![]() |
|
| Appunti tecniche |
|
| Visite: 4044 | Gradito: |
Leggi anche appunti:Saldatura TIGSaldatura TIG La Saldatura TIG (Tungsten Inert Gas) o GTAW (Gas Tungsten Arc TermodinamicaTermodinamica La macchina a vapore La seconda legge della termodinamica Prove con il carburatore elettronico comandato in retroazioneProve con il carburatore elettronico comandato in retroazione 1 |
![]() |
![]() |
Distribuzione
|
La distribuzione |
|
La distribuzione nelle corse |
|
Punterie |
|
Molle meccaniche per alte velocità |
|
Profilo dell'eccentrico |
|
Molle pneumatiche |
|
Numero di valvole |
|
Sistema desmodromica |
|
Distribuzione desmodromica |
|
Distribuzioni variabili |
|
Valvole |
|
La scelta dell'albero a camme |
|
Valvola a fungo |
|
Novità |
|
Materiali |
|
|
|
Albero a camme |
|
|
|
Diagramma della distribuzione |
|
|
La distribuzione
Con il termine di distribuzione si intende quel complesso di aperture e chiusure dei condotti di alimentazione e di scarico, che consentono, con la loro giusta ritmicità, lo svolgimento delle fasi descritte nel ciclo teorico.
In un motore a quattro tempi la distribuzione è assicurata da valvole (generalmente del tipo a sede conica) che aprono sotto l'azione di eccentrici detti Camme, calettati su un albero rotante parallelo all'albero principale (albero a gomiti, o albero motore) e da esso azionato, e si richiudono perché spinte sul proprio seggio da molle tarate.
Nei comuni motori, sono sufficienti due valvole, una per l'aspirazione e l'altra per lo scarico dei gas combusti in ogni cilindro; nei motori da competizione si ricorre ad un numero di valvole maggiora per assicurare un perfetto riempimento dei cilindri.

Gli organi principali della distribuzione sono le valvole (guide, sedi, molle) e tutti i componenti che le azionano, ovvero l'albero a camme, che comanda l'apertura e la chiusura delle valvole, le punterie le aste e i bilancieri.
Fino a qualche anno fa il sistema più usato era il sistema ad aste e bilancieri, ovvero l'albero a camme alloggiato nel basamento e disposto in posizione laterale o fra le due bancate nei motori a V, però esistono altre disposizioni.
Attualmente la tendenza è quella di adottare una soluzione monoalbero o bialbero alloggiati nella testa, ciò consente di eliminare le aste di rinvio e a diminuire le masse in movimento
Punterie
Le valvole vengono sollevate dalle loro sedi grazie all'adozione degli eccentrici dell'albero a camme e vengono rinchiuse da molle elicoidali, sia nel caso di distribuzioni ad aste e bilancieri, sia nel caso di distribuzioni mono o bialbero, l'eccentrico non può agire direttamente sullo stelo delle valvole o sull'asta.
Quindi fra la camma e la valvola si interpone sempre un organo di forma cilindrica realizzato in acciaio.

L'eccentrico agisce sulla superficie piana della punteria che in alcuni casi può essere di diametro anche notevolmente maggiore a quella del mantello del cilindro (punteria a piattello).
L'estremità opposta della punteria è cava e, a seconda della configurazione della distribuzione, reca una sede in cui si alloggia l'asta (configurazione ad aste e bilancieri) o lo stelo della valvola (motori mono-bialbero a camme in testa).
Si utilizzano le punterie perché date la ridotta superficie dell'estremità superiore dello stelo, comporterebbe una rapida usura della superficie a contatto dovute alle eccessive pressioni specifiche , e lo stesso sarebbe sottoposto a continui sforzi di flessione a causa della componente laterale della spinta impressa dall'eccentrico.
Il profilo dell'eccentrico
Il movimento della valvola è determinato dal profilo dell'eccentrico che deve essere accuratamente studiato in modo in maniera da contenere le accelerazioni e le sollecitazioni imposte dagli organi comandati.
Quando la valvola è in posizione di riposo chiude il condotto poggiandosi sulla sede grazie all'azione svolta dalla molla di richiamo. In questo caso la punteria è in contatto con il cosiddetto 'cerchio di base' dell'eccentrico, invece quando la punteria è a contatto con il cosiddetto 'naso della camma', la valvola vince la forza della molla di richiamo e la valvola si apre.

L'apertura e la chiusura della valvola sono raccordate da una zona detta ' rampa di raccordo' una chiusura non progressiva danneggerebbe irrimediabilmente valvole e sedi.
Il profilo dell'eccentrico insieme alla fasatura influisce in maniera determinante sulle caratteristiche e sulle prestazioni del motore.
Numero di valvole
Nei motori di elevate prestazioni ed in tutti quelli da competizione, da alcuni anni si utilizzano distribuzioni a 4 valvole per cilindro. Tale soluzione consente a parità di alesaggio, di ottenere sezioni di passaggio per i gas considerevolmente maggiori(facilitazione del motore a respirare a regimi molto alti, quindi maggiore potenza agli alti regimi), e una camera di combustione con conformazione molto razionale con la candela disposta centralmente (migliore propagazione di fiamma).

Le due valvole di aspirazione giacciono da una parte della testa e le 2 di scarico dall'altra. Si deve tener presente che, impiegando le valvole di dimensioni minori rispetto a 2 grandi, è possibile, a parità di sollecitazioni meccaniche, di raggiungere regimi di rotazione più elevati, grazie alla minor massa di componenti in modo alterno (valvole è punterie sono più leggere), e le valvole di scarico lavorano a temperature più basse e hanno un minor tendenza a deformarsi. Non mancano esempi nell'attuale produzione motoristica di distribuzione plurivalvole anche a tre valvole e sei valvole o 5 valvole.

Distribuzione desmodromica
Quando a regimi elevatissimi le punterie non rimane a contatto con l'eccentrico, si dice che il motore 'sfarfalla', si tratta di una situazione da eliminare in maniera più assoluta, perché può portare a danneggiamenti meccanici molto gravi.
Viene detta desmodromica una distribuzione nella quale non ci sono molle, a riportare le valvole in posizione di chiusura, ma un sistema meccanico diretto.

Questa soluzione consente un'ottima affidabilità e la capacità di poter raggiungere regimi di rotazione molto elevati. La soluzione desmodromica (ne esistono di diversi tipi) è quella di avere un doppio albero a camme in testa con un eccentrico di apertura che agisce su una punteria a pattino mentre quello di chiusura assicurava il richiamo della valvola per mezzo di un bilanciere a due bracci disposti a circa 90° tra di loro che contattava l'eccentrico mentre l'altro era vincolato allo stelo della valvola.
Valvole
La funzione della valvola nel motore a combustione è quella di regolare l'afflusso dei gas freschi e il deflusso dei gas combusti nel cilindro durante le diverse fasi del ciclo.
Per queste ragioni nei comuni motori esistono due tipi di valvole una per l'aspirazione e l'altra per lo scarico, che mettono in comunicazione, al momento opportuno il cilindro rispettivamente con il collettore di aspirazione e con il collettore di scarico.
Tra gli innumerevoli tipi di valvole che sono state escogitate, quelle destinate ai motori a combustione interna devono soddisfare diversi requisiti di funzionamento: devono sopportare temperature di esercizio di circa 700 - 800° C, devono consentire un veloce passaggio dei gas e assicurare una perfetta tenuta nel periodo in cui il flusso deve essere interrotto; inoltre è necessario che la massa delle valvole sia contenuta entro il minimo indispensabile, onde consentire al motore di raggiungere un elevato regime di rotazione.
Tali richieste pongono vincoli relativi sia alla geometria che ai materiali utilizzati, comunque dopo soluzioni passate come le valvole rotative o a fodero, oggi sono universalmente utilizzate le 'valvole a Fungo'.
Valvole a fungo
E' la valvola che realizza il miglior rapporto tra sezione di passaggio impegnata e il flusso dei gas che lo attraversano, oltre ad assicurare una affidabilità che difficilmente potrebbe essere attuata altrimenti.
La valvola è composta essenzialmente da una testa a forma di fungo e da uno stelo, o gambo; la testa può essere piana o convessa; lo stelo di forma cilindrica allungata, è la parte che scorre nella guida.
La sua estremità, detta codolo è accoppiata a uno scodellino su cui agisce la molla di richiamo; l'accoppiamento è realizzato mediante due semiconi o assai più raramente mediante un forcellino innestato nella cava dello stelo. Queste cave possono assumere diverse forme in relazione ai differenti sforzi e esigenze d'installazione, il principio di funzionamento è analogo a quello di un tappo di lavandino: un corto tronco di cono, con angolo al vertice molto grande, viene fatto aderire a una sede avente la stessa apertura e angolo al vertice minore di circa mezzo grado per assicurare una miglior tenuta.
L'angolo al vertice viene determinato in base alle caratteristiche del motore in sede di progettazione di solito 45°, ma angoli compresi fra 20 - 30° garantiscono una miglior tenuta, angoli fra 60 -70° migliorano il raffreddamento delle valvole e comportano una maggiore estensione della superficie di contatto.
La valvola a sede conica si è potuta affermare in questi anni, grazie al fatto che offre la necessaria tenuta anche in condizioni precarie, e poi la simmetria circolare facilita le lavorazioni richieste dalla fabbricazione della valvola stessa e della sede della guida.
La valvola con sede conica assicura per di più una sufficiente insensibilità alle deformazioni, che il sistema sede-valvola inevitabilmente subisce durante l'esercizio prolungato del motore, legato alle notevoli sollecitazioni meccaniche (urti della valvola contro la sede al momento della chiusura) e termiche che tendono in ogni modo a pregiudicare la tenuta.
Per eliminare eventuali depositi carboniosi e per ovviare a piccole deformazioni, con opportune punterie si fanno compiere alla valvola lievi rotazioni, allorché essa si solleva dalla sede.
Materiali
Nei motori con testata in ghisa le sedi sono ricavate direttamente per lavorazioni direttamente nelle teste, nei motori con testata in alluminio si praticano dei fori in cui si inseriscono le sedi realizzati con materiali più duri come ghisa e acciaio legati con eventuali riporti in stellite.
Le valvole di aspirazione lavorano a temperature di circa 500°C (perché raffreddati dalla miscela fresca che entra) sono costruite in acciaio al carbonio, al nichelcromo o al cromo silicio, temprati per resistere alle sollecitazioni meccaniche.
Le valvole di scarico sono più sollecitate poiché raggiungono temperature di 700 - 800°C, si usano valvole in acciaio al nichelcromo austenitico, in alcuni motori si usano valvole bimetalliche che si adottano meglio ai differenti regimi di temperatura cui sono sottoposti il fungo e lo stelo; il fungo è realizzato in acciaio al nichelcromo manganese, lo stelo in acciaio cromo silicio, le due parti sono saldate per attrito e rifinite mediante rettifica.
Nei motori sportivi o da competizione, si usano valvole cave riempite parzialmente con sali di sodio, che liquefano a circa 100°C, e circolano fra la testa e lo stelo, ciò produce un'efficiente conduzione del calore dalla testa al gambo, e quindi al liquido di raffreddamento che scorre nelle testa.
Le difficoltà di raffreddamento delle valvole sono proporzionali alle dimensioni delle valvole, per questo motivo si preferisce adottare un maggior numero di valvole piccole, che si raffreddano più velocemente.
Albero a camme
Il dispositivo che provvede a comandare le valvole si chiama albero a camme
È realizzato in acciaio e ghisa, normalmente cementato o carbonitrurato in corrispondenza degli eccentrici per migliorare le caratteristiche di durezza. Si tratta di un albero sul quale gli eccentrici vengono ricavati e opportunamente sagomati per comandare le valvole interagendo, a seconda dei casi, con punterie e bilancieri.
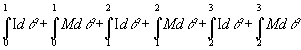
Diagramma della distribuzione
L'orientamento delle camme che comandano le valvole di aspirazione rispetto a quelle di scarico determina il diagramma della distribuzione:
che si ottiene riferendo il moto delle valvole e del pistone all'angolo di rotazione dell'albero motore. Si nota che le fasi non coincidono con le corrispondenti corse del pistone, come previsto dal ciclo teorico. Poiché le accelerazioni imposte dalle valvole non possono superare certi limiti legati alla resistenza del materiale utilizzato, l'inizio del moto viene anticipato di 15° - 5° in modo da riuscire a ottenere un'apertura uniforme senza strappi istantanei. Inizialmente lo spostamento è minimo rispetto alla rotazione della camma, poi l'alzata aumenta in proporzione all'angolo di rotazione, fino a raggiungere il valore massimo in prossimità di metà corsa del pistone. Nel caso delle valvole di aspirazione, per consentire il massimo riempimento del cilindro la successiva chiusura avviene con un notevole ritardo (35° -70°), rispetto al punto morto inferiore: questo per sfruttare l'inerzia della miscela aspirata che, grazie alla velocità acquisita (100m/s) continua ad affluire nel cilindro anche quando il pistone inizia a risalire. Analogamente la valvola di scarico inizia la sua apertura con un anticipo che varia da 35° a 65° rispetto a PMI.
In quest'ultima parte della corsa il lavoro utile prodotta dall'espansione dei gas è bassissimo, conviene quindi ampliare la fase di scarico a scapito di quella di espansione. IL moto della valvole di scarico si svolgere in maniera analoga a quella di aspirazione: essa tuttavia, si chiude con un ritardo compreso fra i 2° e i 30° rispetto al PMS, al fine di sfruttare l'inerzia dei gas che, sempre a causa della velocità acquisita, continueranno a uscire pur non essendo spinti dal pistone.
Questa fase detta incrocio, è determinante per il rendimento e per le prestazioni del motore, che possono variare sensibilmente in funzione del diagramma delle distribuzione scelto.
Nella fase di incrocio si sfrutta l'inerzia dei gas combusti i quali, avendo acquisito una certa velocità (i gas di scarico lambiscono la valvola con una velocità pari a quella del suono 360m/s) tendono a proseguire il loro cammino verso i condotti di scarico anche quando il pistone si trova in posizione prossima al PMS. La leggera depressione che il gas di scarico si lascia alle spalle esercita un effetto definito estrattore sulla miscela fresca, richiamandola nel cilindro all'apertura della valvola di aspirazione.
L'evacuazione dei prodotti della combustione rimasti nel cilindro può essere quindi favorita dall'ingresso della carica fresca con un flusso orientato, tale da esercitare una vera e propria azione di lavaggio.
La corretta scelta dell'anticipo di apertura della valvola di aspirazione, in questo senso incide sul riempimento del cilindro, migliorando sensibilmente il rendimento volumetrico, ma può influire in maniera anche incisiva sui consumi (nonché sull'emissione nociva di prodotti incombusti). Infatti, se la chiusura della valvola di scarico avviene in eccessivo ritardo, parte della carica fresca verrà inevitabilmente trascinata con essi, andando irrimediabilmente persa. Allo stesso modo risulterà nocivo l'eccessivo anticipo dell'apertura della valvola di aspirazione: oltre a defluire verso lo scarico, i gas incombusti tendono a invadere il condotto di aspirazione, peggiorando notevolmente il rendimento del motore.
La scelta del diagramma della distribuzione è un compromesso a cui scende un costruttore per fornire all'utenza un motore che possieda alcune caratteristiche spesso fra loro antitetiche: una elevata coppia ai bassi regimi, una buona potenza massima, consumi limitati e ridotte emissioni nocive. L'apertura e la chiusura rispettivamente della valvola di aspirazione e di scarico influenzano in modo determinante le curve caratteristiche di coppia e potenza di un motore.
L'istante di apertura della valvola di aspirazione incide notevolmente sull'elasticità del motore del propulsore: un anticipo elevato (> 30°) garantisce un buon riempimento del cilindro solo agli alti regimi, mentre a quelli bassi coppia e potenza sono piuttosto scarsi. Un elevato anticipo di apertura, inoltre, riduce a tal punto la depressione nel collettore di aspirazione da rendere precario il funzionamento del servofreno pneumatico. La chiusura della valvola di aspirazione è il parametro che maggiormente influenza la potenza erogata dal motore. Il ritardo di chiusura permette di migliorare notevolmente il riempimento dei cilindri, ma se diviene eccessivo (oltre i 60° - 70°) permette al motore di esprimere la propria potenza solo agli alti regimi come avviene nei motori da competizione.
Di contro una chiusura anticipata rende il motore molto docile, pronto alle accelerate fin dai regimi più bassi, ma non consente di raggiungere notevoli picchi di potenza. L'apertura della valvola di scarico non porta apprezzabili variazioni di coppia e potenza, sempre che l'anticipo sia contenuto entro limiti ragionevoli ( non oltre i 60° - 70°). Di contro, un ritardo dell'apertura consente di ottenere un lieve incremento di coppia ai bassi regimi e una ridotta emissione di CO e NO. La chiusura della valvola di scarico, infine, influisce molto sui valori di coppia e potenza ai bassi regimi. Se eccessivamente ritardata, aumentano i consumi e si ottiene un motore poco elastico. Un anticipo della chiusura, invece favorisce l'elasticità del motore ai bassi e medi regimi.
La distribuzione nelle corse
Moltissimi schemi sono stati proposti nella lunga storia del motore, però l'esasperata esigenza di leggerezza nel campo dei motori super veloci, fa si che le soluzioni adottate siano soltanto due.
Il primo esempio è il classico sistema a bicchierino e molle elicoidali, il secondo è quello a bilanciere a dito o nottolino (utilizzato in formula uno soltanto dalla Ferrari).
La prima soluzione ha il vantaggio della sua semplicità di realizzo, facilmente inseribile nel progetto e facilmente modificabile, poi presenta un'elevata rigidezza dovuta al contatto diretto e alla brevità del percorso della forze dirette dalla camma al piattello della valvola.

Gli svantaggi consistono in una maggiore massa equivalente ed in una maggiore potenza dissipata per attrito provocato dallo strisciamento della camma con le forze trasversali che agiscono sul bicchierino.
Il secondo sistema se correttamente progettato, presenta una massa equivalente minore e quindi minore attrito; gli svantaggi consistono in una minore rigidità del sistema causata da fenomeni di flessione del bilanciere e da problemi di usura perché il pattino non ruota.
Per una distribuzione ben progettata per un dato regime di giri (di progetto) e nelle seguenti condizioni:

Si riduce la potenza dissipata:
Massimizzando il rendimento della distribuzione (meglio la soluzione ad ingranaggi che quella a cinghia dentata)
Adottando minimi margini della forza molla rispetto alla forza d'inerzia negativa (cioè si va più vicino possibile alle condizioni di 'sfarfallamento' senza superarle)
Riduzione del coefficiente d'attrito
Adottando per la distribuzione materiali a bassa densità
Adottando camme di piccolo diametro di base (riduzione massa complessiva delle valvole e della loro alzata; ovvero riduzione delle accelerazioni!!)
Adottando molte valvole per cilindro
Molle meccaniche per alte velocità
Le molle da competizione devono essenzialmente due proprietà:
La frequenza propria di oscillazione è strettamente legata alla 'velocità di scatto', ovvero la velocità avuta dall'estremità di una molla compressa e poi lasciata scattare liberamente, a cui ripassa nella configurazione scarica.
Questa velocità di scatto libero si ottiene uguagliando l'energia elastica con l'energia cinetica. Per una data energia elastica immagazzinata, questa è massima quando la configurazione della molla è tale che la massa la immagazzina si muove poco, cioè l'energia cinetica sia il più possibile sotto forma di velocità che di massa.
Ricordando che:
![]()
rappresenta l'energia elastica
![]()
rappresenta l'energia cinetica
uguagliando queste due espressioni e ricavandoci la velocità avremo che:

ovvero per avere velocità piccole v, m deve crescere. Negli anni passati nel mondo delle competizioni si usavano le molle elicoidali che è una molla soggetta essenzialmente a torsione.
Il difetto di questo tipo di molla (montaggio coassiale alla valvola) è la sua massa equivalente molto elevata pari 1 / 3 della massa totale. Però la molla concentrica alla valvola essendo una frazione relativamente elevata della massa è interessata all'ampio moto della valvola stessa ovvero: è una molla che si muove molto.
Il risultato a livello di frequenze proprie non è male è provoca una sensibile massa aggiunta all'equipaggio mobile. La molla meccanica per eccellenza è la molla a barra di torsione, l'immagazzinamento dell'energia avviene in un cilindretto di piccolo diametro, con la massa concentrata attorno all'asse; una massa che praticamente non si muove , quindi la prima frequenza propria è 20 volte più alta di quella di una molla elicoidale.
Ciò significa che la molla pure ai regimi più esasperati di un motore da competizione, si comporterà, dal punto di vista torsionale, sempre in modo perfettamente statico senza onde elastiche e relativi problemi. La complicazione sta nel fatto che il progettista avrà non poche difficoltà ad inserirle nel progetto, però se ci riesce molti problemi saranno risolti.
Molle pneumatiche
La configurazione è molto simile a quelle delle molle di tipo elicoidali, semplicemente il disco spingi-molla è trasformato in uno stantuffo a tenuta che comprime un gas, questo tipo di molla si muove molto però la massa è quasi inesistente.
Assumendo come prima frequenza quella corrispondente all'andata e al ritorno di un'onda di pressione lungo il suo asse, si trovano valori superiori a 20 -30 volte rispetto alla molla elicoidale. Questa soluzione rappresenta una soluzione ideale perché libera il progettista dai vincoli vibrazionali e gli offre una maggiore libertà fluidodinamica, ovvero la possibilità di utilizzare alzate maggiori, uno dei possibili vantaggi è quello di variare la rigidezza (variando la pressione del gas di richiamo) in funzione del regime di rotazione.
L'unica complicazione consiste nell'adozione di un serbatoio di gas ad altissima pressione ( > di 100 bar). Insieme all'adozione delle valvole pneumatiche si può utilizzare una soluzione a dito (Ferrari 047d (1998) Ferrari 048 (1999)), cioè si fa agire la molla anziché coassialmente alla valvola, a metà lunghezza del dito, si può vedere dai calcoli che la massa della valvola resta invariata e la sua rigidezza quadruplica, sia la prima che la seconda frequenza propria raddoppiano portando la molla al di fuori dal campo pericoloso.
Sistema Desmodromico
Nel sistema desmodromico l'intera legge di alzata della valvola e comandata in modo rigidamente meccanico, senza ricorso a nessun tipo di molla di richiamo.
Da circa quarant'anni è il tipo di distribuzione adottato sulle sue moto dalla Ducati.
Esistono moltissimi schemi di distribuzione desmodromica, però tutte queste soluzioni possono essere ricondotte concettualmente a un paio di schemi sintetici.
Le caratteristiche concettuali del desmodromico riguardano le seguenti aree:

Il primo punto si può studiare analizzando i diagrammi delle forze normali agenti tra camma e punteria nelle distribuzione classica e nella distribuzione desmodromica.

La forza media scambiata è proporzionale al termine:
![]()
dove I rappresentano le forze d'inerzia
ed M le forze esercitate dalla molla
sappiamo che:
![]()
quindi la forza normale media scambiata tra camma e punteria è proporzionale al termine:
![]()
che non è altro che la forza media sull'intero angolo di apertura.
In definitiva la potenza assorbita da una distribuzione a molle è lineare al regime di giri.
Nel sistema desmodromico abbiamo che la forza media scambiata tra camma e punteria è:

Il secondo termine è preso in valore assoluto, dal momento che le forze d'inerzia negativa danno comunque un attrito positivo; ovvero le forze d'inerzia dipendono quadraticamente dal regime quindi moltiplicandole per il solito coefficiente d'attrito e per la velocità di strisciamento forniscono una potenza assorbita che varia in modo cubico con il regime.
Se si ipotizza che al massimo regime di giri del motore la potenza sia uguali in entrambi i sistemi avremo il seguente diagramma.

La potenza assorbita dal sistema desmodromico è minore.
Al regime massimo il desmodromico dovrebbe assorbire più potenza, però utilizzando nelle competizioni fasature più spinte, il valore della potenza assorbita diminuisce.
La potenza assorbita dalla distribuzione classica dipende in sostanza dalla forza delle sole molle , logico adottare leggi di alzata che compatibilmente con le esigenze aerodinamiche e meccaniche, minimizzano tali forze.
Indicazione generale è quella di adottare le massime accelerazioni positive e le minime accelerazioni negative in modo da avere molle meno potenti. Nei motori di serie che non hanno particolari esigenze di 'respirazione' e non richiedono elevati rapporti di alzata/diametro si hanno dei diagrammi con forti accelerazioni positive e minime negative.
Nei motori da competizione per esigenze fluidodinamiche (forti rapporti alzata / diametro) e meccaniche, conducono a diagrammi con accelerazioni negative dello stesso ordine delle accelerazioni positive. E i valori si avvicinano moltissimo ai valori di potenza dissipata nel sistema desmodromico.
Analizzando i diagrammi delle accelerazioni nei due sistemi di distribuzione (non li metto per non farvi confondere, comunque li ho analizzati molto bene, fidatevi) notiamo che le aree sono pressoché identiche, comunque il desmodromico conserva il vantaggio di assorbire meno potenza ai regimi intermedi.
Un altro vantaggio del sistema desmodromico è di tipo fluidodinamico, infatti si possono utilizzare fasature molto strette e forti alzate, utilizzando ciò nella distribuzione classica a molla si creerebbero forti accelerazioni e avendo piccoli raggi di curvatura di testa della camma, si avrebbero elevate pressioni hertziane sulle punterie, specie ai bassi regimi quando la forza della molla è poco compensata dall'inerzia, questo è il classico esempio di fasatura cattiva; cosa che non si verifica assolutamente nella distribuzione con sistema desmodromico.
L'altra importante caratteristica del desmodromico è che elimina due dei tre sistemi vibranti della distribuzione classica a molle, rimane solo il sistema dell'equipaggio mobile in teoria rigido ma in realtà elastico.
Il sistema oltre ai già citati vantaggi, presenta degli svantaggi quali quello di utilizzare delle leve inflesse, infatti l'elasticità flessionale di queste leve confluisce nella rigidezza equivalente del sistema, quindi bisogna minimizzare la rigidezza flessionale della leva.
Consideriamo la teoria dell'elasticità che ci dice che
![]()
In cui E è il modulo di elasticità del materiale
I è il momento d'inerzia geometrico della sezione della leva
l è la lunghezza della leva
Bisogna adottare quindi, materiali con un alto modulo elastico E ( però ci sono dei limiti rappresentati da compositi di fibre oltre il quale non si può ricercare un modulo elasticità più grande), oppure bisogna adottare sezioni con un maggiore momento d'inerzia (si appesantirebbe molto la struttura), infine si cerca di ridurre la lunghezza della leva.
Infine, spesso si dice che il desmodromico elimini le molle del tutto, ciò è vero solo al 90%, infatti è necessario mantenere nel sistema un 'effetto molla' che serve per eliminare l'iperstaticità del sistema e di impedire che la depressione che si crea nel cilindro durante le staccate, possa risucchiare le valvole verso l'interno portando le punterie a strisciare (con conseguente attrito, usura, urti, richiamo gas combusti), soprattutto questa seconda funzione determina la forza di questa mini molla.
Distribuzioni variabili
Uno dei problemi che si hanno nella progettazione dei motori da competizione è quello di cercare di ottenere i cavalli in tutto l'arco dei regimi del motore, infatti se si vogliono ai bassi regimi la potenza agli alti numeri di giri sarà sacrificata, bisogna cercare un compromesso!.
Prima di tutto bisogna analizzare il tipo di vettura che si utilizza, un veicolo da rally ha bisogno essenzialmente non di prestazioni velocistiche (potenza agli alti regimi), ma di una certa elasticità, nelle condizioni di un rally il pilota deve avere un ampio campo di motricità per avere sempre il veicolo sotto controllo, ovvero un motore molto elastico!!
In formula uno il problema assume aspetti diversi, il pilota mantiene il motore sempre intorno al regime di massima potenza, non ha il problema impellente di ampi campi di elevata motricità.
Il motore è pressoché in un range che va dai 12000 ai 18000 giri /min , non ha senso avere coppia in basso, però esistono delle particolari condizioni tipo curve a stretto raggio dove può capitare che il pilota scenda al di sotto di questo range e si verificano problemi del tipo: motore insensibile alla posizione dell'acceleratore o che il motore fornisca più potenza riducendo il gas.
Per ovviare a questi problemi si usano in formula uno delle distribuzioni variabili, cioè capaci di variare l'angolo di apertura e di chiusura, sono di diverso tipo ed ogni costruttore di motore ne tiene gelosamente nascoste le caratteristiche.
I sistemi che si sono utilizzati di più sono: quella a 'triplo dito' Honda VTEC con camme a profilo variabile e superfici conoidiche rigate, oppure quelle che utilizzano un asse a camme traslante assialmente e piattelli oscillanti. Un ottimo sistema che essendo in commercio se ne conoscono di più le caratteristiche è quello adottato dall'alfa Romeo, è un sistema elettro-idraulico che consente di modificare di qualche grado la fasatura dell'albero che comanda le valvole di aspirazione. Il variatore è azionato dall'olio lubrificante in pressione, inviato tramite una valvola elettromagnetica, a sua volta controllata dalla stessa centralina elettronica del sistema di accensione iniezione.
Ai bassi regimi l'anticipo dell'apertura della valvola di aspirazione è ridotto per evitare che parte dei gas combusti risalgono nel collettore di aspirazione durante la fase di incrocio delle valvole. Ai medio-alti regimi, invece l'elettromagnete chiude il foro di scarico dell'olio, cosicché la pressione fa spostare un pistone calettato su ingranaggi a denti elicoidali. Lo spostamento assiale del pistone provoca una rotazione di 7° dell'albero a camme delle valvole di aspirazione, anticipando l'apertura della valvola per migliorare il riempimento dei cilindri. Il risultato finale è un motore molto elastico e poco inquinante ai bassi regimi, contemporaneamente agli alti, esso è in grado di erogare una buona quantità di cavalli.
Un altro sistema è quello di adottare eccentrici a profilo variabile, che consentono di variare i diagrammi facendo scorrere l'albero della distribuzione sulle sue guide. Gli eccentrici hanno un profilo leggermente conico, in modo che al variare della sezione dell'eccentrico in cui avviene il contatto con la punteria, si ottengono i diagrammi di fase voluti.
La scelta dell'albero a camme
La parola che esprime in ogni modo le condizioni alle quali un albero a camme deve sottostare è 'compromesso'. Non si può avere un motore che dia una potenza 200 CV per litro e nello stesso tempo stia in moto al minimo a 800 giri riprendendo da questo regime. Normalmente un motore così comincia a erogare potenza sopra gli 8000 giri, sotto questo regime non esiste assolutamente alcuna potenza, ed è per questo motivo nella gare di tipo formula, si parte facendo pattinare frizione e gomme.
Se il motore arriva a scendere sotto quel minimo, dovendo spingere la macchina in partenza si spegne. E' ovvio che se si prende da una parte si paga dall'altra e la scelta sta tutta nell'ottenere la massima potenza mantenendo una coppia accettabile lungo tutto l'arco di utilizzo.
In un motore stradale si ottiene un buon incremento di potenza aumentando di 5 gradi le varie fasature, il tutto senza perdere nulla ai bassi regimi e senza aumentare i consumi. L'albero di serie ha una fasatura 25-65-65-25 agevolmente si passa ad un 30-70-70-30, se si passa ad 35-75-75-35 si perde un po di coppia spostando il regime di utilizzo in alto di 1000-1500giri. Un motore da rally ha un albero con fasature da 40-75-75-40 con un regime più in alto di 3000-3500giri, invece per motori da velocità pura si scelgono fasature da 50-80-80-50, con una fascia di utilizzo molto in alto, che però richiede una sostanziale trasformazione del motore e soprattutto una buona frizione, visto che sotto gli 8000 giri non si parte..
Novità
La Fiat ha messo a punto un nuovo rivoluzionario, sistema di aspirazione. Viene eliminata la tradizionale valvola a farfalla che dosa la quantità d'aria nel motore, in aggiunta, l'apertura delle valvole viene comandata non più dalla tradizionale camma ma da un attuatore. Lo scopo è quello di controllare la quantità d'aria immessa nei cilindri con la stessa precisione con cui i moderni apparati di iniezione gestiscono l'invio di carburante così da ottimizzare il rendimento dei propulsori e contenere i consumi.
Il sistema si chiama Vva, ovvero attuazione variabile delle valvole. In questi propulsori il flusso del'aria, destinata a miscelarsi con il combustibile nella camera di scoppio, non verrà poi controllato dalla farfalla dell'apparato di iniezione ma sarà ogni singola valvola a dosare l'aria. Un attuatore, controllato da una centralina elettronica, modificherà costantemente per ogni valvola di aspirazione la fasatura (il tempo di apertura) e l'alzata (il grado di apertura), in ragione dell'esatta quantità di aria necessaria in ogni situazione. Secondo i tecnici Fiat il sistema e già pronto per essere impiegato sui bialberi dell'ultima generazione del gruppo Fiat.
![]() |
| Appunti su: quale la valvola di aspirazione quella con diametro maggiore ominore, valori di fasatura motore 4 tempi moto, |
|
| Appunti Automobile | ![]() |
| Tesine costruzione | ![]() |
| Lezioni Silvicoltura | ![]() |