![]() |
|
| Appunti tecniche |
|
| Visite: 3809 | Gradito: |
Leggi anche appunti:The MotherFonkersThe MotherFonkers Nel 2009 un nuovo gruppo da poco formato ha iniziato Sommatore invertenteSommatore invertente Un altro circuito spesso usato è il sommatore invertente Amplificatore antilogaritmicoAmplificatore antilogaritmico Scambiando l'elemento di ingresso con quello |
![]() |
![]() |
PLASMA TWEETER Introduzione: Appassionato del mondo del Hi-Fi ,vengo
a conoscenza di un Tweeter (Altoparlante destinato a riprodurre i suoni
alti,dalla gamma vocale in su) per appassionati Audiofili prodotti negli anni ‘60,il
quale funzionava senza parti meccaniche
in movimento,fatto che gli conferiva una velocissima risposta e un’ottima efficienza.

Questo tweeter produceva il suono da una scarica elettrica ad altissima tensione,cosa che fece molto scalpore all’epoca;poche sono state le ditte che hanno cercato di rendere questo un prodotto commerciale,principalmente per due motivi costo della realizzazione e difficili tarature .In quegli anni infatti si disponeva solo di valvole termoioniche e pochi altri componenti (ben lontano dall’elettronica moderna basata principalmente su circuiti integrati)questo rendeva quindi molto costosi i dispositivi elettronici soprattutto della branca audio hi-fi.
Ricordiamo alcuni marchi quali Ionovac, Acapella e Magnat che
realizzavano suddetto dispositivo,per il resto veniva autocostruito da esperti
del settore audio e elettronico.
Il fatto più incredibile è pensare che una scintilla possa riprodurre un segnale
udibile, definito e irregolare quale la musica(è talmente al di fuori dalla
nostra concezione,che solo vendendolo ci si riesce a credere),questo mi spinse
principalmente a realizzarne un prototipo similare ;volevo infatti poter
assaporare questo effetto avvolgente omnidirezionale da molti descritto,il
“calore” del suono (a differenza di quello prodotto da un metallico tweeter a
membrana) e la vasta gamma di frequenze alte e altissime dai 2Khz oltre i 22KHz.
TEORIA:
Il Plasma In fisica e chimica,
un plasma è un gas ionizzato, costituito da un insieme
di elettroni
e ioni e
globalmente neutro (la cui carica elettrica
totale è cioè nulla). Essendo però costituito da particelle cariche, i moti
complessivi delle particelle del plasma sono in gran parte dovuti alle forze a lungo raggio che
si vengono continuamente a creare, e che tendono a mantenere il plasma neutro;
questo fatto stabilisce una differenza importante rispetto ai gas ordinari, nei quali i
moti delle particelle sono dovuti a forze che si estendono al massimo per qualche
primo vicino. In quanto tale, il plasma è considerato come il quarto stato della materia, che si
distingue quindi dal solido,
il liquido
e il gas.
'Ionizzato'
in questo caso significa che una frazione significativamente grande di
elettroni è stata strappata dagli atomi.
Le cariche elettriche
libere fanno sì che il plasma sia un buon conduttore di elettricità, e che
risponda fortemente ai campi elettromagnetici. Questo quarto stato della
materia fu identificato da Sir William Crookes
nel e
chiamato 'plasma' da Irving Langmuir
nel 1928. Le ricerche di Sir Crookes portarono alla realizzazione dei
cosiddetti tubi di Crookes, che erano gli antenati dei tubi catodici
e delle lampade al neon.

Mentre sulla terra la presenza del plasma è relativamente rara (fanno eccezione
i fulmini,
le aurore boreali
e le fiamme),
nell'universo costituisce più del 99% della materia conosciuta: si trovano
sotto forma di plasma il Sole,
le stelle
e le nebulose.
Inoltre, si ha una formazione di plasma sullo scudo termico
dei veicoli spaziali al rientro nell'atmosfera.
Il plasma è spesso definito come 'quarto
stato' della materia: in questo senso, esso riproduce l'idea dei quattro elementi, che storicamente si fa
risalire al filosofo
greco Empedocle.
I primi esperimenti riguardanti i plasmi coincidono però con le prime scoperte
sull'elettromagnetismo. Le prime scoperte sulle
proprietà delle scariche elettriche nei gas vengono fatte
risalire al leggendario esperimento di Benjamin Franklin,
che scoprì la natura elettrica del fulmine:
nel giugno , a Philadelphia,
egli usò come dispositivo un aquilone, legato all'estremità di un filo di canapa. All'altra
estremità egli appese una chiave, e portò l'aquilone vicino alle nuvole durante un temporale.
Tenendo a distanza con un nastro di seta l'estremità con la chiave, per
proteggersi le mani, vide che la chiave si muoveva per effetto dell'accumulo di
cariche elettriche, e che poteva caricare con questa una bottiglia di Leida (un tipo di esperienza che
egli aveva già effettuato nei suoi studi sull'elettrostatica).
Studi più precisi coincidono con la creazione dei primi tubi da vuoto, i tubi di Crookes appunto, che Sir William Crookes cominciò a studiare negli anni successivi al modificando il prototipo creato da Heinrich Geissler, che si chiama appunto tubo di Geissler. Proprio un tubo simile a questo portò Röntgen alla scoperta dei raggi X.
Gli studi sui plasmi rimasero però più che
altro una curiosità: fanno eccezione gli studi approfonditi di Irving Langmuir,
che studiò in particolare (negli anni successivi al ) l'interazione dei
plasmi con le pareti del contenitore nei quali i plasmi stessi venivano
formati: proprio per questi studi egli vinse il premio Nobel
nel .
L'interesse sistematico per lo studio dei plasmi inizia invece alla fine degli anni cinquanta,
quando
Più o meno nello stesso periodo cominciano i primi studi sugli effetti di un campo magnetico sui gas ionizzati (per es. della ionosfera) compiuti dal fisico svedese Hannes Alfvén, che lo porteranno a vincere il premio Nobel nel 1970. Questi studi porteranno alla spiegazione del meccanismo delle fasce di Van Allen in termini di moti di ioni ed elettroni.
Oggi la fisica del plasma è un settore in
piena espansione, non solo per quanto riguarda
IL TUONO
Ma è possibile che il plasma generi un suono??
pensiamo al tuono …

Il tuono è il rumore, improvviso e forte, provocato dal fulmine.
Il fulmine causa un forte aumento di pressione e temperatura che provoca la
rapida espansione dell'aria attraversata dal lampo. A sua volta, questa
espansione d'aria produce un'onda d'urto che si manifesta col rumore del
tuono.
La prima teoria sulle cause del tuono di cui si ha traccia è attribuita al
filosofo greco Aristotele, nel 300 a.C.,
ed una speculazione precedente che faceva riferimento alla collisione di
nuvole. Si susseguirono molte altre teorie: nella metà del XIX secolo
si accettava l'idea che il fulmine producesse il vuoto.
L'idea accettata oggi dice che il tuono è causato dall'enorme spostamento
d'aria che il fulmine
crea nell'atmosfera
quando scocca. L'aria
nei canali ionizzati che compongono il fulmine viene riscaldata a circa 28.000°C: ciò crea
un'espansione in volume del canale ad una velocità più alta di quella del suono. Ne consegue un'onda d'urto, simile a quella di un'esplosione
o di un aereo supersonico; ed è proprio l'onda d'urto
che genera il tuono, che può essere udito come un colpo secco e improvviso se
il fulmine è scoccato vicino all'osservatore; come un rumore diffuso e tenue
se scocca in lontananza, per effetto dell'eco e
del rimbombo.
IL TWEETER
Dello stesso produttore sono due tweeter con brevetti 2005:
Già negli anni sessanta,
il costruttore statunitense Magnepan brevettò un sistema a nastro per la riproduzione
della gamma alta impiegato nei propri diffusori acustici isoplanari, ovverosia
impieganti membrane piane in mylar costituenti sia i woofer che i
midrange. Il nastro in alluminio, largo un quarto di pollice, lungo circa
Quando sia richiesta grande potenza sonora, dell'ordine dei kilowatt, si ricorre ad una tipologia costruttiva in uso da decenni, denominata 'a compressione'; sono unità magnetodinamiche di forma cilindrica, con membrana metallica, le quali devono essere necessariamente accoppiate ad un carico costituito da una tromba, realizzata generalmente in alluminio pressofuso, avente la bocca di emissione di forma rettangolare, sono in commercio anche modelli di fascia economica realizzati in plastica. La qualità audio di queste unità è inferiore alle altre tecnologie ma è l'unica che permette di ottenere grandissime pressioni acustiche (Decibel).
Altri esempi di diffusori a tromba sono quelli normalmente usati nei concerti,
essendo infatti caratterizzati da una alta efficienza si possono utilizzare
amplificazioni di minor potenza a parità di pressione acustica generata.
Il tweeter è facilmente riconoscibile in un diffusore in quanto è il driver con
la membrana più piccola fra tutti quelli presenti. Ultimamente, come già citato
in premessa, la tecnologia di costruzione si sta specializzando verso driver
che siano capaci di superare il limite dei 20 KHz, e che arrivino fino a 100
KHz, il tutto grazie soprattutto ai nuovi formati audio che sono stati
ultimamente immessi sul mercato, come i SACD (Super Audio CD) o i DVD Audio,
che possono registrare suoni caratterizzati appunto da una maggiore frequenza
massima rispetto al cd tradizionale. I tweeter che in genere permettono di
riprodurre un tale range di frequenza sono chiamati supertweeter.Tra questi rientrano i tweeter al plasma .i tweeter
Elettrostatici e altri.
Principio di Funzionamento:
Il tweeter al plasma è un trasduttore acustico, ma
invece di impiegare una membrana mobile (come i classici altoparlanti) diffonde
delle onde di pressione per mezzo di una scarica elettrica (che essendo formata
da ioni è,per l’appunto, plasma).
Sembra strano, ma è realmente possibile creare delle onde di pressione (e
quindi diffondere il suono) tramite un minuscola scarica elettrica. Per
togliere ogni dubbio basti pensare ai fulmini (come abbiamo già descritto in
precedenza il tuono è il risultato acustico della veloce espansione dell'aria
surriscaldata dalla scarica).Il tweeter ,infatti,funziona perché il plasma è
composto da ioni che hanno una loro massa e una loro densità. Poiché la densità
del plasma è diversa da quella dell'aria fredda che circonda la scarica, se
riusciamo a modulare le dimensioni della scarica, otteniamo anche lo
spostamento del fronte di confine fra aria fredda e plasma. In virtù della
differenza di densità, lo spostamento del confine aria-plasma provoca uno
spostamento della stessa aria e, di conseguenza, si originano le onde di
pressione responsabili della diffusione del suono.
Uno dei pregi del Tweeter al Plasma è che la scarica viene modulata in tutte le direzioni in maniera più o meno uniforme, allo stesso modo le onde di pressione prodotte si espandono nello spazio in tutte le direzioni. In altre parole l'emissione è omnidirezionale. Questo forse è il principale vantaggio del tweeter al plasma. Infatti ascoltando un tweeter al plasma da solo, si ha come l'impressione che il suono sia già nell'aria e non che provenga da un punto preciso.
Il secondo,ma non meno importante,vantaggio è che le masse in movimento sono estremamente ridotte e permettono di riprodurre anche le frequenze ultrasoniche;come già detto è solo il plasma a muoversi quindi una risposta molto veloce alla variazione del segnale .
Alcuni difetti del Plasma Tweeter come la massima pressione acustica
prodotta, così come la frequenza di taglio inferiore, dipendono dalle
dimensioni della scarica; se voglio aumentare il massimo volume prodotto oppure
se voglio diminuire la frequenza di taglio, devo necessariamente allungare la
scintilla,cosa che richiede tensioni ancora più elevate per generare il plasma.
Altri due svantaggi ma facilmente eliminabili sono:
- Il plasma prodotto ionizza l’aria circostante durante l’arco, l’ossigeno
circostante (O) si trasforma in (O3) Ossigeno Triatomico comunemente chiamato
Ozono;Questo è lievemente irritante in grandi quantità e ha un odore
caratteristico. Per ovviare a ciò si crea una camera di combustione per il
plasma ma si perde l’effetto avvolgente,oppure più semplicemente aprire una
finestra un poco nella sala di ascolto.
- L’arco ad alta tensione in RF (Radio Frequency) crea disturbi
elettromagnetici,per sopprimere questa caratteristica doteremo quindi le punte
scaricanti di una gabbia di Faraday ,che elimini i disturbi e metta in
sicurezza le persone nel caso qualcuno venga accidentalmente a contatto con il
plasma (tra l’altro particolarmente caldo).
Principalmente esistono due tipologie di questo tipo di “altoparlante”:
- I tweeter a corona,ovvero sfruttano una scarica a corona prodotta da un
generatore di Tesla,le scariche vengono modulate poi in ampiezza (AM).
- I tweeter ad arco ,ovvero sfruttano il plasma creatosi tra due elettrodi per
via di un elevatore di tensione,l’arco viene modulato in larghezza di impulso
(PWM)
Nel mio caso ci dedicheremo alla costruzione di quest’ultimo per la sua relativa
semplicità di costruzione.
Teoria Elettronica:
Modulazione PWM:
Come abbiamo precedentemente
accennato,utilizzeremo un modulatore PWM(Pulse Width Modulation)per realizzare
il tweeter,ma vediamo in dettaglio di cosa si tratta.
La modulazione PWM consiste nel variare la durata degli impulsi della portante, proporzionalmente ai valori istantanei del segnale modulante; il periodo e
l’ampiezza degli impulsi sono mantenuti costanti. Ciò può essere ottenuto spostando in sensi opposti gli istanti relativi al fronte di salita e a quello di discesa degli impulsi, oppure tenendo fisso uno dei due fronti e modulando l’altro.
Un metodo per generare un segnale PWM può essere schematizzato come
segue:
una forma d’onda a dente di sega(triangolare)
è applicata al comparatore, il cui livello di soglia è funzione del segnale
modulante ; la successione di impulsi che si ha all’uscita del comparatore ha
ampiezza costante,però durata che è funzione del segnale modulante.
Nello spettro sono presenti la frequenza di ripetizione degli impulsi, la
frequenza modulante, le loro armoniche e tutte le possibili combinazioni di
somma e differenza.
In blu il segnale triangolare, in verde la modulante e in rosa il segnale Pwm
finito.

La demodulazione può essere ottenuta, come nel
caso della modulazione PAM, applicando il segnale PWM ad un filtro passa-basso.
Utilizzeremo la modulazione pwm per pilotare un carico induttivo (il
trasformatore di riga) e potremmo variarne la corrente (ovvero modulare la larghezza dell’arco di
plasma..) con il principio base della
tecnica ad impulsi:
Concettualmente la tecnica è molto semplice:
consiste nell'inviare la tensione di alimentazione al carico per un certo
periodo di tempo, intervallato da un altro periodo in cui la tensione è nulla.
Il seguente grafico mostra l'andamento temporale della tensione: 
|
Dove: |
|
|
Va: |
E' la tensione di alimentazione. |
|
T1: |
E' il tempo in cui la tensione è applicata al carico. |
|
T2: |
E' il tempo in cui la tensione è nulla. |
|
T: |
E' il tempo totale della durata dell'impulso. |
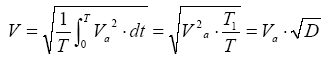
La tensione impulsiva sul carico viene mediata dal carico
stesso che, a tutti gli effetti, è come se fosse alimentato da una tensione
efficace V pari a: 
La precedente relazione mostra che è possibile variare la velocità del motore o
la luminosità di una lampada agendo sul
duty-cycle del segnale di comando D.
Mosfet:
Per amplificare utilizzeremo dei
transistor di tipo mosfet,guardiamo in dettaglio il loro funzionamento e il
motivo di questa scelta progettuale.
Il Mosfet (Metal Oxide Semiconductor Field Effect Transistor) è un tipo di
transistor comandato in tensione,ovvero la sua corrente di uscita è proporzionale
alla tensione in ingresso.
Il mosfet ha 3 terminali G(gate),D(drain);S(source).
La curva di uscita del mosfet ci indica il suo funzionamento
Superata la tensione di soglia VthGS si crea una canale conduttivo tra D e S.
Aumentando la tensione ds partendo da 0 troviamo prima una zona in cui il mos
si comporta come una resistenza comandata in tensione(VCR)(modulazione della
larghezza del canale) superata una certa tensione VDS (che varia da mos a
mos)il mos entra in conduzione totale e la corrente Id rimane costante.
Ma perché scegliere un mosfet per amplificare in potenza?
Semplice perché il suo guadagno in potenza Gp tende a infinito:
P= V*I P=V^2/R
Gp=Pout/Pin Pout=Vout^2 /Rout Pin=Vin^2 / Rin
Noi sappiamo che il mos ha un impedenza in ingresso infinita e un impedenza in
uscita che tende a 0.
Ne deriva che Pout tende a infinito
Quindi Gp tende all’infinito per questo si sceglie un mosfet per amplificare in
potenza.
Schema a Blocchi:
Modulazione Pwm:
Come modulatore Pwm si poteva usare come abbiamo visto
un generatore dente di sega e un comparatore,ma questa soluzione non risulta
essere prestazionale e pratica,perciò si è scelto di usare un modulatore
integrato

Lo schema circuitale è stato preso da un circuito di test fornito datasheet e
rielaborato per mettere la musica come modulante ,all’ingresso del dead-time
control, nel nostro caso è un segnale audio di banda lorda compresa tra 0 e
22Khz,prelevato da un sorgente audio di qualità preferibilmente
amplificata(pc,mp3,lettore cd+amplificatore,..).
La portante generata internamente all’integrato è un segnale dente di sega di
frequenza regolabile mediante potenziometro,nel nostro caso la frequenza della
portante deve essere maggiore della massima frequenza udibile dall’uomo,ovvero superiore
21Khz,in modo da evitare che durante l’ascolto si possa sentire la
portante;perciò la frequenza della portante deve ricadere nelle frequenze
ultrasoniche.
-
Squadratura E Preamplificazione:
Per pilotare il mosfet si possono
usare due semplici transistor in configurazione push-pull oppure usare uno degli integrati appositamente
studiati per questa funzione.
Gli amplificatori push-pull sono costituiti da due transistor (uno pnp,
l'altro npn) che funzionano in modo complementare: l'uno è attivo quando
l'altro è interdetto; uno funziona quando il segnale d'ingresso è positivo,
l'altro quando è negativo.
Stadio Push & Pull per pilotare gate dei mosfet di potenza:

La soluzione del push-pull offre vantaggi di economicità e reperibilità dei
componenti (possono essere usati transistor economici come BD140 e BD139(Allegati
Datasheets)) a discapito della velocità più bassa di quella ottenibile dai
componenti realizzati per questo specifico uso e della tensione erogabile dal
push-pull, che è la stessa presente all'ingresso del push-pull stesso, ma
incrementata di 0,6-0,7V rispetto allo 0 logico e decrementata di 0,6-0,7V
rispetto all'1 logico.
Nel mio caso per pilotare il push-pull usando il modulatore PWM che varia da
- Amplificazione di Potenza Per Amplificare in potenza si è scelto di
utilizzare transistor di tipo Mosfet per
la caratteristica di alto Guadagno in Potenza ,in questo caso useremo un
mosfet che sarà pilotato dal precedente
stadio di preamplificazione.
Questo Amplificatore sarà alimentato a 24V 5A per ottenere una buona
amplificazione di potenza.
Il Mosfet di potenza utilizzato è un IRFP450(Datasheet Allegato) in modalità
switching (interruttore aperto/chiuso) .
Si è posta una resistenza di gate per diminuire leggermente la velocità di
commutazione dovuta alla carica della capacità di gate.
- Elevatore di Tensione Per elevare la tensione occorre un trasformatore
elevatore che sia in grado di creare delle tensioni nell’ordine dei KV,infatti
il nostro scopo è quello di creare una scarica elettrica sufficientemente lunga
, affinché scocchi la scintilla sono necessarie tensioni molto elevate poiché la rigidità dielettrica dell’aria (al
livello del mare con poca umidità)è di 3 KV/mm ,per il nostro scopo sono
sufficienti 25Kv. Dove trovare un simile trasformatore?? Semplice in qualsiasi
dispositivo a tubo catodico;Infatti il tubo catodico per funzionare necessita
di altissime tensioni che gli vengono fornite da un trasformatore di riga
(“FlyBack”).
Nel mio caso ho recuperato un trasformatore di riga da un vecchio monitor
CRT(Cathode Ray Tube)(Tubo a Raggio Catodico),Il trasformatore usato è un
modello abbastanza recente (1997) ,esso comprende al suo interno un
moltiplicatore di tensione costituito da diodi e condensatori (Configurazione
Crockof-Walton),per cui la sua uscita sarà raddoppiata e in continua.
Ho provato a cercare il datasheet per
utilizzare i suoi avvolgimenti interni,ma è quasi impossibile trovare il
datasheet specifico di ogni singolo trasformatore di riga,perciò ho realizzato
un avvolgimento primario sulla ferrite del trasformatore;per trovare il numero
giusto di spire si è proceduto per via sperimentale da 15 fino a 8, con le
quali si è ottenuto un suono sufficientemente pulito ,nessun disturbo di
alimentazione e una lunghezza dell’arco ottimale.
- Spark Gap : La scintilla viene fatta scoccare tra due puntali
regolabili in acciaio,per variare la lunghezza dell’arco elettrico.
- Blocco Di Alimentazione:
Per Alimentare il dispositivo da me progettato con la tensione di rete,occorrerà
realizzare un alimentatore che fornisca due tensioni continue:
una +12V e l’altra +30V.
Per la circuiteria di controllo logica e la preamplificazione useremo un
alimentatore elettronico 12V 1.6A .
Come trasformatore per la parte di potenza
prenderemo uno a doppio avvolgimento secondario(12 + 12) in modo da poter
utilizzare i due secondari in serie e avere i 24V .
(Per questo motivo però il trasformatore andrà scelto con ….)
Si sceglie di usare sia per reperibilità che per le caratteristiche del
circuito la seguente tipologia di trasformatore:
Caratteristiche:
Primario: 230V ~ 50-60Hz 150W
Secondario1 12V ~ 6A
Secondario2 12V ~ 6A
Il trasformatore è sovradimensionato per ottenere un ottima affidabilità.
Per avere un valore indicativo di uscita troviamo i due valori efficaci di
tensione:
Veff1=12*√2=16,8V
Veff2=24*√2=33,6V
Poniamo subito la condizione che il ripple massimo ammesso
in questa applicazione sia 10% ovvero r
=(Ripple) -> 0,1
Dimensioniamo l’alimentatore che fornirà i +24V: Vdc=24V Idc=6A Otteniamo la resistenza di carico
Rc(Resistenza di Carico Dell’Alimentatore)=Vdc/Idc
Dove Vdc è la tensione continua che vogliamo e Idc la corrente,rispettivamente:
Rc=4Ω
Condensatori di filtro:
Si è scelto di usare poi un filtro capacitivo per livellare la tensione,per
calcolare la capacità di filtro usiamo la seguente formula:
C= 1/(4√3*f*r*Rc)
Dove: f è la frequenza della tensione di rete,nel nostro caso 50Hz;r è il
ripple.
Quindi C=1/(6,92*50*0,1*4)=1/138,56=7217μF
Per ottenere questa capacità utilizziamo due condensatori in parallelo:
C’= C/2 = 7217/2 = 3608 μF
Per reperibilità di valore commerciale
scegliamo di usare due 3300 μF
con tensione massima sopportabile 65V.
Troviamo quindi la tensione uscente dal filtro con i valori commerciali di
condensatori,
non tenendo conto di eventuali cadute di tensione dei diodi e del
trasformatore:
Vm= Vdc+Idc/(4*f*C) = 24+3/(4*50*0,0066) =24+(3/5,28)=24+0,568 = 24,57V
La tensione rientra nei parametri accettabili di alimentazione del mosfet.
Dimensioniamo ora il ponte di diodi (o Ponte di Gretz),atto al raddrizzamento
della tensione alternata:
Ponte di Diodi:
Massima corrente sul diodo, Id(max)= Idc*π*√(f*C*Rc) =
3*3,14*√(50*0,0066*4) = 10,8A ≈ 11A
Ma siccome utilizziamo un radrizzatore a doppia semionda (Ponte di Gretz)
questo valore andrà diviso per due:
Imax(gretz)= Id(max)/2 = 11/2 = 5,5A
Per questo utilizzo opteremo per un ponte 1000V 25A, Sigla KBPC2504N,facilmente
reperibile.
Ecco lo schema
elettrico dell’alimentatore:

LISTA COMPONENTI:
Ponte - KBPC2504N
C1,C2 – 3300 uF Elettrolitico 65V
Correlazioni:
Italiano Futurismo e il
‘900
L’idea di suonare la musica con il fuoco altamente
avanzata e tecnologica ,sarebbe di sicuro piaciuta agli ardenti poeti militanti
del Futurismo.
Il Futurismo è un movimento che nasce per mano di Filippo Tommaso Marinetti
quando ne scrive il suo manifesto nel
Il movimento Futurista è all’avanguardia su tutte le arti,i futuristi elogiano
la civiltà delle macchine meccanizzata,volevano liberare l’italia dalla
tradizionale cultura borghese.
La prima rivista futurista nasce nel 1913 “L’Acerba” dove dominano
slogan,valori in conflitto con la società con la quale vi è una drastica
rottura.
I Futuristi furono ardenti interventisti ,molti di loro furono fascisti a
oltranza,avevano il mito del militarismo della velocità (“ Una Macchina che
corre è più bella della vittoria di
Somotracia”).
Le opere scritte dai futuristi rompono con il
passato,usano neologismi,parole onomatopeiche; La sintassi viene abbattuta. Le
parole devono creare forte dinamismo e velocità,devono essere violente
accese,questo secondo i poeti futuristi.
Storia Bomba Atomica –
Fine della Guerra
Come sappiamo il plasma si crea sotto alto voltaggio cosa
che venne anche usata da Enrico Fermi
nel suo acceleratore ad alta tensione con cui fece collidere le particelle
per scoprire la scissione atomica con
cui realizzò alcuni prototipi di bomba atomica ,che poi venne usata dagli americani per
terminare la guerra contro il Giappone.
TDP Tutto Sul Mosfet
(Potenza)
Nel progetto viene utilizzato un mosfet di potenza IRFP450)
Come vengono realizzati i mos di potenza??
TLC Le modulazioni Impulsive
(Approfondimento su come mai dalle modulazioni
impulsive si passa alle digitali(PAM HDB3)
In questo progetto si parla di modulazioni impulsive(in questo caso PWM)
Ma vediamo le altre modulazioni
impulsive:
-PAM ( Pulse Amplitude Modulation )
-PPM ( PUlse Position Modulation )
Si poi passa alle Modulazioni Codificate quali:
PCM ( Pulse Code Modulation )
DM ( Delta Modulation )
La modulazione più usata tra queste nelle telecomunicazioni è
La
- Europeo
- Americano
- Lungo la linea ci sono trasformatori di disaccoppiamento che bloccherebbero
la componente continua del segnale PCM.
-L’uno logico del segnale permette un erogazione in di pochi mA.
- Il segnale PCM con lunghe sequenze di zeri non permette l’estrazione del
segnale di sincronismo
,perciò si ricorre a codici numerici di linea
ELT/SIST I Filtri Attivi
nella riproduzione hi-fi (1°Ordine e 2°)
Nella dell’audio elettronica ci si trova a dover filtrare il segnale per
pilotare selettivamente tweeter ,mid-range, mid-woofer,woofer,subwoofer.
Spesso si ricorre a crossover (Filtri Passivi) ,a questi sono poco precisi nel
taglio di frequenze e poco stabili ,non hanno un amplificazione del segnale al
loro interno.
Per Questo si ricorre ai filtri attivi con l’uso di Amplificatori Operazionali:
Con questi si possono realizzare filtri del
primo tipo (ovvero taglio -20db su decade);i filtri attivi del 1° tipo possono
essere:
-Passa Basso
-Passa Banda
-Passa Alto
-Elimina Banda
Questi filtri possono essere realizzati sia con l’op.amp.in configurazione
invertente ,che non invertente.
Per avere una
pendenza di taglio maggiore(-40db su decade)
si passa ai Filtri del 2° Ordine;esistono due tipologie:
- A Retroazione Multipla
- VCVS
I filtri vengono anche classificati per il loro fattore di smorzamento ( ζ
)(“Zita”), in tal caso prendono il nome dal loro scopritore/inventore:
ζ=0,707 Butterworth
ζ= 0,58 Bessel
Chebyshev
Diritto Titoli Di Credito:
Per poter acquistare un diffusore professionale al plasma dalle poche aziende
che lo producono(“MAGNAT”), (costo oltre i 5000€) ,avrei bisogno sicuramente di un
finanziamento bancario, quindi la banca emetterà a nome del beneficiario
(l’azienda”MAGNAT”) un assegno circolare
non trasferibile a fronte del pagamento.
![]() |
| Appunti su: schC3A9ma tweter transistors, schema elevatore di tensione elettronica pratica, altoparlante plasma, plasma gas tweteer, materiale per tweeter ioni, |
|
| Appunti Ingegneria tecnico | ![]() |
| Tesine Gestione | ![]() |
| Lezioni costruzione | ![]() |