di vita quotidiana: mettiamo che camminando per strada incontriate un cane feroce; appena vi vede si mette a rincorrervi per mordervi. Consideriamo che il cane si muova alla velocità costante di 10 m/s. Vi mettete a scappare, più o meno alla velocità di 7 m/s. Secondo le leggi newtoniane la velocità relativa del cane rispetto a voi e di 10-7=3 m/s. In mancanza di un rifugio il cane vi raggiungerà prima o poi, ma ciò ritarda il pericolo, aumentando le possibilità di scappare.

Abbiamo visto come le onde elettromagnetiche viaggino alla velocità della luce: ca. 300.000 Km/s. Se qualcuno vi sparasse con un raggio laser, la velocità dei fotoni sarebbe perciò quella; immaginando di poter scappare su un'astronave, che viaggia utopicamente a 1000 Km/s. Secondo le già citate leggi newtoniane, la velocità relativa dei fotoni sarebbe quindi di 299.000 Km/s. Tuttavia vari esperimenti hanno dimostrato che ciò non è valido: la luce si muove sempre a 299 792 458 m/s, sia che stiamo fermi, sia che ci spostiamo.

Einstein per la sua definizione della relatività partiva da due postulati:

  • Primo postulato (principio di relatività): tutte le leggi fisiche sono le stesse in tutti i sistemi di riferimento inerziali;
  • Secondo postulato (invarianza della luce): la velocità della luce nel vuoto ha lo stesso valore in tutti i sistemi di riferimento inerziali, indipendentemente dalla velocità dell'osservatore o dalla velocità della sorgente di luce.

Il primo postulato è un'estensione di quello di Galilei. Il secondo è quello che abbiamo appena visto.

Oltre all'invarianza della luce, la relatività porta anche un'altra conseguenza: per un osservatore in moto relativo rispetto ad un altro il tempo passa in modo più lento. Per spiegare ciò, Einstein aggiunse la dimensione temporale alle 3 dimensioni già usate nello spazio, costruendo lo spaziotempo. La costruzione dello spaziotempo permise ad Einstein di formulare anche un'altra idea: gli oggetti in moto sono sempre in moto nello spaziotempo con una velocità fissa, quella della luce. A prima vista, dopo quanto abbiamo detto, sembra un paradosso. Tuttavia qui parliamo di una velocità in quattro dimensioni, non più le tre spaziali. Un oggetto fermo usa tutta la sua velocità per muoversi nella dimensione temporale. Un oggetto in quiete rispetto a noi si muove nel tempo, cioè invecchia alla stessa velocità. Se l'oggetto rispetto a noi si muovesse, si sposterebbe nelle tre dimensioni spaziali, rubando un po' di moto al tempo, cioè invecchierebbe più lentamente. A tal punto si deve parlare di una velocità spaziale limite, quando tutta la velocità dello spaziotempo è usata nella componente spaziale. Un tale oggetto usa tutta la sua velocità spaziotemporale, pari a quella della luce, con la conseguenza che questo diventa un limite invalicabile. La luce perciò non ha età, perché non ha velocità temporale: alla velocità della luce il tempo non passa!


Le equazioni della Relatività Ristretta (o Trasformazioni TL)

Tali nuovi effetti dipendono da un termine β definito come β2 = v2 / c2 (dove v è la velocità del corpo e c è la velocità della luce). Tale termine diventa trascurabile per velocità non confrontabili con quelle della luce;

Viene anche definito per comodità il termine

al limite di piccole velocità, le TL si riducono alle trasformazioni di Galileo, spiegando perché negli esperimenti di meccanica classica non si possano misurare differenze.

Come diretta conseguenza, le TL portano a due importanti modifiche, poiché introducono il concetto di relatività in grandezze normalmente considerate assolute:


Contrazione delle lunghezze

La lunghezza L di un corpo in movimento non è invariante, ma subisce una contrazione nella direzione del moto, data dalla formula

La lunghezza massima del corpo L0 è misurata nel sistema in cui il corpo è in quiete e viene chiamata lunghezza propria.


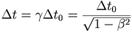
Dilatazione dei tempi

L'intervallo di tempo Δt tra due eventi non è invariante, ma subisce una dilatazione se misurato da un orologio in moto rispetto agli eventi. Tale dilatazione è data dalla formula

La durata minima dell'intervallo di tempo è misurata da un orologio solidale con gli eventi; tale intervallo Δt0 viene chiamato tempo proprio.


Si noti come in entrambi i casi le formule si riducano all'uguaglianza per velocità piccole rispetto a c. Questo limite, chiamato limite classico, può essere concettualmente ottenuto sia per v piccolo che per c→∞; infatti, una velocità infinita della luce significa poter stabilire una simultaneità assoluta e quindi un ritorno alla visione classica. Il limite classico è una condizione necessaria della teoria, poiché per piccoli valori di β gli effetti relativistici non devono essere misurabili, per rendere conto dell'ottimo accordo sperimentale della visione classica. In questo senso, la teoria einsteiniana è una generalizzazione alle alte velocità della fisica di Newton.

Confrontando le due formule, si nota che 'dove lo spazio si contrae, il tempo si dilata; e, viceversa, dove il tempo si dilata, lo spazio si contrae', come affermava Einstein. La relazione diventa più evidente se si risolvono le due equazioni rispetto a γ, da cui si ottiene:

Δt / Δt0 = L0 / L

Alle alte velocità (v sempre più prossimo alla velocità della luce c), la contrazione spaziale si annulla, mentre i tempi si dilatano all'infinito. Ciò equivale ad affermare che alla velocità della luce il tempo non passa.

La dilatazione del tempo in particolare impone la velocità della luce come limite massimo raggiungibile (discutendo il denominatore diverso da zero).

Velocità superiori a quelle della luce porterebbero all'ulteriore problema di un radicando negativo.


Un grande della fisica

James Clerk Maxwell (1831-1879) è stato un fisico scozzese. Elaborò la prima teoria moderna dell'elettromagnetismo, unificando le scoperte su tale branca di Gauss, Ampére e Faraday, rimanendo tuttavia legato ad una concezione di campo elettromagnetico la cui propagazione avviene attraverso un mezzo etereo. Le "equazioni di Maxwell" rappresentano il punto più alto raggiunto dalla fisica classica. Da questi studi, egli scoprì l'esistenza delle onde elettromagnetiche, di cui calcolò una velocità molto vicina a quella della luce, supponendone una natura simile.

Un'altra grande intuizione di Maxwell è la cosiddetta "teoria cinetica dei gas", la quale sostiene che il numero di molecole che ci sono in un gas a una certa temperatura, si muovono a una certa velocità. Questo approccio gli permise di generalizzare le leggi della termodinamica precedentemente stabilite e spiegò ancora meglio le osservazioni sperimentali. Questo lavoro lo portò a condurre il famoso esperimento del diavoletto di Maxwell.

Nel 1861, Maxwell scattò la prima fotografia a colori, sovrapponendo filtri rossi, verdi e blu.

Inoltre Maxwell è anche noto per i suoi lavori effettuati nel campo della meccanica sui criteri di resistenza; in particolare, nel 1856 propose il cosiddetto criterio della massima energia di distorsione.

Maxwell giustifica la conoscibilità della natura e il successo della scienza, cioè la capacità dell'uomo di elaborare una scienza che sappia predicare alcune verità sulla natura, attraverso un atto di fede. Infatti Maxwell sosteneva che Colui che ha creato mente umana e natura, le ha create in corrispondenza.





Scarica gratis La relativitÀ ristretta
Appunti su:



Scarica 100% gratis e , tesine, riassunti



Registrati ora

Password dimenticata?
  • Appunti superiori
  • In questa sezione troverai sunti esame, dispense, appunti universitari, esercitazioni e tesi, suddivisi per le principali facoltà.
  • Università
  • Appunti, dispense, esercitazioni, riassunti direttamente dalla tua aula Universitaria
  • all'Informatica
  • Introduzione all'Informatica, Information and Comunication Tecnology, componenti del computer, software, hardware ...

Appunti Biologia Biologia
Tesine Chimica Chimica
Lezioni Geografia Geografia