![]() |
|
| Appunti tecniche |
|
| Visite: 2986 | Gradito: |
Leggi anche appunti:Caratterizzazione dell'Attacco Ionico in PlasmaCaratterizzazione dell'Attacco Ionico in Plasma Lo scopo della caratterizzazione Elementi di elettronica a singolo elettroneELEMENTI DI ELETTRONICA A SINGOLO ELETTRONE Si consideri un esperimento in Entanglement e Variabili NascosteEntanglement e Variabili Nascoste 1 Paradosso EPR e Entanglement Quantistico Abbiamo |
![]() |
![]() |
ELETTROTECNICA
IL TRASFORMATORE

Trasformatore

Vai a: Navigazione, cerca
Il trasformatore è una macchina elettrica statica (perché non contiene
parti in movimento) appartenente alla categoria più ampia dei convertitori. In
particolare il trasformatore consente di convertire i parametri di tensione
(simbolo V unità di misura [V] volt) e corrente (simboli I unità di misura [A] ampere) in ingresso
rispetto a quelli in uscita, pur mantenendo costante la quantità di potenza elettrica (a meno delle perdite per
effetto dell'isteresi
e delle correnti parassite). Il trasformatore è una
macchina in grado di operare solo in corrente alternata, perché sfrutta i principi
dell'elettromagnetismo legati ai flussi variabili.
Il trasformatore ha importanza fondamentale nel mondo di oggi: senza di esso le
grandi reti di trasporto dell'energia elettrica
che collegano le centrali elettriche a milioni di industrie e di case non
potrebbero funzionare.
Le enormi quantità di energia elettrica richieste dalla società moderna fanno sì che questa debba essere prodotta in grandi quantità presso centri di produzione denominati centrali elettriche. Un parametro utile per determinare la dimensione e la quantità di energia prodotta da una centrale è la potenza (simbolo P unità di misura W) la quale può variare dalle decine di kW (1 kW = 1000 W) di piccole centrali idroelettriche o solari alle centinaia di MW (1 MW = 1.000.000 W) delle grandi centrali termoelettriche e nucleari. Questa energia deve essere trasportata anche per centinaia di km. La potenza elettrica è legata in maniera diretta ai parametri di tensione e corrente, secondo la formula
![]()
dove
,
detto fattore di potenza, è il correttivo dovuto allo sfasamento.
Ciò significa che a parità di potenza aumentando la tensione V diminuisce la
corrente I (e si deve mantenere
più
vicino possibile al valore unitario. Vedi la voce Rifasamento).
Ciò è molto importante in quanto la corrente I genera al suo passaggio nei
conduttori elettrici calore (Effetto Joule),
più la corrente è alta e più calore si genera; per ovviare a questo bisogna
aumentare la sezione dei conduttori, ma viene da sé che c'è un limite economico
e tecnologico nel dimensionamento delle linee
elettriche, legato anche al fenomeno della caduta di tensione delle linee stesse. Al fine
quindi di abbassare la corrente I si effettua una trasformazione
aumentando la tensione V a parità di potenza P. Naturalmente
diminuendo le distanze da percorrere e la potenza da trasportare viene anche
meno l'esigenza di avere tensioni alte, se a questo si associa l'altra esigenza
che è quella di avere per l'uso domestico e industriale un livello di tensione
compatibile con le esigenze di sicurezza ne conviene che dalla produzione alla
distribuzione è opportuno effettuare un numero adeguato di trasformazioni verso
tensioni più basse.
La macchina che si occupa di effettuare tali trasformazioni è appunto il
trasformatore. A titolo di esempio citiamo alcune delle tensioni tipiche di
esercizio degli impianti elettrici ovvero:
Le principali tappe che hanno portato all'attuale trasformatore ricordiamo:

Schema di principio
Il trasformatore più semplice è costituito da due conduttori elettrici (solenoidi) avvolti su un anello di materiale ferromagnetico detto nucleo magnetico. L'avvolgimento al quale viene fornita energia viene detto primario, mentre quello dalla quale l'energia è prelevata è detto secondario. I trasformatori sono macchine reversibili, per cui questa classificazione non corrisponde ad un avvolgimento fisico unico.
Quando sul primario viene applicata una tensione elettrica alternata sinusoidale, per effetto dell'induzione magnetica si crea nel nucleo un flusso magnetico con andamento sinusoidale. Per la legge di Faraday-Neumann-Lenz, questo flusso variabile induce nel secondario una tensione sinusoidale.
La tensione prodotta nel secondario è proporzionale al rapporto tra il numero di spire del primario e quelle del secondario secondo la relazione:
![]()
dove Vp è la tensione applicata sul primario, Vs la tensione indotta sul secondario, Np il numero di spire del primario e Ns il numero di spire del secondario, n è chiamato rapporto di trasformazione.
Per una tensione sinusoidale di ampiezza massima Em il valore
efficace E vale:
![]()
Trascurando le perdite, la relazione tra tensione, numero di spire, intensità di flusso e sezione del nucleo è data dalla relazione:
![]()
Dove E è il valore efficace (RMS) della tensione indotta, f è la frequenza in Hertz, N è il numero di spire dell'avvolgimento al quale si fa riferimento, S è la sezione del nucleo (in m2) e B è il valore dell'induzione in Tesla.

Si quando non ci sono carichi alimentati dal circuito secondario, quindi I2 = 0 e quindi è anche nulla anche I12 mentre circola solo corrente nella prima parte del circuito primario quindi I1 = I10.
Ricordando lo schema di trasformatori reali dove:
![]()
tipicamente
di un fattore 1000.
si ottiene così la schema di funzionamento a vuoto (sopra riportato).
Questo schema è interessante perché ci da un idea delle perdite nel ferro perché legate all'impedenza Z10 e quindi della relativa perdita di potenza che ci sarà utile per il calcolo del rendimento del trasformatore.

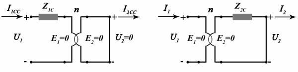
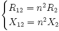
Si ha una configurazione di corto circuito quando si sostituisce il carico con un corto circuito: in questo caso si annullerà la tensione U2 = 0 e le correnti vengono chiamate correnti di cortocircuito (la tensione U1 dovrà essere opportunamente ridotta per non generare correnti che guastino il trasformatore):
![]()
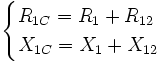
Per l'analisi del trasformatore in corto circuito, partendo dalla configurazione di trasformatore reale, si riportano al primario la resistenza e l'induttanza del secondario, mettendole in parallelo con Z10 e in serie con R1 e jX1

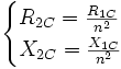
Adesso prendiamo in considerazione la prima parte dello schema proposto e definiamo l'impedenza al primario:
![]()
dove:

Considerando la parte di destra dello schema, possiamo trasportare l'impedenza del primario al secondario e ottenere:
![]()
dove:

In conclusione il funzionamento in corto circuito è dipendente
dalle impedenze al primario e al secondario
,
,
quindi la potenza assorbita dal trasformatore in corto circuito è legata alle perdite dovute alle resistenze quindi alle perdite nel
rame; questa considerazione ci sarà utile per il calcolo del rendimento del trasformatore.
![]()
Lo schema prevede l'utilizzo dei seguenti strumenti da collegare al primario:
La prova viene svolta nel seguente modo:
I grafici sono:
Dai grafici è possbile determinarsi i valori nominali di corrente, potenza e cos(φ) (tutti riferiti al funzionamento a vuoto) in corrispondenza del valore della tensione nominale di funzionamento. In particolare: il valore di potenza nominale a vuoto ricavato dal grafico è proprio il valore di Pf.
Nei trasformatori reali presentato due tipi di perdite:
![]()
![]()
quindi definiamo il rendimento: 
dove:
Da ricordare che il rendimento è funzione della condizione di carico, ossia di quanto sia sfasata la corrente al secondario, l'angolo φ che forma con al tensione al secondario.
![]() |
|
| Appunti costruzione | ![]() |
| Tesine Gestione | ![]() |
| Lezioni Ingegneria tecnico | ![]() |