Appunti per Scuola e Università
humanisticheUmanistiche
Appunti e tesine di tutte le materie per gli studenti delle scuole medie riguardanti le materie umanistiche: dall'italiano alla storia riguardanti le materie umanistiche: dall'italiano alla storia 
sceintificheScientifiche
Appunti, analisi, compresione per le scuole medie suddivisi per materie scientifiche, per ognuna troverai appunti, dispense, esercitazioni, tesi e riassunti in download.
tecnicheTecniche
Gli appunti, le tesine e riassunti di tecnica amministrativa, ingegneria tecnico, costruzione. Tutti gli appunti di AppuntiMania.com gratis!
Appunti
scientifiche
Astronomia cosmologiaChimicaEconomiaEducazione fisicaFisica
MatematicaStatistica


AppuntiMania.com » Scientifiche » Appunti di Matematica » La vita è limitata...il limite finito

La vita è limitata...il limite finito




Visite: 1976Gradito:apreciate stela [ Picolo appunti ]
Leggi anche appunti:

L'eredità dell'Ottocento


L'eredità dell'Ottocento Par. 1) Sviluppi dell'analisi Nel XIX secolo

Fondamentali e definizione di campo vettoriale (I)


Fondamentali e definizione di campo vettoriale (I) L'inizio più logico coincide

Teoremi di rolle e di lagrange


TEOREMI DI ROLLE E DI LAGRANGE   I due teoremi che ci accingiamo a
immagine di categoria

Scarica gratis La vita è limitata...il limite finito

La vita è limitata...il limite finito


Il concetto limite in matematica è proprio del calcolo infinitesimale, e permette di esprimere il comportamento di una funzione quando la sua variabile indipendente x tende indefinitamente a un valore prefissato. Il concetto, formalizzato in modo rigoroso nel XIX secolo da Cauchy e Weierstrass, era già comparso in forma embrionale nella matematica greca e, successivamente, negli scritti di Eulero.



Definizione

Data una funzione reale di variabile reale y = f(x), il valore L è il limite di f(x) per x che tende a x0, se vale la seguente proprietà: presa una qualunque quantità positiva, esiste δ (una quantità dipendente da ), tale che per tutti i valori di x che soddisfano la relazione |x - x0| minore di δ, vale la disuguaglianza: |f(x)-L| <

Se una funzione è continua in un suo punto, il limite per x che tende a x0 coincide con il valore f(x0) che la funzione assume in quel punto cioè y = f(x) continua in x0 quando limite di f(x) per x che tende a x0 è uguale a f(x0). Se invece la funzione non è continua nel punto x0, a seconda della natura della discontinuità il limite per x che tende a x0 può assumere un valore finito diverso da f(x0), oppure può tendere all'infinito.


In particolare

I punti in cui una funzione non è continua si dicono punti di discontinuità. Si dice punto di discontinuità di una funzione reale di variabile reale f un punto appartenente al dominio di definizione di f ma in cui f non è continua.

Comunemente, viene considerato punto di discontinuità anche un punto che non appartiene al dominio di f, ma appartiene alla parte interna della chiusura di f (in pratica un punto per cui abbia senso definire un limite destro e un limite sinistro di f). In particolare, presa una funzione f(x) definita in un intervallo [a,b] (tranne al più in x0) e considerando un punto x0 appartenente allo stesso intervallo, la funzione presenterà in quel punto:


     una discontinuità di prima specie (o punto singolare) se il valore del limite destro, per x tendente a x0, è diverso dal valore del limite sinistro (graficamente la funzione presenterebbe un salto);


     una discontinuità di seconda specie se almeno uno dei due limiti, per x tendente a x0, è infinito (sia positivo che negativo) oppure non esiste;


     una discontinuità di terza specie (o discontinuità eliminabile) se esistono uguali e finiti i limiti destro e sinistro, per x tendente a x0, ma il loro valore è diverso da f(x0) o x0 non è nel dominio della funzione.


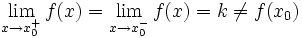
Discontinuità di prima specie (o di salto)

Un punto x0 si dice di discontinuità di prima specie quando il limite destro della funzione, per x che tende a x0, è diverso da quello sinistro, pur essendo entrambi valori finiti. Ovvero:


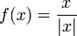
La discontinuità viene comunemente definita "di salto" perché l'aspetto del grafico è quello di un salto nel punto di discontinuità. Un tipico esempio si ha nel caso della funzione definita per che vale sempre 1 per x positivi e -1 per x negativi e fa un "salto" in x = 0.




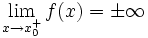
Discontinuità di seconda specie (o essenziale)

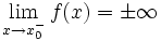
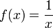
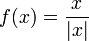
Un punto x0 si dice di discontinuità di seconda specie quando il limite della funzione per x che tende a x0 da destra e/o da sinistra, tende ad infinito o non esiste affatto. Quindi

oppure quindi


Un esempio con il limite infinito può essere la funzione che vale per o dalla funzione tangente. Un esempio in cui il limite non esiste è dato dalla funzione per .


Discontinuità di terza specie (o eliminabile)

Un punto x0 si dice di discontinuità di terza specie quando il limite destro della funzione, per x che tende a x0, è uguale a quello sinistro, con entrambi valori finiti, ma diversi dall'eventuale valore di f in x0. Ovvero, se :


La discontinuità viene comunemente definita "eliminabile" in quanto è sufficiente modificare opportunamente il valore da assegnare alla funzione nel punto di discontinuità per renderla continua in quel punto oppure, nel caso che x0 non sia nel dominio, estendere la funzione assegnandogli in x0 il valore del limite.

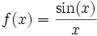
Un tipico esempio è dato dalla funzione che a priori è definita solo per ma si può estendere ad una funzione continua in 0 ponendo f(0) uguale al suo limite in 0, cioè 1.


Scarica gratis La vita è limitata...il limite finito
Appunti su: vite al limite angel come C3A8 finita,



Scarica 100% gratis e , tesine, riassunti



Registrati ora

Password dimenticata?
  • Appunti superiori
  • In questa sezione troverai sunti esame, dispense, appunti universitari, esercitazioni e tesi, suddivisi per le principali facoltà.
  • Università
  • Appunti, dispense, esercitazioni, riassunti direttamente dalla tua aula Universitaria
  • all'Informatica
  • Introduzione all'Informatica, Information and Comunication Tecnology, componenti del computer, software, hardware ...

Appunti Contabilita Contabilita
Tesine Fisica Fisica
Lezioni Statistica Statistica