Appunti per Scuola e Università
humanisticheUmanistiche
Appunti e tesine di tutte le materie per gli studenti delle scuole medie riguardanti le materie umanistiche: dall'italiano alla storia riguardanti le materie umanistiche: dall'italiano alla storia 
sceintificheScientifiche
Appunti, analisi, compresione per le scuole medie suddivisi per materie scientifiche, per ognuna troverai appunti, dispense, esercitazioni, tesi e riassunti in download.
tecnicheTecniche
Gli appunti, le tesine e riassunti di tecnica amministrativa, ingegneria tecnico, costruzione. Tutti gli appunti di AppuntiMania.com gratis!
Appunti
superiori
Abbigliamento modaAnimali UccelliArte culturaBellezzaBiologia
CommercioFilm fotoGeografiaGiornalismo stampaLogica
NutrizionePittura disegnoPoesiaPsicologia psichiatriaVigneto


AppuntiMania.com » Superiori » Appunti di Biologia » Glucidi o Carboidrati

Glucidi o Carboidrati




Visite: 2258Gradito:apreciate 5-stela [ Picolo appunti ]
Leggi anche appunti:

Genetica mendeliana


    Sebbene l'ereditarietà biologica sia stata oggetto di interesse

Fattore di trascrizione NF-Y


Fattore di trascrizione NF-Y 1 Morfologia delle proteine

Shock


Shock 1 INTRODUZIONE Stato di insufficienza del
immagine di categoria

Scarica gratis Glucidi o Carboidrati

Glucidi o Carboidrati

I glucidi, o zuccheri, sono sostanze organiche prodotte dalle piante verdi e dai batteri per mezzo della fotosintesi, a partire dall'acqua, dall'anidride carbonica atmosferica e dall'energia catturata dalle radiazioni solari. Sono detti anche carboidrati o idrati di carbonio in quanto i più semplici hanno un rapporto idrogeno ossigeno simile a quello dell'acqua: (CH2O)n. Tutti i glucidi sono solidi a temperatura ambiente. I glucidi sono i più importanti e veloci fornitori di energiabiochimica. Il loro metabolismo, descritto nel complesso ciclo di Krebs, fornisce all' organismo l'energia necessaria per la completa demolizione dei lipidi, evitando l' accumulo di chetoni, metabolici incompleti dei lipidi e origine di effetti indesiderati. (Esempio: la comparsa di 'acetone' nei bambini).Un modo di dire fiorito in biochimica è: 'I lipidi bruciano nel fuoco dei glucidi'.In una dieta equilibrata, i glucidi e i lipidi devono essere introdotti in un rapporto equilibrato.Se prevalgono i lipidi si va incontro a chetosi e ad accumulo di grasso.Se prevalgono i glucidi, la parte di questi che non viene utilizzata per metabolizzare i lipidi, viene trasformata essa stessa in lipidi e può condurre al diabete secondario.

Struttura e classificazione dei glucidi

Come la maggior parte delle sostanze naturali, i glucidi sono costituiti da molecole chirali ed in natura è presente solo uno dei due enantiomeri.
Pressoché tutti i glucidi presenti nei sistemi viventi appartengono alla cosiddetta serie
D, ovvero la disposizione dei sostituenti attorno al penultimo atomo di carbonio della catena è assimilabile a quella della D-gliceraldeide.

A seconda di come reagiscono all'idrolisi i glucidi si dividono in diversi tipi:

  • Osi o zuccheri semplici: non sono idrolizzabili.
  • Osidi o zuccheri complessi: idrolizzabili. A seconda di cosa si ottiene dalla reazione si dividono in:
    • Olosidi: l'idrolisi dà zuccheri semplici (osi).
    • Eterosidi: l'idrolisi dà zuccheri semplici e agliconi, cioè composti di natura non zuccherina.

Osi

Noti come zuccheri semplici, comprendono da tre (triosi) a sette (eptosi) atomi di carbonio per molecola. Alla stessa formula bruta corrispondono diversi isomeri, il cui numero cresce col numero di atomi di carbonio della molecola. Vengono ulteriormente classificati come aldosi se nella loro molecola è presente un gruppo aldeidico, -CHO; chetosi se nella loro molecola è presente un gruppo chetonico, ossia un doppio legame C=O.

La formula generica degli osi è CnH2nOn; in ogni zucchero ci sono n-1 gruppi -OH ed è presente un gruppo chetonico o un gruppo aldeidico.

Il glucide più diffuso ed importante del mondo vivente è il glucosio, un aldoesoso

I triosi sono due: la D-gliceraldeide

CHO
|
H-C-OH
|
CH2-OH

formule di questo tipo sono dette 'proiezioni di Fischer'; i legami sull'asse orizzontale sporgono verso l'osservatore, i legami sull'asse verticale si allontanano dall'osservatore.

che è il più semplice degli aldosi (un gruppo aldeidico), ed il diidrossiacetone

CH2-OH
|
C=O
|
CH2-OH

che è il capostipite dei chetosi (un gruppo chetonico).

Quelle che seguono sono le forme aperte rispettivamente del D eritrosio, un aldotetroso, del D arabinosio, un aldopentoso e del D fruttosio, un chetoesoso

CHO CHO CH2-OH
| | |
H-C-OH HO-C-H C=O
| | |
H-C-OH            H-C-OH HO-C-H
| | |
CH2-OH H-C-OH H-C-OH
| |
CH2-OH H-C-OH
|
CH2-OH

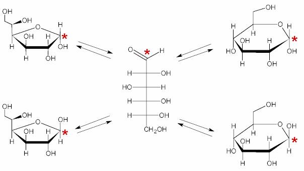
I pentosi, gli esosi e gli eptosi hanno un sufficiente numero di atomi tale da potersi chiudere ad anello formando un semi-acetale per reazione tra il carbonile e l'ossidrile legato al penultimo atomo di carbonio della catena. L'anello può essere costituito da cinque atomi (quattro di carbonio e uno di ossigeno) - nel qual caso si parla di forma furanosica - o di sei atomi (cinque di carbonio e uno di ossigeno) - nel qual caso si parla di forma piranosica. Ognuna delle due forme esiste in due configurazioni diverse, dette α e β, a seconda che il nuovo gruppo -OH, ottenuto dall'apertura del doppio legame carbonilico, giaccia al di sotto o al di sopra del piano medio della molecola.

interconversione tra le diverse forme del D-glucosio
la forma aperta è al centro, a sinistra ci sono le forme cicliche furanosiche, a destra le forme cicliche piranosiche; in alto le forme cicliche α, in basso le β

Esistono inoltre zuccheri semplici contenenti zolfo o azoto.

Olosidi

Gli zuccheri complessi, polimeri costituiti da monosaccaridi, si dividono in oligosaccaridi (corte catene di zuccheri semplici, generalmente fino ad otto unità) e polisaccaridi (con catene molto lunghe, che possono essere anche ramificate e cicliche).

I polisaccaridi possono essere strutturali o di riserva.
Il più diffuso polisaccaride strutturale è la cellulosa, costituita da lunghissime catene di glucosio e presente nelle Piante e nelle alghe. Nei procarioti è presente l'acido muramico nella parete cellulare mentre negli animali (eucarioti) i glucosaminoglicani, più complessi, hanno una funzione di 'collante' nei tessuti connettivi.
Il principale polisaccaride di riserva vegetale è l'amido, negli animali il glicogeno. I polisaccaridi di riserva consentono il rilascio rapido di glucosio per le necessità energetiche dell'organismo, mentre i lipidi di riserva contengono più energia per unità di massa.


Scarica gratis Glucidi o Carboidrati
Appunti su: glucidi,



Scarica 100% gratis e , tesine, riassunti



Registrati ora

Password dimenticata?
  • Appunti superiori
  • In questa sezione troverai sunti esame, dispense, appunti universitari, esercitazioni e tesi, suddivisi per le principali facoltà.
  • Università
  • Appunti, dispense, esercitazioni, riassunti direttamente dalla tua aula Universitaria
  • all'Informatica
  • Introduzione all'Informatica, Information and Comunication Tecnology, componenti del computer, software, hardware ...