![]() |
|
| Appunti scientifiche |
|
| Visite: 2236 | Gradito: |
Leggi anche appunti:Studio del diagramma di una funzioneSTUDIO DEL DIAGRAMMA DI UNA FUNZIONE I risultati fin qui ottenuti ci Equazioni differenziali ordinarieEquazioni differenziali ordinarie Esercizio 1 - Modello SIR di diffusione di Algebra modernaAlgebra moderna Al tempo di Gauss, l'algebra era ormai entrata nella |
![]() |
![]() |
IL NUMERO D'ORO E LA SEZIONE AUREA
Dal punto di vista della Matematica, a cominciare dai Greci, dai Pitagorici, poi Pacioli e Da Vinci e tanti altri , si riteneva che l'Universo fosse in "ordine" e fosse regolato da una legge, identificata nella sezione aurea e nel numero d'oro.
Keplero a riguardo scrive che questa proporzione servi da idea al Creatore per regolare l'Universo.
'Sono convinto che questa proporzione geometrica servì da idea al Creatore, quando Egli introdusse la generazione continua di forme simili da forme simili tra loro.'
Johannes Kepler (1571-1630)
« Il rapporto Aureo è una dimostrazione meravigliosa del fatto che l'uomo creatore e la natura si servono degli stessi strumenti nel creare le forme per arrivare alla bellezza.» S. Groenman - Utrecht, 1969
IN GEOMETRIA
Partiamo dalla definizione classica di
sezione aurea: dato il segmento AB si chiama sezione aurea di AB il segmento
medio proporzionale tra l'intero segmento e la parte rimanente.
In figura indichiamo con C il punto che divide il segmento AB nelle due parti
richieste
![]()
Dev'essere:
AB : AC = AC : CB (1)
Si dice per questo che il punto C divide
il segmento AB in media ed estrema ragione, cioè che il segmento AC,
detto la media ragione ovvero la sezione aurea, è medio
proporzionale tra l'intero segmento AB e la parte rimanente, CB, ovvero l'estrema
ragione.
Il numero d'oro è il rapporto costante fra un segmento e la sua sezione aurea.
![]()
Possiamo riscrivere la proporzione (1) come
AB : AC = AC : (AB
- AC) (2)
e quindi
Indichiamo con phi il numero d'oro, ovvero il rapporto AB/AC e quindi con AB/phi il segmento AC.
Otteniamo:
(3)
La radice positiva di questa equazione è il numero d'oro
![]()
Questa è l'espressione rigorosa diphi, mentre il valore approssimato più usato è 1,618.
Si osservi che l'equazione ci
consente di ricavare
che può essere vista
come
Cioè come successione
generalizzando per qualsiasi potenza del numero aureo l'equazione diventa:
n n n
In generale possiamo dire che in una
progressione geometrica di ragionephi, il termine (n+1) è
uguale alla somma dei due termini che lo precedono (n) e (n-1).
Questa considerazione ci riporta alla più nota delle successioni di questo
tipo, quella di Fibonacci, che riportiamo:
![]()
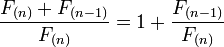
Ogni termine di questa successione, com'è facile verificare, è uguale alla somma dei due termini che lo precedono, dati i due termini iniziali, 1 e 1. Il rapporto fra un termine di questa successione e quello che lo precede si avvicina sempre più a phi Ad esempio, 89/55 = 1,61818, come si vede, è già molto vicino a tale numero.
Dimostrazione:
In termini matematici più precisi possiamo scrivere:
![]()
Supponiamo che le precedenti frazioni convergano ad un valore definito x.
I termini di questa serie sono uguali (per induzione) a
F(n + 1) = F(n) + F(n − 1)
Perciò si avrà che:
Cioè uguale a 1 più il reciproco
della frazione, che ripassando per il passaggio a limite, di cui omettiamo i
segni, possiamo riscrivere come segue.
che risolvendo darà
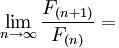
Questa proprietà vale naturalmente per qualsiasi successione di questo tipo, per la quale cioè ogni termine sia uguale alla somma dei due che lo precedono.
Proviamo a prendere due numeri a caso, 7 e 10, e costruiamo la successione corrispondente:
7 => 10 => 17 => 27 => 44 => 71 => 115 => 186 => 301 => 487 => .
Prendiamo due numeri consecutivi della
successione, ad esempio 301 e 186, 301 :
186 = 1, 61828.
Un valore già molto vicino al numero d'oro.
Rettangolo d'oro
Preso un rettangolo aureo, cioè il
rettangolo i cui lati (base e altezza) sono in
rapporto aureo, e tagliando da
questo un quadrato, quello che rimane è ancora un rettangolo aureo, più
piccolo.
L'operazione può continuare all'infinito, ritagliando quadrati che lasciano sempre rettangoli aurei. Se uniamo poi i due vertici opposti dei quadrati successivi, com'è indicato in figura, otteniamo una spirale logaritmica, nota come la 'spirale d'oro'.
La spirale logaritmica è
caratterizzata dal fatto che le distanze fra i bracci della spirale aumentano
secondo una progressione geometrica
La spirale si sviluppa intorno a un punto detto «occhio di Dio», ossia il punto d'incontro tra le due diagonali che si intersecano in ciascuna coppia di rettangoli.
Manifestazioni della spirale in natura

La spirale
logaritmica, che si ritrova sovente in natura, è l'unico tipo di spirale che
mantenga sempre la stessa forma, quando continua ad allargarsi. In botanica, fisica, zoologia,
architettura, pittura e musica, oltre che in geometria in alcune relazioni riguardanti
i poligoni regolari, la sezione aurea interviene in modo insistente. Essa, che
non è altro che un semplice rapporto di numeri, si incontra ovunque, in natura,
come nella scienza e nell'arte, e 'contribuisce alla bellezza di tutto ciò
che ci circonda.'


Il rettangolo aureo nelle opere di Leonardo

e nella Venere di Botticelli
Manifestazioni
della spirale nell'Universo
La spirale logaritmica, costruita secondo questa successione di numeri, è riscontrabile nell' Universo e dona la forma a certi tipi di galassie.
Sono le galassie a spirale a essere caratterizzate dalla forma a spirale logaritmica. Queste hanno la forma di un disco, con un nucleo globulare (bulge) e alcuni bracci a spirale che si avvolgono attorno ad esso.
![]() |
| Appunti su: https:wwwappuntimaniacomscientifichematematicail-numero-doro-e-la-sezione-au63php, |
|
| Appunti Geografia | ![]() |
| Tesine Fisica | ![]() |
| Lezioni Statistica | ![]() |