![]() |
|
| Appunti tecniche |
|
| Visite: 1674 | Gradito: |
Leggi anche appunti:Capacita' elettricaCAPACITA' ELETTRICA Se un conduttore, isolato nello spazio e Statica dei fluidiSTATICA DEI FLUIDI Un fluido è una sostanza che può scorrere Wankel vs. benzWANKEL Vs. BENZ Storie Ford T (1916) NSU Spider |
![]() |
![]() |
Il movimento rettilineo alternato compiuto dal pistone all'interno del cilindro, si può compiere esclusivamente entro due punti estremi ed opposti:
pms punto morto superiore
pmi punto morto inferiore
la distanza fra i due punti si chiama corsa C.
Un'altra importante misura è l'alesaggio D ossia il diametro del cilindro.
La corsa e l'alesaggio definiscono la cilindrata unitaria del motore con la seguente formula:
Nel caso di un motore monocilindrico, la
cilindrata unitaria
corrisponde alla
cilindrata totale del motore.
Nel caso di motori pluricilindrici, la cilindrata complessiva equivale a quella unitaria moltiplicata per il numero i dei cilindri.
Altre misure importanti sono il raggio di manovella r, corrispondente a metà della corsa del pistone, e la lunghezza della biella l.
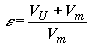
Si definisce rapporto di compressione, la misura del grado di compressione che la miscela fresca ha subito al termine della fase di compressione.
Si tratta di un valore teorico fornito dalla relazione:
Dove
è il volume del cilindro, e è il volume della camera di scoppio.
In altre parole il rapporto di compressione rappresenta lo spazio che la miscela fresca può teoricamente occupare all'interno del cilindro

![]() |
| Appunti su: misure del motore, |
|
| Appunti costruzione | ![]() |
| Tesine Automobile | ![]() |
| Lezioni Aeronautica | ![]() |