![]() |
|
| Appunti scientifiche |
|
| Visite: 2024 | Gradito: |
Leggi anche appunti:Un nuovo approccio al problema : giovanni gUN NUOVO APPROCCIO al problema : Giovanni G. Saccheri I tentativi di dimostrare Spiegazione dei collegamenti e introduzione ai tre argomentiSpiegazione dei collegamenti e introduzione ai tre argomenti GrafiGrafi Un grafo è costituito da una coppia G = <V, E> dove V è un insieme |
![]() |
![]() |
APPUNTI FONDAMENTALI DI ANALISI I
CONCETTO DI INSIEME: Un'insieme è un gruppo di elementi che soddisfano una determinata proprietà P.
A= A=
OPERAZIONI CON GLI INSIEMI: Dati A= e B=
A B =
A B =
A - B = AB =
A B =
PROPRIETÀ DEGLI INSIEMI:
a) indempotenza: A A = A; A A = A
b) commutativa: A B = B A; A B = B A
d) associativa: A (B C) = (A B) C; A (B C) = (A B) C
e) distributiva: A (B C) = (A B) (A C); A (B C) = (A B) (A C)
e) assorbimento: A (A B) = A; A (A B) = A
f) leggi di De Morgan: C - (A B) = (C - A) (C - B); C - (A B) = (C - A) (C - B)
PARTI DEGLI INSIEMI DI A:
P(A)= insieme delle parti
n.sottoinsiemi di A: |A| = n (per A finito) ottengo che |P(A)| = 2 n
PRODOTTO CARTESIANO:
X x Y =
(x, y) vengono chiamate coppie ordinate
Il concetto di funzione e le nozioni di funzione iniettiva, surgettiva, biiettiva e invertibile
CONCETTO DI FUNZIONE: funzione f: una legge che associa ad ogni elemento di X uno ed un solo elemento di Y
f: X Y oppure X (f) Y
PROPRIETÀ ELEMENTARI DELLE FUNZIONI:
a) surgettiva: Se ogni elemento di B è immagine di qualche elemento di A. (|A| |B|)
b I B, a I A | f(a) = b
b) iniettiva: Se elementi distinti di A hanno per immagine elementi distinti di B. (|A| |B|)
f(a1)=f(a2) T a1=a2
c) bigettiva: Quando è sia iniettiva sia surgettiva; in questo caso f è una bigezione. (|A| = |B|)
d) funzione identica: Quella funzione che ad ogni elemento di A associa se stesso e si indica con I(oppure i).
I: x x ; x I X
e) applicazione inversa: Se f: A B è una bigezione esiste, univocamente determinata, un'applicazione g: B A tale che g ¤ f = Ia e f ¤ g = Ib. Tale applicazione si dice l'inversa di f e si indica con f -1.
f) funzione crescente: f è crescente strettamente in A, o soltanto crescente, se e solo se
x1 , x2 I A | x1 < x2 f(x1) < f(x2)
g) funzione decrescente: f è decrescente strettamente in A, o soltanto decrescente, se e solo se
x1 , x2 I A | x1 < x2 f(x1) > f(x2)
h) funzione non-decrescente: x1 , x2 I A | x1 < x2 f(x1) f(x2)
i) funzione non-crescente: x1, x2 I A | x1 < x2 f(x1) f(x2)
j) funzione monotona: Quando una funzione è crescente, decrescente, non-decrescente o non-crescente.
k) funzione pari: f(x) = f(-x) ottengo una funzione simmetrica rispetto all'asse Y.
l) funzione dispari: f(x) = -f(-x) ottengo una funzione simmetrica rispetto all'origine O.
SIMBOLOGIA DEI CONNETTIVI:
congiunzione "e" &,
congiunzione "o" V ("vel" latino)
se.allora T
se e solo se
negazione
TABELLA DI LOGICA:
|
P |
Q |
P&Q |
PVQ |
P T Q |
P Q | |
|
V |
V |
V |
V |
V |
V | |
|
V |
F |
F |
V |
F |
F | |
|
F |
V |
F |
V |
V |
F | |
|
F |
F |
F |
F |
V |
V |
REGOLE DEDOTTE:
P T Q Q T P
(P V Q) P & Q
(P & Q) P V Q
I PREDICATI:
Si può chiamare predicato P(x) una proprietà riguardante una o più variabili che utilizzano relazioni binarie (es. x<y) o unarie (x>8) espresse con relazioni insiemistiche [=,I,Ì,Í,È,Ê] o con relazioni numeriche [=,<, ,>,
REGOLE PER COSTRUIRE NUOVI PREDICATI:
la possibilità di sostituire un numero con una variabile o viceversa, in modo da passare da predicati unari a predicati binari.
utilizzare i connettivi logici (&,V,T,Û,Ø) per legare due o più connettivi logici.
l'applicazione dei quantificatori
quantificatore universale: , "per ogni"
quantificatore esistenziale: , "esiste" ( ! , "esiste un unico")
negazione di un proposizione: Ø A(x) = Ø P(x) e negare i quantificatori [
Numeri naturali, interi, razionali e reali; irrazionalità della radice di 2 (*)
N = numeri naturali non posso considerare numeri negativi
Z = numeri interi non posso dividere un elemento in parti uguali
Q = } numeri razionali (ratio = rapporto) ma 2 è un numero non razionale
R = numeri reali da ciò posso dedurre che N Z Q R
Dimostrazione dell'irrazionalità di
Si può dimostrare che 2 è un numero irrazionale procedendo per assurdo.
Poniamo I Q , quindi 2 è scrivibile come
2 = p/q , per avere una soluzione razionale elevo al quadrato
2² = p²/q² 2q² = p² , a questo punto posso notare che p è un numero pari e q deve essere un numero dispari
p = 2k p² = 4k² , da ciò sostituisco nell'equazione precedente e ottengo
4k² = 2q² 2k² = q² , a questo punto noto che anche q è un numero pari e quindi arrivo ad una contraddizione
Per assurdo è stato dimostrato quindi che Q
Assiomi dei reali
(i) Una operazione "+" detta somma.
(ii) Una operazione "." detta prodotto.
(iii) Una relazione binaria " " detta relazione d'ordine.
Proprietà della Somma:
S1= proprietà commutativa: x, y I R ; x + y = y + x
S2= proprietà associativa: x, y, z I R ; (x + y) + z = x + (y + z)
S3= esistenza dell'elemento neutro: e I R, x I R ; x + e = x (e = 09
S4= esistenza dell'elemento inverso: x I R, $ y I R ; x + y = 0 ("y = -x" ed è chiamato opposto di X)
Proprietà del Prodotto:
P1= proprietà commutativa: x, y I R ; x . y = y . x
P3= esistenza dell'elemento neutro: e I R, x I R ; x . e = x (e = 1)
P4= esistenza dell'elemento inverso: x I R-, y I R ; x . y = 1
("y = 1/x" ed è chiamato inverso di x)
Proprietà derivate dalla somma e dal prodotto
PS= proprietà distributiva: x, y, z I R ; x . (y . z) = (x . y) . z
OSSERVAZIONE: Un qualunque insieme F che soddisfa le proprietà (S), (P) e (PS) si dice campo; dunque i reali sono un campo, ma non sono l'unico; per esempio anche i razionali formano un campo.
Proprietà dell'ordinamento:
O1= proprietà transitiva: x, y, z I R ; x y & y z T x z
O2= proprietà tricotomica: x, y I R ; x y & y x T x = y
O3= proprietà di ordinamento totale: x, y I R ; x y V y x
Proprietà derivate dal campo e dall'ordinamento:
OS= monotonia della somma: x, y, z I R ; x y x + z y + z
OP= monotonia del prodotto: x, y, z I R ; x y x . z y . z
ASSIOMA DI COMPLETEZZA:
Comunque dati due sottoinsieme di R, A e B, soddisfacenti la seguente proprietà:
x I A, y I B, x < y
esiste un elemento separatore, ovvero un numero reale L tale che:
x I A, y I B, x L y
Legge di annullamento del prodotto: Se a . b = 0 allora a = 0 o b = 0 (0 è l'elemento assorbente del prodotto)
Sia P(n) un predicato definito su N. Supponiamo che
P(0) è vero.
Se P(n) è vero allora anche P(n+1) è vero.
Allora, per ogni n I N, P(n) è vero.
La matematica propone modelli per descrivere la realtà, ma ci sono calcoli o formule che in alcuni casi devono servirsi dei cosiddetti numeri "ideali". I numeri Ideali rappresentano un espansione degli insiemi infiniti e nel caso particolare ampliano l'insieme R all'insieme R* (numeri iperreali). I numeri ideali possono servire per descrivere esperienze come "il calcolo del segmento di parabola" o "la velocità istantanea" in un punto.
Una delle
contraddizioni a cui si giunge studiando i problemi in modo classico è il
calcolo della velocità istantanea, ovvero la velocità in un punto; poiché la
velocità e sempre definita come velocità media in un intervallo [t1,t2],
ottengo che
,quindi
per "t" (=t1=t2) non ottengo soluzioni valide, ma introducendo gli infinitesimi
e scrivendo t2 - t1 = 0 + d e t2 + t1 = 2t ottengo, sostituendo nella
formula,
V(t1,t2)=Vo - g . t - ½ . g . (d) , possiamo assumere d un numero trascurabile e quindi
la velocità istantanea è Vi = Vo - g . t
L'insieme dei numeri iperreali è un estensione dei numeri reali e contiene numeri ideali, e si indica con R*.
Gli assiomi principali sono:
i) R* è un campo ordinato;
ii) R R*
iii) esiste un numero ao I R* tale che x I R, ao > x
iv) Principio di Rappresentazione:
v) Principio di Sostituzione:
vi) Principio di Selezione:
Definizioni dei numeri:
n Illimitato (o infinito): x I R*, k I N, |x| > k
n Limitato: x I R*, k I N, |x| < k
n Infinitesimo: x I R*, k I N, |x| < 1/k
n Apprezzabile: se è limitato ma non infinitesimo, x I R*, k I N, 1/k < |x| < k
Ordine di un numero iperreale
Dato un numero iperreale limitato x I R*, esiste sempre un unico numero reale x0 infinitamente vicino ad x. L'unico numero reale x0~x si chiama parte standard di x. In simboli si scrive x=st(x
Possiamo introdurre una nuova funzione da R* (numeri iperreali illimitati) a R^ (tra - e +
tr: R* R^
detta traccia, che estende la funzione parte standard ai numeri illimitati:

Se j a y a ), allora (f·j a ·y a
Data una funzione
f: A R
si dice continua in un punto x0 I A se per ogni x I A*, si ha che
x ~ x0 x) ~ f(x0)
Sia data una funzione f: A R. Un punto x0 I A si dice punto di massimo assoluto (o semplicemente massimo) di f se
x I A : f(x0) f(x)
Il numero M = f(x0) si chiama valore massimo di f (o anche "massimo di f"). Un numero LIR^ si dice estremo superiore di f se è l'estremo superiore dell'insieme f(A)* ovvero se soddisfa le seguenti proprietà:
Analogamente si definisce il minimo e l'estremo inferiore.
Una funzione continua f : [a,b] R ha massimo e minimo (assoluti).
Sia f : [a,b] R una funzione continua che assume valore di segno opposto in a e b. Allora f ha almeno uno zero in (a,b).
Una funzione f : A R (A R) si dice uniformemente continua in A, se presi x z I A* con x z, si ha che: f(x z
Se f è una funzione continua definita in un intervallo chiuso e limitato [a,b], allora essa è uniformemente continua.
Sia data una funzione : A R; si dice che il limite di per x che tende a x0 I R^ è l I R^ se
x I A* - tr(x) = x0 T tr[ x)] = l
In simboli si scrive
![]()
Sia data una funzione :(a,b) R e si consideri un punto x0 I (a,b). Si dice che è derivabile in x0 se 'e e 0), il numero
![]()
è ben definito (cioè non è e non dipende da e
Sia data una funzione derivabile : (a,b) R.
Allora, se x0 è un punto di massimo o di minimo locale per , si ha che I(x0) = 0.
Sia data una funzione continua
: [a,b] R
derivabile in tutti i punti dell'intervallo aperto (a,b). Allora esiste almeno un punto x0 I (a,b) tale che
![]()
Sia data una funzione continua
: [a,b] R
derivabile in tutti i punti dell'intervallo aperto (a,b). Allora se
(a) = (b),
esiste almeno un punto x0 I (a,b) tale che
I(x0) = 0
Siano date due funzioni continue in [a,b] e derivabili in (a,b). Supponiamo che gI sia diversa da zero in tutto (a, b). Allora esiste un punto x0 I (a, b) tale che
![]()
Sia data una funzione derivabile definita in un intervallo. Allora se la sua derivata è nulla essa è costante.
Sia data una funzione continua : [x0, a) R, derivabile in (x0,a). Allora se
![]()
la funzione ha la derivata destra nel punto x0 ed inoltre D+ (x0) = l.
Si chiama d -integrale di una funzione : (a,b) R, il numero

Sia data una funzione continua F : [a,b] R dotata di derivata continua. Allora si ha che:
![]()



poiché
h è
infinitesimo, risulta che, ![]()
Il problema,
![]()
ha un'unica soluzione m; essa è data dalla formula
![]()
Sia : I R (ove I è un intervallo) una funzione derivabile. Allora è crescente (rispettivamente decrescente) se e soltanto se,
x I I, I(x) 0, rispettivamente x I I, I(x)
Sia : I R (ove I è un intervallo) una funzione derivabile. Allora è strettamente crescente (rispettivamente decrescente) se e soltanto se sono soddisfatte le seguenti condizioni:
(i) x I I, I(x) 0 (rispettivamente x I I, I(x)
(ii) non esiste alcun intervallo J contenuto nell'insieme critico
W =
Sia una funzione monotona crescente definita in (a,b) R. Allora
![]()
![]()
Sia data una funzione I C1(I) e sia x0 I I un punto critico isolato (cioè un punto critico che non è infinitamente vicino ad altri punti critici o singolari). Allora si ha una delle seguenti possibilità:
(i) x0 è un punto di massimo stretto.
(ii) x0 è un punto di minimo stretto.
(iii) x0 è un punto di flesso orizzontale.
Sia una funzione definita in un intervallo aperto I. Allora
Prima Regola (0/0):
Siano date due funzioni continue in [x0, b) e derivabili in (x0, b). Supponiamo che si abbia (x0) = g(x0) = 0 e che g ' assuma lo stesso segno in tutto (x, b).
Se
, allora esiste anche
il limite,
ed è 'l'.
Prima Regola (
Siano
date due funzioni continue in [x0, b) e derivabili in (x0,
b). Supponiamo che si abbia
e
e che g ' assuma lo
stesso segno in tutto (x, b).
Se
, allora esiste anche
il limite,
ed è 'l'.
Seconda Regola (0/0):
Siano
date due funzioni, e g, continue in (a, + ) ed ivi derivabili.
Supponiamo che si abbia
e che g ' assuma lo
stesso segno in tutto (a, +
Se
, allora esiste anche
il limite,
ed è 'l'.
Seconda Regola (
Siano
date due funzioni, e g, continue in (a, + ) ed ivi derivabili. Supponiamo che si abbia
e
e che g ' assuma lo
stesso segno in tutto (a,+
Se
, allora esiste anche
il limite,
ed è 'l'.
Gli asintoti di una funzione possono essere verticali, orizzontali ed obliqui; la funzione non tocca mai queste rette ma 'vi tende', in questo modo possiamo capire il comportamento della funzione in punti particolari della funzione e all'infinito.
Se
il
, in questo caso si dice che ha un asintoto verticale in x0.
Per lo studio dell'asintoto orizzontale od obliquo bisogna dare le seguenti definizioni.
Definizione 6.9.1. Sia data una funzione : I R ove I è un intervallo illimitato superiormente (risp. inferiormente). Si dice che la retta di equazione
y = ax + b
è un asintoto destro (risp. sinistro) per se
(risp.
)
Se si ha a=0, si dice che la retta y è un asintoto orizzontale, altrimenti si dice che è un asintoto obliquo.
Teorema 6.9.2. Le seguenti proposizioni valgono per un asintoto orizzontale:
i. la retta y = b è un asintoto orizzontale destro (risp. sinistro);
ii.
(risp.
).
Teorema 6.9.3. Le seguenti proposizioni valgono per un asintoto obliquo.
i. la retta y = ax + b è un asintoto obliquo destro (risp. sinistro);
ii.
e
(risp. per -
i. Determinazione del dominio 'naturale' della funzione assegnata (che in genere viene chiamato anche campo di esistenza), cioè dell'insieme 'più grande' sul quale sono definite quelle espressioni analitiche che compaiono nella funzione.
ii. Determinazione di eventuali simmetrie: si verifichi se la funzione è pari ( (-x)= (x)) o dispari ( (-x)=- (x)). In questo caso sarà sufficiente studiare la funzione per x 0 in quanto il suo comportamento per x < 0 verrà determinato dalla simmetria.
iii. Determinazione del comportamento asintotico della funzione; se il dominio D della funzione è illimitato superiormente e/o inferiormente si calcolino i limiti della nostra funzione per x . Qualora esistano, si determinino gli eventuali asintoti orizzontali e/o obliqui.
iv. Determinazione dei punti di intersezione del grafico con gli assi delle coordinate. L'intersezione con y si ottiene valutando (0), mentre con l'asse x ponendo (x)=0.
v. Determinazione dei punti singolari e loro classificazione. Per fare ciò si devono calcolare i limiti che la funzione presenta nei punti ove non è definita o è discontinua. Inoltre si calcoli ' (x), si determinino i punti ove ' non è definita o è discontinua e si calcolino i relativi limiti.
vi. Determinazione dei punti critici. Si studia l'equazione ' (x) = 0. Prima di classificare i punti critici può essere conveniente passare al punto successivo.
vii. Studio della crescenza e della decrescenza, valutando il segno che la derivata prima assume tra un punto critico (o singolare) e l'altro.
viii. Si concluda la classificazione dei punti critici sfruttando le informazioni ottenute precedentemente. A questo punto si può anche verificare l'esistenza di eventuali asintoti obliqui.
ix. Studio della derivata seconda, e determinazione dei punti di flesso e degli intervalli ove è concava ( ) o convessa (
x. Disegnare il grafico della funzione in base ai ragionamenti fatti su essa.
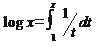
Definizione 7.1.1. Per ogni x I R+, si pone
![]()
Il numero log x si chiama logaritmo naturale (o semplicemente logaritmo) di x. La funzione x log x si chiama funzione logaritmo. Esaminiamo adesso alcune delle più importanti proprietà del logaritmo:
i. log: R+ R
ii. x, y I R+, log(xy) = log x + log y
iii. x I R+, n I Z, log xn = n log x
iv. D log x = 1/x
v. Il logaritmo è una funzione strettamente crescente e strettamente concava.
Per il teorema 6.3.2 la funzione logaritmo è una funzione invertibile. La sua funzione inversa è definita su R ed assume valori su R+; tale funzione si chiama esponenziale ed in simboli,
exp x
Di seguito sono elencate le sue proprietà:
i. exp: R R
ii. exp 0 = 1
iii. exp(x + y) = exp x * exp y
iv. exp(nx) = (exp x)n
v. D exp x = exp x
vi. exp x non ha punti singolari, è strettamente crescente e strettamente convessa.
vii. x I R, 'w I W exp x = tr (1 + x/w w
La costante di Nepero 'e'.
La Costante di Nepero 'e', insieme a p, è la costante più importante dell'Analisi Matematica; è un numero irrazionale il cui valore approssimato a meno di un centesimo è 2,71.
Si dice che la serie è regolare se il numero
![]()
non dipende dalla scelta di w I W; se S I R, si dice che la serie è convergente e il numero S si chiama somma della serie; se S = si dice che la serie è divergente. Una serie che non è regolare si dice indefinita.
Alcune Proprietà:
![]()
si dicono definitivamente uguali se differiscono solo per un numero finito di termini ovvero se esistono due numeri k0 I N e q -k0 tali che k k0, ak = bk+q.
Successione di Cauchy. Una successione a valori reali an si dice successione di Cauchy se
Per le successioni: Una successione a valori reali ak è convergente se è una successione di Cauchy.
Per le serie: Una serie ![]()
è convergente se e soltanto se
.
Teorema 8.4.1. Criterio di convergenza monotona per le successioni: Una successione monotona crescente an (cioè tale che n<m an<am) è sempre regolare (cioè è convergente o diverge a + ) e si ha
![]()
Analogamente, se an è una successione decrescente,
![]()
Definizione 8.4.2. - Si dice che la serie
converge assolutamente
se la serie
è una serie
convergente.
Teorema 8.4.3. - Una serie assolutamente convergente è convergente.
Teorema 8.4.3 - Criterio di convergenza
monotona per le serie: La serie
converge assolutamente
se e soltanto se $w I W
, se invece $w I W,
allora la serie non
converge assolutamente.
Date due serie:
(1)
(2)
Primo Criterio del Confronto: Siano assegnate due serie a termini positivi (1) e (2). Supponiamo che esista M I R,
![]()
Allora se la serie (2) converge, anche la (1) converge; se la serie (1) diverge anche la serie (2) diverge.
Secondo Criterio del Confronto: Siano assegnate le due serie a termini positivi (1) e (2). Supponiamo che
![]()
Allora la serie (2) converge se e soltanto se la (1) converge.
Si consideri la serie (1) e supponiamo che esista una funzione continua : (c, + R, che soddisfa le seguenti ipotesi:
i. è decrescente,
ii. n I N (n) = an
Allora la serie (1) converge se e soltanto se
![]()

Esempio Importantissimo
La
seguente serie
, per p=1 si chiama serie armonica. per p 1 si chiama serie
armonica generalizzata. Per p 1 la serie diverge, mentre per p>1 la serie converge.
Se
'w I W p I R
la serie converge,
se invece
la
serie diverge.
Se
'w I W,
la serie converge. Se
invece $w I W,
la serie diverge.
Se
la serie converge.
Se
invece
la
serie diverge.
Una serie a segni alterni si definisce come segue
![]()
Se si ha che ak+1 < ak, allora essa converge se e soltanto se 'w I W, aw
I numeri complessi costituiscono un corpo numerico basato sull'esistenza un nuovo numero, il 'i' il quale è caratterizzato dalla proprietà
i2 = -1
Un numero complesso viene rappresentato nella forma
z = x + iy
dove x è la parte REALE e y la parte IMMAGINARIA,
Re(z) = x Im(z) = y
Vediamo come sviluppare addizione e moltiplicazione di numeri imagginari
(x1+iy1) + (x2+iy2) = (x1+x2) + i(y1+y2)
(x1+iy1) (x2+iy2) = (x1x2 + y1y2) + i(x1y2 + x1y2)
Valgono le seguenti proprietà per i numeri complessi, dato z = x + iy,
i.
, che si chiama 'coniugato di z'
ii. ![]()
iii. ![]()
iv. ![]()
v. ![]()
vi. ![]()
vii. ![]()
viii.
, dove |z| si chiama modulo
Un numero complesso può essere rappresentato da un punto nel piano delle coordinate, torna utile pero rappresentarlo anche tramite le coordinate polari (r,j), quindi:
x = r cos j y = r sin j pertanto z = r(cosj + i sinj
Si può notare che r = |z| e quindi chiamato r = |z| si può scrivere:
r = x2 + y2 cos j = x/r sin j = y/r
Importante è la seguente formula: zn = rn cos(ny) + i sin(ny)
Poiché dato un numero complesso z si pone:
![]()
Vale la seguente formula, conosciuta come Formula di Eulero:
con x, y I R

I cinque numeri più importanti della matematica indubbiamente sono i seguenti: 0, 1, p, e, i. Se nella formula di Eulero poniamo x=0 ed y=p, si ottiene: eip . Pertanto abbiamo una 'formula magica che riunisce le nostre 5 costanti.
Le radici n-esime di un numero complesso w, sono per definizione i numeri complessi z che risolvono la seguente equazione: zn = w
Se si pone z = r eij e w = R eiQ
L'equazione proposta assume la forma rneinj = R eiQ
Quindi il problema di trovare z si riduce a risolvere il seguente sistema
rn = R;
nj Q + 2kp; k I Z;
Quindi la soluzione, per il teorema 9.6.1., è z = reij
Il logaritmo di un numero complesso w è l'insieme di tutte le soluzioni complesse z dell'equazione ez = w, ovvero z=logw
Quindi z = x + iy e w reij
Il problema si riduce a trovare i numeri reali x e y tali che
ex = r (x = logr
eij = eiy (y = j + 2kp
L'equazione algebrica zn - a0 = 0 nel campo complesso ha esattamente n soluzioni, questo si può generalizzare ad una qualsiasi equazione algebrica nel campo complesso di grado n,
Pn(z) = 0
dove Pn è un polinomio di grado n. Una soluzione si chiama anche radice del polinomio Pn(z).
Teorema della divisione tra polinomi. Dati due polinomi Pn(z) e Dm(z) di grado n ed m rispettivamente (Dm non-nullo), allora esistono due polinomi Q(z) e R(z) tali che
Pn(z) = Q(z)Dm(z) + R(z) dove il grado di R(z) < m
Tali polinomi sono determinati univocamente e sono chiamati polinomio quoziente e polinomio resto rispettivamente. Inoltre se n m, il grado di Q(z) è n-m.
Le due seguenti asserzioni sono equivalenti:
Si dice che z0 è una soluzione dell'equazione Pn(z)=0 di molteplicità m, se il polinomio Pn(z) è divisibile per (z-z0)m
Teorema fondamentale dell'Algebra. Se n 1, l'equazione Pn(z) ha almeno una soluzione.
Teorema di scomposizione dei polinomi. Ogni polinomio di grado n è scomponibile nel prodotto di n polinomi di primo grado; più precisamente, se
Pn(z) = anzn + an-1zn-1 + .. + a1z + a0
esistono n numeri complessi z1, z2, ., zn tali che
Pn(z) = an(z-z1)(z-z2)(z-zn)
Teorema di D'Alembert. L'equazione Pn(z) = 0 ha esattamente n soluzioni se vengono contate con la loro molteplicità.
Data (t) = u(t) + i v(t), si può calcolarne la derivata e l'integrale;
DERIVATA. '(t) = u'(t) + i v'(t)
INTEGRALE. ![]()
![]() |
| Appunti su: |
|
| Appunti Contabilita | ![]() |
| Tesine Geografia | ![]() |
| Lezioni Statistica | ![]() |