![]() |
|
| Appunti superiori |
|
| Visite: 3663 | Gradito: |
Leggi anche appunti:Il nord africa, sahara, maroccoIl NORD AFRICA La regione comprende la parte settentrionale del continente Africano, VulcanologiaVULCANOLOGIA ERUZIONI Un' eruzione può essere di tipo: CENTRALE: La foresta equatoriale in america latinaLA FORESTA EQUATORIALE in America Latina In America Latina è presente |
![]() |
![]() |
Metodo del ripristino delle sollecitazioni
Una delle tecniche di misura più diffuse per la stima dello stato di tensione presente in un ammasso roccioso è quella del 'ripristino delle sollecitazioni'. Liberando un volume di roccia dall'azione del campo di sollecitazione agente si determina, un rilassamento della roccia al contorno del volume asportato; la misura delle deformazioni indotte dal rilascio tensionale costituisce l'oggetto delle tecniche di misura. In accordo con la teoria elastica, è possibile determinare la sollecitazione agente sul volume di roccia asportato agendo meccanicamente sulla roccia per mezzo di un martinetto idraulico fino ad 'azzerare' le deformazioni indotte dalla perforazione o dall'intaglio e misurando lo sforzo necessario in termini di sollecitazione applicata. Le misure sono in genere eseguite sulle pareti rocciose mediante martinetti idraulici di tipo piatto o curvilineo secondo lo schema operativo generale descritto in Figura 3.24.

Figura Schema di esecuzione della misura dello stato tensionale mediante le tecniche di ripristino delle sollecitazioni.
Due o più capisaldi di misura sono cementati in prossimità della porzione di ammasso roccioso che verrà asportata; la misura della distanza fra i capisaldi prima che l'intaglio o la perforazione vengano effettuati costituisce lo 'zero' rispetto al quale il rilascio tensionale determinerà una deformazione (a); una volta effettuato l'intaglio (martinetto piatto) o la perforazione (martinetto curvo) la roccia subisca un rilascio tensionale, che provoca un rilassamento della roccia e dunque un avvicinamento dei capisaldi (b); al termine di questa prima fase di rilascio il martinetto idraulico di dimensioni e capacità variabili viene cementato all'interno della cavità (c); dopo aver atteso la presa del cementante si ristabilisce la distanza iniziale fra i capisaldi applicando una pressione p, detta di ripristino sulle superfici interne dell'intaglio per mezzo del martinetto idraulico (d). L'ipotesi fondamentale del metodo è quella che la pressione di ripristino sia uguale alla sollecitazione normale agente sulle superfici libere prima della realizzazione dell'intaglio o della perforazione.
I primi esperimenti volti alla valutazione dello stato tensionale in sito mediante ripristino delle sollecitazioni risalgono ai primissimi anni '50 (Mayer e al., 1951; Tincelin, 1951) e sono stati eseguiti in miniere sotterranee utilizzando martinetti piatti in grado di applicare una pressione di ripristino su di una superficie piana più o meno estesa. Nel corso degli anni molti ricercatori hanno studiato il metodo al fine di valutare, attraverso sperimentazioni in sito e in laboratorio, le più corrette geometrie di misura nonché le più idonee procedure da seguire in fase di realizzazione e di interpretazione della misura. In particolare, notevole attenzione è stata rivolta alla valutazione dei fenomeni di creep (inteso come rilascio progressivo delle deformazioni a carico costante) che possono occorrere durante le fasi di deformazione della roccia, a seguito del rilascio tensionale ed alla loro influenza sulla corretta determinazione delle componenti della sollecitazione oggetto della misura. Nella Figura è riportato l'andamento tipico degli spostamenti indotti durante le diverse fasi di realizzazione di una misura ed è indicata l'entità del contributo deformativo dei fenomeni di creep in prove di ripristino delle sollecitazioni.

Figura Variazione della distanza relativa fra i capisaldi di misura (2∆v) durante le operazioni di intaglio (slot cutting), cementazione e ripressurizzazione (cancellation) (Alexander, 1960).
Data la complessità della modellazione di un fenomeno di questo tipo il problema è stato affrontato sostanzialmente per via sperimentale, osservando l'andamento delle deformazioni indotte durante la realizzazione di misure di ripristino tensionale in laboratorio su grossi campioni di roccia o calcestruzzo (Alexander, 1960; Hoskins, 1966) sottoposti, mediante presse biassiali, ad un campo di sollecitazione noto. Tutti gli studi condotti hanno evidenziato la difficoltà di previsione dei fenomeni di creep il cui contributo può essere tuttavia valutato in fase di realizzazione della misura e tenuto in conto nella definizione della pressione di ripristino. In particolare Panek e Stock (1964) hanno suggerito due diverse procedure di misura in grado di mitigare l'influenza del creep sulle misure di ripristino delle tensioni: esse sono definite rispettivamente come 'slow test' e 'rapid test'. Nel primo caso la misura della pressione di ripristino avviene mantenendo in pressione il martinetto idraulico per diversi giorni fino a minimizzare l'effetto creep che si manifesta con un rilascio progressivo delle deformazioni. Nel secondo caso si sottrae il contributo deformativo a lungo termine (deformazioni dovute al creep) dal valore di spostamento totale dei capisaldi di misura e si considera un valore di pressione di ripristino in grado di azzerate solo le deformazioni istantanee indotte.
Analisi della misura dello stato tensionale mediante la tecnica del ripristino delle sollecitazioni: martinetto piatto (flat jack)
L'uso di
martinetti piatti, consentendo il ripristino delle sollecitazioni
esclusivamente lungo la direzione ortogonale all'intaglio con cui si determina
il detensionamento dell'ammasso roccioso, comporta, per ogni prova, la
determinazione di un'unica componente del tensore delle sollecitazioni. Come
detto, si tratta in genere di misure di superficie (distanza < 1m dalla
superficie libera) che coinvolgono volumi di roccia variabili fra 0,5 -

Figura Schema di esecuzione della misura proposto da Merril e al (1964) in cui sono evidenti l'intaglio effettuato per il posizionamento del martinetto e gli interassi fra i capisaldi di misura
In linea teorica (Figura 3.27), considerando uno stato di tensione piana, detta r, la tensione verticale agente prima della realizzazione dell'intaglio e pc la pressione di ripristino esercitata dal martinetto per riportare i capisaldi di misura alla distanza iniziale, si ha sv pc. Sebbene spesso la pressione di ripristino sia utilizzata come stima di massima della tensione naturale agente in direzione normale all'intaglio, in realtà il rilascio tensionale determina una deformazione di tipo plastico non recuperabile (Figura 3.27 - segmento OB) che comporta, a seguito del ripristino della distanza fra i capisaldi, un errore nella determinazione della sollecitazione verticale agente
(pc s - s
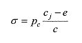
Il ripristino delle sollecitazioni avviene inoltre per mezzo dell'azione meccanica di un martinetto che non agisce effettivamente su tutta l'area dell'intaglio ed in particolare, in prossimità dei bordi, la sua azione può essere considerata nulla. Jaeger e Cook (1976) hanno fornito un'espressione sperimentale che lega pc con s e che tiene conto dell'effettiva area di contatto fra il martinetto e le pareti dell'intaglio:
Dove 2cj e 2c sono rispettivamente lo spessore effettivo del martinetto (jack) e dell'intaglio mentre e indica la distanza dal bordo dell'intaglio alla quale si suppone che il martinetto sia effettivamente a contatto con le superfici rocciose.

Figura 3.28 Diagramma teorico (a) e reale (b) che riporta la variazione della pressione applicata (p, = w) rispetto alla posizione dei capisaldi di misura
La stima dello stato di tensione piana in parete per mezzo della tecnica del ripristino delle tensioni (martinetto piatto) può essere condotta in modo più opportuno attraverso la schematizzazione del problema riportata in Figura3.28. L'intaglio all'interno del quale viene inserito il martinetto idraulico viene assimilato ad una ellisse della quale sia nota la geometria.

Figura Schematizzazione della geometria del problema
A seguito della realizzazione dell'intaglio è possibile registrare una variazione della distanza 2w fra i capisaldi di misura (A e A') per l'azione del campo di tensione piana agente.
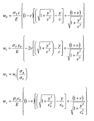
In particolare si avrà, per la sovrapposizione degli effetti:
w=w0+w1+w2 (1a)
dove 2wo rappresenta il contributo dello spostamento dovuto alla realizzazione di un intaglio infinitamente sottile; 2wj rappresenta il contributo dello spostamento dovuto alla realizzazione di un intaglio di larghezza finita e 2w2 rappresenta il contributo dello spostamento dovuto all'azione del campo di tensione piana agente.
Se si indica con 2wj lo spostamento fra i capisaldi di misura dovuto all'azione della pressione applicata per mezzo del martinetto, per una pressione applicata pari a quella di ripristino è possibile scrivere:
w = wj (1b)
In particolare si ha:
dove
sv = tensione piana agente in direzione ortogonale all'intaglio;
sh = tensione piana agente in direzione parallela all'intaglio;
c = semiasse maggiore dell'ellisse (dunque la semi lunghezza dell'intaglio);
co = semi lunghezza del martinetto;
y = distanza fra i capisaldi di misura delle deformazioni ed il semiasse maggiore dell'ellisse;
yo = semiasse minore dell'ellisse (dunque la semi larghezza dell'intaglio);
E = modulo di Young della roccia;
n = rapporto di Poisson della roccia.
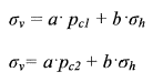
Assegnando alle diverse variabili geometriche e fisico-meccaniche i corretti valori è possibile definire:
sv= a*pc, + b*sh
dove a e b sono due coefficienti determinati analiticamente in funzione della distanza dei capisaldi, delle dimensioni dell'intaglio e delle caratteristiche deformative della roccia (Figura

Figura Andamento dei coefficienti a e b in funzione della semi-distanza fra i capisaldi di misura A - A' per date caratteristiche deformative della roccia.
In generale, effettuando due misure di ripristino delle tensioni su intagli ortogonali è possibile determinare in modo completo lo stato di tensione piana attraverso la determinazione delle due tensioni principali s e s Naturalmente, per fare questo bisogna conoscere la direzione di almeno una delle due componenti in modo da effettuare gli intagli rispettivamente in direzione ad essa ortogonale e parallela. Nel caso più semplice in cui sia s s v = tensione verticale e s sh = tensione orizzontale si ha il seguente sistema di 2 equazioni in due incognite:
dove pc1 è la pressione di ripristino per l'intaglio effettuato in direzione orizzontale e pc2 è la pressione di ripristino per l'intaglio effettuato in direzione verticale.
Un esempio applicativo generale può essere utile per comprendere la procedura seguita per la determinazione dello stato di tensione bidimensionale su un piano ortogonale a quello dell'intaglio. Si consideri l'esempio di una sezione di scavo in sotterraneo (Figura 3.31) sottoposta ad un campo di tensioni che può essere descritto su un piano (stato di tensione bidimensionale) dalle tre componenti sx0 sy0 e txy0. Naturalmente il piano su cui sono misurate le tensioni è quello ortogonale all'asse dello scavo.

Figura Scavo di sezione circolare sul cui contorno vengono effettuate misure (i = 1,2,3) di ripristino delle sollecitazioni mediante prova di Flat Jack.
Si supponga di eseguire tre misure di ripristino delle tensioni mediante tre diversi intagli, paralleli all'asse dello scavo e orientati in funzione di un angolo qi rispetto all'asse orizzontale.
Otterremo così tre valori di a, ovvero di tensione agente ortogonalmente all'intaglio effettuato che, per semplicità di trattazione potranno essere definite come sqi in funzione dell'angolo qi, rispetto al quale sono orientati gli intagli. Nel caso di materiale elastico e isotropo, le misure possono essere correlate in maniera lineare alle tre componenti dello stato di sollecitazione naturale piano sx0 sy0 e txy0 secondo la seguente formulazione generale:
dove fij(i,j=1,3) dipendono esclusivamente dalla geometria dello scavo. Per uno scavo di sezione circolare come quello rappresentato in Figura 3.31 i coefficienti fij (i,j=1,3) assumono i valori di seguito riportati
attraverso cui è possibile definire lo stato di tensione bidimensionale su un piano ortogonale a quello dell'intaglio.
Prove eseguite nelle Cave Danzi e Beltrami
I punti di prova sono stati scelti in posizioni tali da ottenere un quadro il più possibile completo ed esauriente dello stato tensionale presente nelle strutture rocciose della cava.
In totale sono stati eseguite 13 prove con martinetto piatto di cui 10 con martinetto piatto semplice e 3 con martinetto piatto doppio, elencate nella tabella seguente.
Tabella 3.9. Tipologia di prove di martinetto piatto eseguite sui pilastri.

Martinetto piatto semplice
Le prove con martinetto piatto semplice sono basate sulla misura degli spostamenti indotti dal rilascio tensionale nell'intorno di un taglio eseguito perpendicolarmente alla direzione di indagine.
Il rilascio delle tensioni comporta, in caso di stato tensionale di compressione, una richiusura del taglio rilevabile attraverso misure di convergenza tra più coppie di punti posti in posizione simmetrica rispetto ad esso. Mediante l'utilizzo di uno speciale martinetto piatto inserito all'interno del taglio e pressurizzato in modo da annullare la convergenza (ripristinando così, nell'intorno del taglio lo stato tensionale originario) è possibile la misura delle tensioni agenti nella struttura nell'area di prova.
Le prove con martinetto piatto semplice hanno permesso di misurare le seguenti tensioni:
Tabella 3.10. Pressioni di riferimento per le prove di martinetto piatto.

Martinetti piatti doppi
Le prove con martinetto piatto doppio sono basate sulla misura degli spostamenti indotti dalla compressione monoassiale esercitata su un campione di materiale arenaceo di dimensioni apprezzabili, mediante la pressurizzazione di due martinetti piatti.
La pressurizzazione comporta una compressione del materiale rilevabile attraverso misure di convergenza tra più coppie di punti posti simmetricamente in posizione ortogonale e parallela rispetto alle tracce dei due tagli. Sulla superficie libera del campione vengono fissate sei basi di misura verticali (per il calcolo del modulo elastico -modulo di Young-) e tre basi di misura orizzontali (per il calcolo del coefficiente di Poisson). Mediante calibro removibile è possibile effettuare una serie di letture delle basi di misura, avendo un quadro completo delle deformazioni assiali e trasversali del campione.
La procedura standard prevede che il materiale soggetto alla prova venga sottoposto mediante due martinetti piatti a gradini di carico con livelli di sollecitazione gradualmente crescenti; si determinano così le caratteristiche di deformabilità della muratura. Aumentando la pressione dei martinetti fino alla comparsa delle prime microfratture nei mattoni e nei corsi di malta si può arrivare a stimare la resistenza a compressione della muratura.
Con questa tecnica si realizza, in sito, una prova di compressione monoassiale su un campione indisturbato di grandi dimensioni, rappresentativo dell'intera struttura.
Tabella 3.11. Caratteristiche dell'ammasso roccioso.

![]() |
| Appunti su: http:wwwappuntimaniacomsuperiorigeografiaprove-in-sito-per-la-determina95php, scavo per rilascio delle tensioni, prova di rilascio tensionale, |
|
| Appunti Idrologia | ![]() |
| Tesine Agricoltura agraria | ![]() |
| Lezioni Meteorologia | ![]() |