![]() |
|
| Appunti scientifiche |
|
| Visite: 1537 | Gradito: |
Leggi anche appunti:Fotoni e onde luminoseFOTONI E ONDE LUMINOSE Come può la luce avere natura sia particellare sia Trasduttori ottico-elettrici: l'iconoscopioTrasduttori ottico-elettrici: l'iconoscopio Un trasduttore ottico-elettrico Mars ExplorationsMars Explorations Marte, il Pianeta Rosso. Quarto pianeta del |
![]() |
![]() |
Prestazioni
Schema del simulatore
Continuando nella nostra analisi dei PLL digitali, passeremo ora valutarne le prestazione che è possibile ottenere esaminando il caso di un sistema di comunicazione semplificato. Lo schema di principio cui facciamo riferimento è riportato in figura 1. L'intero simulatore è stato sviluppato in laboratorio in linguaggio C/C++.

Figura 1 Diagramma a blocchi di un PLL in presenza di rumore AWGN
Per le nostre simulazioni abbiamo trasmesso un segnale di prova del tipo:
![]()
realizzato
campionando a intervalli di
, dove
è il rapporto di
sovracampionamento della simulazione, rispetto al tempo di campionamento dei
PLL,

Alla
seri
è stato poi aggiunto
un processo gaussiano
campionato a frequenza
, che in pratica è stato realizzato tramite le sue componenti
i fase e in quadratura
,
, anch'esse gaussiane, con
![]()
in
accordo con il teorema del campionamento. Dopo di che il segnale ottenuto è
stato filtrato da un filtro a radice di coseno rialzato con roll-off
. Il filtro è stato implementato prendendo in considerazione
2DT campioni della sua risposta impulsiva, presi a intervalli
. Il risultato della convoluzione tra il filtro e il segnale
in ingresso, considerato in parte reale e parte immaginaria, è decimato alla
frequenza 1/T.
La sequenza di campioni così ottenuta viene, quindi, elaborata dai PLL digitali esaminati in precedenza.
Acquisizione
Come
abbiamo visto i PLL sono stati progettati a partire da un PLL analogico del
secondo ordine, quindi è lecito aspettarsi che siano in grado di acquisire un
gradino di frequenza, cioè un segnale con fase
(ovvero una rampa in
termini di fase del segnale).
Ammettiamo per ora che il PLL abbia raggiunto una situazione d'equilibrio, in questo caso possiamo usare la forma linearizzata. Prendiamo, quindi, in considerazioni l'equazioni del PLL realizzato con il metodo di Eulero
.
Se
il PLL è a regime vale
, quindi
.
Quindi
il PLL non è polarizzato, inoltre, sostituendo
nella prima equazione
risulta:
![]()
Se consideriamo, invece, l'equazioni del PLL ottenuto con il metodo di Runge-Kutta

quando
, si vede che anche questo PLL è uno stimatore non
polarizzato, ed inoltre otteniamo
.
Quando, invece, vogliamo interessarci al processo che conduce all'acquisizione, non sussiste più la condizione di linearità. Quindi per comprendere meglio questo fenomeno è conveniente introdurre il concetto di piano delle fasi.
Nel
piano delle fasi, figura 2, costruito tramite la simulazione del PLL, ogni
punto è associato ad una coppia di variabili di stato,
. Il grafico di una
sola soluzione al variare di n è
chiamato traiettoria.
La traiettoria mostra la dinamica del PLL e come avviene l'aggancio, o il mancato aggancio, ad un punto di equilibrio.

Figura 2 Piano delle fasi per un PLL
realizzato con il metodo di Runge-Kutta con T=0.01 s e
=1 Hz
La
zona interna alla linea continua nera è la zona
d'aggancio del PLL. Il punto di partenza di ogni traiettoria è
rappresentato dalla coppia
, parametri del segnale in ingresso. Dato che la
caratteristica del rivelatore di fase moltiplicativo è periodica di periodo
, lo sarà anche il piano delle fasi che, infatti è stato
rappresentato tra
e
. Ogni traiettoria che parte da un punto interno alla zona
d'aggancio (curve blu), finisce nel punto di equilibrio rappresentato
dall'origine degli assi. Se, al contrario, una traiettoria parte al di fuori
della zona d'aggancio (questo è il caso della curva rossa che nasce fuori dalla
regione delimitata dalla linea nera continua), terminerà in un punto
d'equilibrio del tipo
, con
; in questo caso si dice che si è verificato un cycle slip. Sempre a causa della
periodicità del rivelatore di fase, è possibile rappresentare queste
traiettorie nel singolo intervallo tra
e
, infatti la curva rossa, invece, di continuare nel settore a
destra di
, è riportata e fatta ripartire da tra
.
I punti che stanno sulla linea nera continua, invece, danno origine a traiettorie che terminano in punti di equilibrio instabile, per questo questa curva è chiamata separatrice.
Una
caratteristica importante che si può leggere direttamente dal piano delle fasi
è la frequenza di pull-out normalizzata,
cioè il massimo gradino di frequenza,
, che può essere acquisito senza che si verifichi un cycle
slip. Il valore di
si trova
all'intersezione tra l'asse verticale e la separatrice.
In
figura 3, infine è riportata la zona d'aggancio per tutti e due i tipi di PLL.
Per piccoli valori di
, si nota un comportamento praticamente identico tra i due
PLL. Inoltre la frequenza di pull-out è assolutamente compatibile con quella del
sistema analogico data da [1]:
.
Con
l'aumentare di
, la zona d'aggancio si riduce notevolmente in entrambi i PLL,
anche se il PLL realizzato con il metodo di Eulero è decisamente più sensibile
alle variazioni di
.

Figura
3 Zona
d'aggancio per PLL realizzato con il metodo di Eulero e Runge-Kutta, con
(curve nere),
(curve rosse).
Tempo d'acquisizione
Un problema interessante è se può esistere una relazione
tra la banda equivalente di rumore e il tempo d'acquisizione di un PLL. La
risposta non è semplice in quanto il tempo di acquisizione non è una quantità
fissa che possa essere calcolata come funzione dei parametri di sistemi
(diversamente da
). In realtà, il tempo d'acquisizione dipende fortemente dal
livello di rumore e dall'errore di fase iniziale. Nonostante questo, nel caso
ideale in cui non sia presente rumore, e sotto l'ipotesi che l'errore iniziale
sia tale che si possa applicare il modello di PLL lineare, possiamo definire il
tempo d'acquisizione,
, come il tempo che impiega l'errore di fase per arrivare al
5% del suo valore iniziale, come si può vedere da figura

Figura
4 Tempo
d'acquisizione
e
Ovviamente questa definizione è del tutto empirica, ma è utile per definire una regola pratica, [1], per la quale vale :

In figura 5 sono presentati i risultati della simulazione
effettuata sui PLL digitali ottenuti con il metodo di Runge-Kutta e con il
metodo di Eulero. Si può notare come, anche in questo caso, il PLL di
Runge-Kutta abbia un comportamento simile al PLL analogico per un range di
valori di
superiore a quello del
PLL ottenuto tramite Eulero.

Figura
5 Tempo
d'acquisizione in funzione di
, T 0.01 s.
Jitter di fase
Nel
capitolo precedente abbiamo descritto due diversi modi per stimare la fase di
un segnale. A questo punto si presenta la necessità di stabilire l'accuratezza
di tali metodi di stima. In altre parole quantificare la bontà della stima è un
obbiettivo molto importante in quanto permette di confrontare le prestazioni
ottenibili con PLL esaminati. Gli strumenti per realizzare tali tipi di misure
possono essere ricercati nella teoria della decisione e della stima, e tra
questi il più importante è sicuramente il limite di Cramer-Rao modificato,
.
Il
stabilisce un limite
inferiore (un lower bound) alla
varianza dell'errore di stima di ogni stimatore non polarizzato (ovvero
definisce una soglia al di sotto della quale nessun stimatore) può andare, cioè
vale la relazione
![]()
Il
, nel caso in cui il segnale sia in banda base, è dato da [4]
.
Nel
nostro caso il segnale è dato da
, quindi
![]()
per cui, considerando che l'energia del segnale vale
![]()
si ottiene [4]
![]()
Nelle
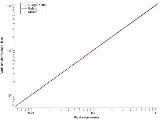
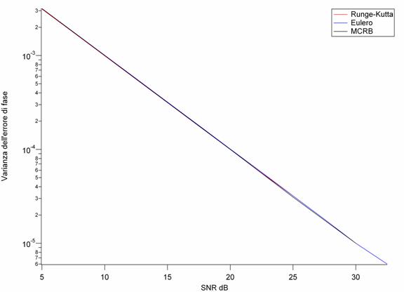
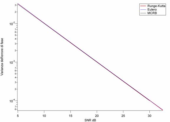
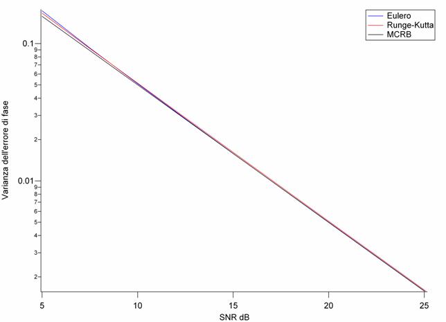
figure 6, 7, 8, 9 sono mostrati i risultati delle simulazioni effettuate sui 2
PLL digitali. Nel primo grafico è riportato l'andamento della varianza
dell'errore di fase,
, in funzione di
, con SNR = 20 dB. Negli altri grafici, invece,
è stata rappresentata
in funzione del rapporto segnale-rumore, per valori costanti di
uguali a 0.01, 0.1, e
0.5.

Figura
6 Andamento di
in funzione di
con SNR=20 dB

Figura
7 Andamento di
in funzione di SNR con

Figura
8 Andamento di
in funzione di SNR con

Figura
9 Andamento di
in funzione di SNR con
Come si vede la varianza della stima coincide perfettamente con il limite di Cramer-Rao nel range di valori che assicurano la stabilità numerica dei 2 metodi.
![]() |
| Appunti su: |
|
| Appunti Geografia | ![]() |
| Tesine Chimica | ![]() |
| Lezioni Biologia | ![]() |