![]() |
|
| Appunti universita |
|
| Visite: 3774 | Gradito: |
Leggi anche appunti:Il soggetto di dirittoIL SOGGETTO DI DIRITTO SOGGETTIVITA’ E PERSONALITA’ GIURIDICA Ogni La potesta’ della chiesa e i concordatiLA POTESTA’ DELLA CHIESA E I CONCORDATI Tocca alla Chiesa porre argine alle Le responsabilità penali del presidente della repubblica ed il loro accertamentoLe responsabilità penali del presidente della repubblica ed il loro accertamento La |
![]() |
![]() |
I diritti umani

Storia: FASCISMO E NAZISMO VERSO L’OLOCAUSTO
Ideologia fascista
In Italia il fascismo trovò i suoi precursori negli anni precedenti
alla prima guerra mondiale, nel movimento artistico del futurismo (il cui
ispiratore, Filippo Tommaso Marinetti, aderì successivamente al movimento di
Mussolini). L'ideologia del fascismo fu elaborata negli anni '20 e
successivamente stilata in un articolo scritto da Giovanni Gentile durante il
suo incarico di ministro dell'Istruzione e poi siglato da Mussolini, ma non
venne mai veramente applicata, restando un documento privo di seguito. La prima
anima del fascismo, era profondamente collegata con le radici estremiste
mussoliniane del sindacalismo rivoluzionario, del disprezzo per la politica
parlamentare. La seconda anima era quella agraria, che includeva grandi e
piccoli proprietari impoveriti dalla
guerra. Era questa classe la nuova base del fascismo. Esisteva poi, una terza
anima rappresentata dalla grande borghesia industriale, entusiasta di questa
corrente che avrebbe contrastato il movimento rivoluzionario russo, anche se i
metodi violenti erano oggetto di imbarazzo per questa classe sociale. I grandi
industriali furono i principali finanziatori del fascismo, con i latifondisti
meridionali. Con la crescita di questo movimento, cominciarono a delinearsi le linee
guida e i contenuti culturali. Una prima caratteristica era data dal
pessimismo. I fascisti appoggiavano pienamente lo sport, non credevano in un
progresso dell’umanità verso maggiori libertà e diritti. Pensavano, invece, che
tutto si riducesse alla legge brutale del più forte, alla selezione naturale
fra i popoli e le razze, alla lotta primitiva per la vita. Si giustificava
quindi un ricorso alla violenza e alla sopraffazione, e si esaltavano le gesta
eroiche e la “bella morte”. Il fascismo, era quindi bellicista, per questo gli
aderenti al partito credevano nella guerra come “igiene dei popoli”. La pace
tra i popoli era vista come un elemento negativo che creava viltà ed
omologazione tra le razze. La cultura fascista era anche anti-materialista e per
questo andava d’accordo con il tradizionalismo cattolico. Invece di mettere lo
Stato al servizio dell’individuo, il fascismo poneva l’individuo al servizio
dello Stato, esaltando il senso patriottico e il concetto di nazione. Dapprima
Mussolini parlò di stato “etico” che riconosceva i diritti morali dell’uomo. Si
passò più tardi allo stato “totalitario” che subordinava ogni libertà al
controllo dello stato. I fascisti non credevano al parlamentarismo, e al
diritto delle maggioranze di governare le minoranze. Si collocarono quindi in
una posizione politica di destra estrema. Il fascismo visse soprattutto della
volontà di Mussolini e si limitò a seguire alcuni principi di massima da lui
indicati di volta in volta e ad alimentare il culto della sua personalità,
adoperando i mezzi di comunicazione di massa per trasmettere un ideale di uomo
forte, deciso e risoluto. L'ideologia fascista fu tuttavia sempre piuttosto
contraddittoria e al fianco di queste posizioni reazionarie conviveva, non
sempre armoniosamente, un culto della modernità e della tecnica di ispirazione
futurista. Il fascismo emanò le leggi fascistissime dal 1925 al 1928.
Ideologia nazista
Il termine nazismo (contrazione di nazional-socialismo)
definisce l'ideologia e il movimento politico tedesco collegati all'avvento al
potere in Germania nel 1933 da parte di Adolf Hitler, conclusosi alla fine
della seconda guerra mondiale con la conquista di Berlino da parte delle truppe
sovietiche (maggio 1945). Il nazismo pone le sue radici nel partito politico guidato
da Adolf Hitler, il NSDAP (Partito operaio nazionalsocialista tedesco). Quando
i nazisti salirono al potere tramite una regolare elezione, il regime si
trasformò in dittatura, con un programma di eliminazione fisica e morale sia
degli avversari politici che di persone appartenenti a categorie ritenute
inferiori o dannose per la società, quali gli ebrei, gli slavi, gli
omosessuali, i portatori di handicap e i ritardati mentali. Il nazismo è
fuorilegge nella Germania odierna, anche se alcuni resti, denominati
neonazisti, continuano ad operare in Germania e all'estero disseminando
propaganda che nega o minimizza l'Olocausto ed altri atti dei nazisti, cercando
di dare una luce positiva alle politiche naziste e agli eventi sotto le quali
si svolsero. Inoltre, la democrazia era considerata come una forza
destabilizzante perché poneva il potere nelle mani delle minoranze etniche, che
erano perciò incentivate a indebolire ulteriormente l'Impero. Il cuore
dell'ideologia nazionalsocialista era il concetto di razza. La teoria
nazista ipotizzò la superiorità della razza ariana come 'razza
dominante' su tutte le altre e in particolare sulla razza ebraica.
Venne sviluppato un ideale di persona ariana con determinate caratteristiche
(colore degli occhi, dei capelli, ecc). Bisognava, quindi, creare razze dotate
di una naturale buona salute e con precisi tratti di aggressività, intelligenza
e coraggio. Le nazioni più deboli sono quelle la cui razza è impura: sono
perciò divise e litigiose, e quindi producono una cultura debole. Le razze
schiave erano disprezzate e non meritavano. In particolare, se una razza
dominante necessitava di 'spazio vitale', si riteneva avesse il
diritto di prenderlo e di eliminare o ridurre in schiavitù le razze schiave
indigene. Come conseguenza, le razze senza una patria venivano definite
'razze parassite': più gli appartenenti a una razza parassitaria
erano ricchi e più virulento era considerato il parassitismo. Questa era la
giustificazione teorica per l'oppressione e l'eliminazione fisica degli ebrei e
degli slavi, un compito che anche molti nazisti trovavano personalmente
ripugnante ma che compivano giustificando le loro azioni in nome
dell'obbedienza allo Stato nazista. Per iniziare a diffondere questo pensiero,
farlo assimilare dalla popolazione e per far accettare alla gente queste
pratiche come qualcosa di necessario per il bene comune, venivano mostrati
filmati di tedeschi deformi, fisicamente o mentalmente, fatti giungere da tutta
la Germania in alcuni centri di raccolta, mettendo in evidenza i loro problemi
fisici e mentali; furono questi i primi esseri umani bruciati nei forni dai
nazisti. All'inizio queste operazioni di sterminio erano fatte di nascosto.
Vennero inoltre prese informazioni su molte persone per verificare se
effettivamente erano originarie della Germania o avevano parentele non ariane.
molte donne tedesche che corrispondevano a tali caratteristiche erano costrette
ad unirsi ad uomini tedeschi per generare figli di razza pura ariana. Tutto
questo venne fatto in apposite strutture dove ogni bambino non aveva una madre
o un padre, ma doveva essere allevato alle ideologie naziste fin da
piccolissimo in modo da poter un giorno servire la patria dove meglio erano le
sue attitudini. L’intento di Hitler era quello di creare una nuova gioventù
perfetta: la gioventù Hitleriana.
Caratteristiche comuni: comune al fascismo e
al nazismo fu l’ispirazione violentemente anticomunista e reazionaria atta a
conquistare il consenso di vaste masse; ma anche il totalitarismo negatore di
ogni libertà, l’uso sistematico di reparti militari di partito (come le squadre
d’azione fasciste, le SA e le SS naziste, certo ben più disumane), la
capacità di dominare le piazze con grandi manifestazioni pubbliche, l’abilità
nell’inventare gli slogan più adatti a colpire gli istinti della gente e a
spegnere le facoltà critiche, l’ascesa al potere con il listone unico.
Caratteristiche differenziali: ma non meno rilevanti furono le differenze fra i due movimenti. Il fascismo è esagerato e fanatico ma non arriva al razzismo (se non tardivamente e per abietta imitazione dei nazisti), il nazismo esalta invece fin dalle sue prime origini le virtù della presunta razza germanica. L’odio dei nazisti si rivolge con la più bieca e ottusa brutalità contro gli Ebrei, cui sono attribuite le peggiori nefandezze.
Collaborazione tra nazismo e fascismo (Leggi razziali)
L'affermazione del nazismo in Germania ed il successo di Hitler negli anni 1934-36, convinsero Mussolini che vi fosse per l'Italia l'opportunità di espandere ulteriormente il suo prestigio e le sue conquiste territoriali, pur con un apparato industriale gracile e provato dalla crisi economica del 1929 e con un esercito arretrato e mal equipaggiato.
Nel 1938 Mussolini fece promulgare dal re le “leggi razziali” antisemite del 1938 (punto di arrivo normativo di un processo in atto nel regime fascista, che avrebbe portato nel giro di poco tempo all'internamento dei cittadini ebrei in campi di raccolta e nella loro successiva deportazione verso lo sterminio). Queste leggi e i quasi cento campi di internamento aperti dai fascisti assai prima dell'8 settembre 1943 sono, una dimostrazione evidente e documentata di una stretta collaborazione del regime fascista con la Germania nazista. I fascisti adoperarono una politica di segregazione ed effettuarono una schedatura di tutti gli ebrei italiani, anche di quelli iscritti al Partito Fascista, preparando le deportazioni successive. Nei campi italiani si trovavano rinchiusi molti ebrei, ma anche molti stranieri, jugoslavi, greci, albanesi, di territori che erano stati invasi dall'Italia e che subirono oltre alla repressione tedesca quella delle forze militari e di polizia italiane che spesso non fu meno dura. A Trieste, che a partire dal settembre 1943 fu inglobata nell'amministrazione del terzo Reich tedesco, venne costruito un campo di concentramento e di sterminio: la risiera di San Sabba. La deportazione riguardò massicciamente anche altre categorie di cittadini italiani. I resistenti, innanzitutto, i partigiani, e diverse centinaia di migliaia di militari dell'esercito, abbandonati al proprio destino dopo l'8 settembre. A queste sparse formazioni armate vanno infine aggiunte le SS italiane, formalmente inquadrate nelle forze militari tedesche. I fascisti collaborarono attivamente alla deportazione in tre modi:
L’Olocausto
Hitler pianificò nei minimi dettagli quella che doveva essere la
“soluzione finale” al problema ebraico. Fu incaricato di questo compito Adolf
Eichmann. Questo piano sterminò 6 milioni di ebrei. Furono realizzate delle
recinzioni nelle città polacche, chiamate ghetti. Vere e proprie città
governate dalle SS. Ma il genocidio vero e proprio avvenne con l’istituzione di
campi di concentramento nei quali la “pulizia” doveva essere compiuta
discretamente e rapidamente. Il più grande fu il campo di Auschwitz nel quale
furono eliminati un milione di ebrei per mezzo del gas letale “ciclon B” e dei
forni crematori. I deportati viaggiavano in vagoni per bestiame contenenti
anche 120 persone in condizioni disumane per più giorni. Una volta arrivati al
campo subivano una selezione e venivano immatricolati. Da quel momento
perdevano il nome e la loro identità. Diventavano un semplice numero. Ma
l’aspetto più ripugnante era l’autofinanziamento dei campi.
I capelli delle donne erano utilizzati per tessere le uniformi delle SS o per produrre scarpe di feltro. Ai deportati venivano sottratti tutti gli averi e rivenduti, persino i denti d’oro. Il grasso umano era utilizzato per la produzione del sapone e la pelle in buono stato per rilegare libri. La cenere dei corpi utilizzata come concime, per le costruzioni, o ancora sulle strade innevate. Oltre alla devastazione fisica si aggiungeva quella morale che annientava l’uomo. La maggior parte dei sopravvissuti si suicidarono.
Un giorno ad Auschwitz
Ci vuole solo un attimo per cancellare una vita… 6 milioni di ebrei scomparvero negli anni della Shoah. Ma oggi, ci si impegna per non limitare a quell’attimo il loro ricordo.
La vicenda dell’Olocausto scrive una pagina nera della nostra storia. Un odioso progetto, una terribile pianificazione di quello che doveva essere il totale sterminio della razza “non pura”. Fu tutto calcolato, Sfinire gli uomini facendoli lavorare, riducendoli ad un mucchio di ossa. Non erano persone, ma macchine da lavoro. Quando non funzionavano più, di buttavano, si eliminavano nel modo più veloce e “comodo”. I forni impiegavano persino troppo tempo per sbarazzarsi di quei rifiuti, si preferivano,così, le camere a gas che grazie ad una scatola di Ciclon B sterminavano in un colpo solo 30.000 uomini.
Tutto era contornato da un fastidioso sarcasmo, da una straziante precisione. L’entrata del campo di Auschwitz riporta a scritte cubitali “il lavoro rende liberi”!. Ogni volta che i prigionieri superavano la soglia del campo dovevano ricordare che il loro prezzo equivaleva al lavoro che riuscivano a produrre. Una volta varcato il confine si perdeva la propria identità, non si era altro che un numero, un essere privo di dignità, dei minimi diritti umani. Le donne e i bambini erano maltrattati, denutriti, umiliati. Alcune testimonianze riportano che quello era il peggiore inferno, un mondo a parte nel quale vedevano, giorno dopo giorno, morire i propri cari.
Il più grande scempio dell’umanità dovuto a ragioni infondate. E’ per questo che oggi un gruppo di giovani italiani, ha deciso di far conoscere a tutti le brutalità di quel tempo, organizzando visite ai campi di concentramento polacchi. Il progetto del “Treno della Memoria” ha fatto rivivere a 1000 ragazzi, il lungo viaggio dei deportati di Auschwitz. Tra quei 1000 c’ero anch’io e posso dire che nessuno può spiegare ciò che si prova entrando nel blocco delle torture, nelle camere a gas, avendo davanti a sé migliaia di scarpe, milioni di capelli, meditando davanti al celebre muro della morte, dove venivano trucidati i ribelli.
Passando nella galleria delle foto dei detenuti, ognuno di noi ha osservato il viso che più lo colpiva ed una volta fuori abbiamo acceso una fiaccola ed abbiamo pronunciato al microfono il suo nome, ridandogli vita e dignità almeno per un istante. Ma ciò che importante è che questo non rimanga un semplice gesto. Bisogna ricordare per non commettere gli stessi errori. Ancora oggi sono state dichiarate situazioni di schiavitù proprio in Puglia e sui muri vediamo svastiche disegnate da giovani pseudonazisti. Per questo capire ciò che è stato ci aprirà gli occhi e ci porterà su un cammino di pace. Ognuno di noi dovrebbe fare questo viaggio, ma con la mente e con il cuore.
Filippo Tommaso Marinetti (Alessandria d'Egitto 1876 - Bellagio, Como 1944), da una ricca famiglia italiana, frequentò le scuole francesi e si diplomò a Parigi. Studiò dapprima a Pavia e poi frequentò l’Università di Genova, dove si laureò in legge. Ebbe una vita piuttosto movimentata e partecipò a tutte le guerre di quel tempo, perché nella guerra vedeva qualcosa di positivo, quasi che essa potesse distruggere le forze retrive del passato. Nel 1909 pubblicò sul quotidiano 'Le Figaro' il 'Manifesto del futurismo', nel quale descrisse le direttrici fondamentali di quello che sarebbe stato un vero e proprio movimento che si diramava in tutte le arti: il Futurismo.
Nel 1912, con il 'Manifesto tecnico della letteratura futurista' tracciò le linee essenziali dell'estetica cui s'ispirò il gruppo di giovani artisti (Boccioni, Carrà, Russolo ed altri) raccolto intorno alle sue idee. Seguirono, come applicazioni delle teorie esposte nei due manifesti, il romanzo Mafarka il futurista, il poema Battaglia Peso + Odore e Zang-tumb-tumb. Dopo essersi recato in Libia nel 1911 come corrispondente di guerra, Marinetti si rivelò nel 1915 un acceso interventista ('la guerra è la sola igiene del mondo'). Intanto la notorietà del movimento futurista si era estesa rapidamente, fino ad arrivare ad una dimensione europea grazie anche ad un'ampia attività pubblicitaria e diffusione promozionale delle idee: manifesti, 'serate futuriste'( eventi molto particolari durante i quali i poeti recitando le poesie, irritavano il pubblico provocando risse) nei principali teatri italiani e francesi, manifestazioni di anticonformismo per scandalizzare il pubblico dei benpensanti portarono i futuristi all'onore delle cronache. Questo risultato rientrava nelle intenzioni di Marinetti di integrazione dell'arte nella vita quotidiana, riducendola ad un prodotto di consumo. I futuristi esaltavano il valore dello scambio e la mercificazione dell’arte.
La struttura letteraria era intensamente alternativa: la distruzione dell'io letterario e lo sconvolgimento della sintassi (abolizione della punteggiatura, dell'aggettivo e dell'avverbio, uso del verbo all'infinito) trovavano il loro corrispondente nel quadro di Boccioni, sconvolgendo le norme tradizionali della prospettiva. Nel dopoguerra Marinetti diventò un esponente ufficiale della cultura fasciste e, nonostante alcune discordie col movimento fascista, ottenne la nomina ad accademico d’Italia nel 1929. Anche il Futurismo finì come avanguardia; sopravvisse come letteratura ufficiale del nuovo regime, ma privata di quell'anticonformismo che ne aveva caratterizzato il senso innovativo. Marinetti diede vita al “paroliberismo”, abolendo il nesso logico-sintattico. Era basilare l’effetto fonetico dei versi. Lo scrittore morì a Bellagio (Como) nel 1944.
Il creatore principale del Futurismo è stato Filippo Tommaso Marinetti.
Il futurismo nacque a Parigi nel 1909 con la sua pubblicazione, sul quotidiano 'Le Figaro', del Manifesto del Futurismo di Filippo Tommaso Marinetti. Nacque così l'esaltazione per la macchina e quindi per la velocità definita nel Manifesto una nuova bellezza che arricchisce la magnificenza del mondo. I futuristi accettavano il capitalismo imperialistico e rappresentavano un’avanguardia borghese. Al contrario, rifiutavano nettamente il passato tanto da proporre la distruzione delle biblioteche, accademie e musei definiti tutti come cimiteri di sforzi vani. La nuova arte derivava dal presente, dall’industria, dalle città moderne, dalla virilità, le automobili e l’acciaio. Andava sviluppandosi, quindi, una nuova concezione violenta (spesso praticata nelle feste futuriste) della vita e della storia, che esalta la guerra, il movimento, l’azione e disprezza le fasce deboli della società in particolar modo la donna e il femminismo. Questo disprezzo è da intendersi come una condanna non della donna in sé, ma del romanticismo datole dalla letteratura dell'epoca.
Questo movimento coinvolgeva tutti i campi della vita e della cultura,
moriva così l'arte tradizionalista. Andavano per questo contro il passato e
assumevano spesso un atteggiamento violento. Il movimento di Marinetti,
promuoveva l’ideologia militarista, autoritaria, e imperialista. L'artista va
contro la vecchia 'poetica' infatti inseriva immagini che si
sostituivano alle parole le quali venivano 'montate' sulla pagina
così come nascevano nella mente dello scrittore prendendo il nome di parole in
libertà. Il brano quindi risultava ricco simboli matematici e musicali, che
associavano tra loro le sensazioni visive, uditive, tattili e olfattive. Veniva
inoltre distrutta la sintassi, abolito l'aggettivo e l'avverbio. L'uso del
verbo all'infinito, inoltre, veniva utilizzato per una maggiore sensazione
della realtà.
Marinetti voleva farci entrare nell'atmosfera da lui vissuta in quel momento, con sensazioni che variano dai suoni, odori, colori ecc. Un esempio lo abbiamo con il poema parolibero Zang tumb tumb, il quale ci descrive al meglio cosa si respirava durante l'assedio di Adrianopoli, sul balcone, dal quale provengono le sensazioni vissute durante un bombardamento. Qui la battaglia è ridotta a un orchestra di rumori e le parole sono accostate nella pagina come nascono nella mente dello scrittore, così che esprimono il ritmo regolare dei colpi di cannone; mettono in risalto i 500 echi ribelli e la serie infinita di suoni che sparpagliano e sbriciolano il tuono cupo del cannone; esaltano la violenza della battaglia; combinando simultaneamente rumori dissonanti: quello profondo del cannone e quelli secchi di armi da tiro più rapide. Le onomatopee, talvolta esasperate delle forzature ortografiche, conferiscono dinamicità alla poesia e sostituiscono la descrizione. In definitiva la guerra è uno spettacolo che scatena nel poeta l'ebbrezza dei sensi, che permette la selezione dei popoli e l’avanzamento del più forte. Grande rilievo è riconosciuto, in quegli anni, alla comunicazione di massa, alla propaganda, allo scandalo e allo shock.
I maggiori esponenti che aderirono al movimento futurista furono Govoni, Palazzeschi, Buzzi, Folgore. Alcuni di loro sottoscrissero il manifesto “Uccidiamo il chiaro di luna!”, contro la poesia tradizionale e romantica.
Il poema riportato di seguito fu pubblicato nel 1925. Con queste parole, Marinetti cerca di parlare di un argomento logoro e tradizionalista, il sorgere del sole sul mare, rivoluzionando la struttura e la sintassi. Formalmente le innovazioni sono evidenti. Si nota la particolare disposizione dei versi e l’uso dei caratteri tipografici.
Sì, sì, così,
l’aurora sul mare
ombre corrosive contro
l'ALBA
i venti via via lavorando impastando il mare così muscoli e
sangue per l'Aurora
EST luce gialla sghimbescia
Poi
un verde diaccio
slittante
Poi
NORD un rosso strafottente
rumore duro vitreo
Poi un grigio stupefatto
Le nuvole rosee sono delizie lontane
fanfare di carminio scoppi di scarlatto
fievole NO grigio tamtam di azzurro
No Sì
NO
SÌ
sì
sì sì
SÌ
SÌ
giallo reboante
Meraviglia dei grigi
Tutte le perle dicono SÌ
Ragionamenti persuasivi
verdazzurri delle rade
adescanti
I lastroni lisci
violacei del mare tremano di entu-
siasmo
Un raggio rimbalza di
roccia in roccia
La meraviglia si mette
a ridere nelle vene del
mare
Rischio di una nuvola
blu a perpendicolo sul mio
capo
Tutti i prismatismi
aguzzi delle onde impazzi-
scono
Calamitazioni di rossi
Una vela accesa
scollina all'orizzonte che
trema
ROMBO D'ORO
risucchio di tre ombre in quella rada mangiata dal sole
- bocca denti sanguigni bave lunghe d'oro che beve il mare
e addenta rocce
SÌ semplicemente
SÌ
elasticamente
pacatamente
CÓSÌ
ancora
ANCORA
ANCORA
MEGLIO COSÌ
Manifesto del futurismo
1. Noi vogliamo cantare l'amor del pericolo, l'abitudine
all'energia e alla temerità.
2. Il coraggio, l'audacia, la
ribellione, saranno elementi essenziali della nostra poesia.
3. La letteratura esaltò fino
ad oggi l'immobilità pensosa, l'estasi e il sonno. Noi vogliamo esaltare il
movimento aggressivo, l'insonnia febbrile, il passo di corsa, il salto mortale,
lo schiaffo ed il pugno.
4. Noi affermiamo che la
magnificenza del mondo si è arricchita di una bellezza nuova: la bellezza della
velocità. Un automobile da corsa col suo cofano adorno di grossi tubi simili a
serpenti dall'alito esplosivo un automobile ruggente, che sembra correre
sulla mitraglia, è più bello della Vittoria di Samotracia.
5. Noi vogliamo inneggiare
all'uomo che tiene il volante, la cui asta ideale attraversa la Terra, lanciata
a corsa, essa pure, sul circuito della sua orbita.
6, Bisogna che il poeta si
prodighi, con ardore, sfarzo e munificenza, per aumentare l'entusiastico
fervore degli elementi primordiali.
7. Non v'è più bellezza, se
non nella lotta. Nessuna opera che non abbia un carattere aggressivo può essere
un capolavoro. La poesia deve essere concepita come un violento assalto contro
le forze ignote, per ridurle a prostrarsi davanti all'uomo.
8. Noi siamo sul promontorio
estremo dei secoli! Perché dovremmo guardarci alle spalle, se vogliamo
sfondare le misteriose porte dell'Impossibile? Il Tempo e lo Spazio morirono
ieri. Noi viviamo già nell'assoluto, poiché abbiamo già creata l'eterna
velocità onnipresente.
9. Noi vogliamo glorificare la
guerra - sola igiene del mondo - il militarismo, il patriottismo, il gesto
distruttore dei libertari, le belle idee per cui si muore e il disprezzo della
donna.
10. Noi vogliamo distruggere i
musei, le biblioteche, le accademie d'ogni specie, e combattere contro il
moralismo, il femminismo e contro ogni viltà opportunistica o utilitaria.
11. Noi canteremo le grandi
folle agitate dal lavoro, dal piacere o dalla sommossa: canteremo le maree multicolori
o polifoniche delle rivoluzioni nelle capitali moderne; canteremo il vibrante
fervore notturno degli arsenali e dei cantieri incendiati da violente lune
elettriche; le stazioni ingorde, divoratrici di serpi che fumano; le officine
appese alle nuvole pei contorti fili dei loro fumi; i ponti simili a ginnasti
giganti che scavalcano i fiumi, balenanti al sole con un luccichio di coltelli;
i piroscafi avventurosi che fiutano l'orizzonte, le locomotive dall'ampio
petto, che scalpitano sulle rotaie, come enormi cavalli d'acciaio imbrigliati
di tubi, e il volo scivolante degli aeroplani, la cui elica garrisce al vento
come una bandiera e sembra applaudire come una folla entusiasta.
È dall'Italia, che noi
lanciamo pel mondo questo nostro manifesto di violenza travolgente e
incendiaria, col quale fondiamo oggi il «Futurismo», perché vogliamo
liberare questo paese dalla sua fetida cancrena di professori, d'archeologhi,
di ciceroni e d'antiquarii.
Già per troppo tempo l'Italia
è stata un mercato di rigattieri. Noi vogliamo liberarla dagl'innumerevoli
musei che la coprono tutta di cimiteri innumerevoli.
Musei: cimiteri! Identici,
veramente, per la sinistra promiscuità di tanti corpi che non si conoscono.
Musei: dormitori pubblici in cui si riposa per sempre accanto ad esseri odiati
o ignoti! Musei: assurdi macelli di pittori e scultori che varino trucidandosi
ferocemente a colpi di colori e di linee, lungo le pareti contese!
Che ci si vada in
pellegrinaggio, una volta all'anno, come si va al Camposanto nel giorno dei
morti ve lo concedo. Che una volta all'anno sia deposto un omaggio di fiori
davanti alla Gioconda, ve lo concedo Ma non ammetto che si conducano
quotidianamente a passeggio per i musei le nostre tristezze, il nostro fragile
coraggio, la nostra morbosa inquietudine. Perché volersi avvelenare? Perché
volere imputridire?
E che mai si può vedere, in un
vecchio quadro, se non la faticosa contorsione dell'artista, che si sforzò di
infrangere le insuperabili barriere opposte al desiderio di esprimere
interamente il suo sogno? Ammirare un quadro antico equivale a versare la
nostra sensibilità in un'urna funeraria, invece di proiettarla lontano, in
violenti getti di creazione e di azione.
Volete dunque sprecare tutte
le forze migliori, in questa eterna ed inutile ammirazione del passato, da cui
uscite fatalmente esausti, diminuiti e calpesti?
In verità io vi dichiaro che
la frequentazione quotidiana dei musei, delle biblioteche e delle accademie
(cimiteri di sforzi vani, calvarii di sogni crocifissi, registri di slanci
troncati! ) è, per gli artisti, altrettanto dannosa che la tutela
prolungata dei parenti per certi giovani ebbri del loro ingegno e della loro
volontà ambiziosa. Per i moribondi, per gl'infermi, pei prigionieri, sia pure:
- l'ammirabile passato è forse un balsamo ai loro mali, poiché per essi
l'avvenire è sbarrato Ma noi non vogliamo più saperne, del passato, noi,
giovani e forti futuristi!
E vengano dunque, gli allegri
incendiarii dalle dita carbonizzate! Eccoli! Eccoli! Suvvia! date fuoco agli
scaffali delle biblioteche! Sviate il corso dei canali, per inondare i
musei! Oh, la gioia di veder galleggiare alla deriva, lacere e stinte su
quelle acque, le vecchie tele gloriose! Impugnate i picconi, le scuri, i
martelli e demolite senza pietà le città venerate!
I più anziani fra noi, hanno
trent'anni: ci rimane dunque almeno un decennio, per compier l'opera nostra.
Quando avremo quarant'anni, altri uomini più giovani e più validi di noi, ci
gettino pure nel cestino, come manoscritti inutili. Noi lo desideriamo!
Verranno contro di noi, i
nostri successori; verranno di lontano, da ogni parte, danzando su la cadenza
alata dei loro primi canti, protendendo dita adunche di predatori, e fiutando
caninamente, alle porte delle accademie, il buon odore delle nostre menti in
putrefazione, già promesse alle catacombe delle biblioteche.
Ma noi non saremo là Essi
ci troveranno alfine - una notte d'inverno - in aperta campagna, sotto una
triste tettoia tamburellata da una pioggia monotona, e ci vedranno accoccolati
accanto ai nostri aeroplani trepidanti e nell'atto di scaldarci le mani al
fuocherello meschino che daranno i nostri libri d'oggi fiammeggiando sotto il
volo delle nostre immagini.
Essi tumultueranno intorno a
noi, ansando per angoscia e per dispetto, e tutti, esasperati dal nostro
superbo, instancabile ardire, si avventeranno per ucciderci, spinti da un odio
tanto più implacabile inquantoché i loro cuori saranno ebbri di amore e di
ammirazione per noi.
La forte e sana Ingiustizia
scoppierà radiosa nei loro occhi. - L'arte, infatti, non può essere che
violenza, crudeltà ed ingiustizia.
I più anziani fra noi hanno
trent'anni: eppure, noi abbiamo già sperperati tesori, mille tesori di forza,
di amore, d'audacia, d'astuzia e di rude volontà; li abbiamo gettati via
impazientemente, in furia, senza contare, senza mai esitare, senza riposarci
mai, a perdifiato Guardateci! Non siamo ancora spossati! I nostri cuori non
sentono alcuna stanchezza, poiché sono nutriti di fuoco, di odio e di
velocità! Ve ne stupite? E logico, poiché voi non vi ricordate nemmeno di
aver vissuto! Ritti sulla cima delmondo, noi scagliamo una volta ancora, la
nostra sfida alle stelle!
Ci opponete delle
obiezioni? Basta! Basta! Le conosciamo Abbiamo capito! La nostra bella
e mendace intelligenza ci afferma che noi siamo il riassunto e il prolungamento
degli avi nostri. - Forse! Sia pure! Ma che importa? Non vogliamo
intendere! Guai a chi ci ripeterà queste parole infami!
Alzare la testa!
Ritti sulla cima del mondo,
noi scagliamo, una volta ancora, la nostra sfida alle stelle!
Diritto:
la Costituzione Italiana
e gli articoli 1 – 2 - 3
Il 25 aprile 1945 cessò l’occupazione tedesca in Italia e il 2 giugno 1946 gli italiani furono chiamati alle urne per effettuare un doppio voto. Con la prima scheda dovevano decidere se lo Stato avrebbe assunto una forma repubblicana, o avrebbe dovuto conservare la forma monarchica. Con la seconda si eleggevano i componenti della futura Assemblea costituente che avrebbe elaborato la nuova carta costituzionale.
Per la prima volta, in Italia, il popolo con la sua libera scelta poteva decidere del proprio futuro. Gli italiani si presentarono alle urne con un’affluenza dell’89%.
Per uno scarto di voti decisamente ridotto prevalse la scelta repubblicana con il 54, 25%.
L’altra decisione fondamentale fu la nomina dei componenti dell’Assemblea costituente.
La Costituzione disegna le caratteristiche di uno stato, stabilendo se è democratico, garantista, sensibile alle istanze sociali…
Con l’elezioni di tali membri, quindi, gli italiani affidavano il proprio futuro nelle loro mani.
Il voto popolare premiò il Partito comunista, il Partito socialista, e la Democrazia cristiana. L’assemblea tenne la sua prima seduta il 25 giugno del 1946 ed era composta da 556 membri.
Il progetto della nuova Carta costituzionale fu affidato ad una commissione di 75 deputati con rappresentanze di ogni partito.
Tale commissione fu divisa in tre sottocommissioni, ognuna con il proprio compito specifico.
La nuova Costituzione fu approvata con 453 voti favorevoli ed entrò ufficialmente in vigore il 1° gennaio del 1948.
La costituzione è composta da 139 articoli (ma 4 sono stati abrogati), divisi in quattro sezioni:
La Costituzione italiana è una costituzione scritta, rigida e lunga.
Una altra caratteristica della nostra Costituzione è data dalla forma di Repubblica di tipo parlamentare, organizzata con la divisione dei poteri fra tre organi che svolgono una controllo reciproco.
il Parlamento elegge il Presidente della Repubblica, il quale in specifiche circostanze, può decidere di sciogliere il Parlamento;
il Presidente della Repubblica nomina il Governo, che può governare solo ottenendo la fiducia parlamentare;
gli atti più importanti del Governo devono essere emanati dal Presidente della Repubblica;
gli atti del Presidente della Repubblica devono essere controfirmati da un ministro del Governo in carica.
L’Assemblea costituente optò per questo tipo di controllo, per evitare l’accentramento dei poteri avuti nel periodo fascista.
Direttrici fondamentali
Nelle linee guida della Carta è ben
visibile la tendenza all'intesa e al compromesso dialettico tra gli autori. La
Costituzione mette l'accento sui diritti economici e sociali e sulla loro
garanzia effettiva. Si ispira anche ad una concezione antiautoritaria dello
Stato con una chiara diffidenza verso un potere
esecutivo forte e una fiducia nel funzionamento del sistema parlamentare.
Non mancano importanti riconoscimenti alle libertà individuali e sociali,
rafforzate da una tendenza solidaristica di base. Fu possibile, anche, grazie
alla moderazione dei marxisti, ratificare gli accordi lateranensi e permettere
di accordare una autonomia regionale tanto più marcata quanto più le minoranze
erano radicate (nelle isole e nelle regioni con forti minoranze linguistiche).
I principi fondamentali
L’articolo 1 sancisce:
“L’Italia è una Repubblica democratica, fondata sul lavoro.La sovranità appartiene al popolo, che la esercita nelle forme e nei limiti della Costituzione.”
Repubblica: termine che indica la presenza di un’organizzazione con a capo il Presidente che esercita i suoi poteri per delega del popolo e per un tempo determinato;
Democratica: tutto il popolo partecipa alle scelte politiche nelle forme e nei limiti stabiliti dalla Costituzione;
Fondata sul lavoro: si riferisce al principio lavorista. Il “nuovo Stato” quindi non ammetterà distinzioni di nascita e di censo riconoscendo a tutti i cittadini il diritto al lavoro e promovendo le condizioni che rendono effettivo questo diritto.
IL RICONOSCIMENTO DEI DIRITTI INVIOLABILI
Art.2 dispone: “La Repubblica riconosce e garantisce i diritti inviolabili dell’uomo, sia come singolo sia nelle formazioni sociali ove si svolge la sua personalità (…).
Tra i principali diritti inviolabili sanciti dalla costituzione rientrano i diritti politici, i diritti di libertà personale, di associazione, di religione, di manifestazione del pensiero…
La norma si rivolge a chiunque ma in modo particolare è riferita agli organi statali che potrebbero comprimere tali diritti come accaduto in passato nella storia italiana, con l’avvento del fascismo.
La Costituzione riconosce, inoltre, l’importanza del diritto di riunione, e di associazione, poiché è ritenuto passo fondamentale per lo sviluppo della persona.
L’articolo 2 della Costituzione è ritenuta una norma aperta, in modo da far rientrare non solo i diritti menzionati, ma anche quelli che il mutuare dei tempi e della cultura rendono fondamentali.
Ecco alcuni esempi:
diritto alla privacy;
diritto dei giovani all’obiezione di coscienza;
diritto dei sanitari di non partecipare a interventi abortivi;
IL PRINCIPIO DELL’UGUAGLIANZA
Art.3 c.1 dispone: “Tutti i cittadini hanno pari dignità sociale e sono eguali davanti alla legge, senza distinzione di sesso, di razza, di lingua, di opinioni politiche, di condizioni personali e sociali”
Art.3 c.2 dispone: “E’ compito della Repubblica rimuovere gli ostacoli di ordine economico e sociale che, limitando di fatto la liberta e l’uguaglianza dei cittadini, impediscono il pieno sviluppo della persona umana (…).
Con questo articolo la Costituzione intende fare una scelta di uguaglianza “sostanziale”.
L’uguaglianza formale si attua applicando norme rigidamente uguali per tutti, senza distinzioni per ragioni economiche, di sesso, di forza…
Tale principio era ispirato al vecchio sistema liberale ottocentesco.
L’uguaglianza sostanziale permette la differenziazione della disciplina per i vari gruppi, per le diverse categorie con lo scopo di livellare e correggere gli squilibri economici e le ingiustizie.
ENGLISH DOCUMENTS ABOUT “HUMAN RIGHTS”
In Britain,
before Henry II, there wasn’t a system of laws. Infact this king introduced for
the first time the Common Law that is yet the actual legal system in Britain
with legislation. These rules based on “precedents” and were applied on the
whole land. Each new case was compared to a precedent similar case and the
decisions where the same given in the past.
Henry II had two sons: Richard I Lionheart and King John Lackland.
The first son tried to free Jerusalem directing the Third Crusade, but he was a failure, with a big cost of lives and money.
King John, instead, didn’t have respect for law; infact, he confiscated arbitrarily excessive taxes from his subjects.
In those times, nobles were the main contributors of money; so, they wanted to take part in the decisions of the reign.
The conflict between barons and the king led to a special event.
In 1215 at Runnymede, King John had to agree and sign a very important document: the Magna Carta.
With the Magna Carta, for the first
time, the power of the king was limited and he was subject to “the law of the
land”. Moreover this document said: “No taxes shall be demanded in our realm
without the consent of the great council. No free man shall be arrested, lose
his property or harmed in any way unless he has been judges by his equals under
the law of the land”.
King John
In 1240, a council of aristocrats which advised the king was called “Parliament”.
Subsequently, also middle classes, who contributed with their money and men, wanted to partecipate in the government.
So, in 1295, Edward I summoned the Model Parliament that included a representation of the church , the barons and the commoners (common people). Edward’s Parliament already contained today’s House of Lords and House of Commons.
In 1628, the Parliament presented to Charles I Stuart a request that claimed the inviolability of the personal freedom: The Petition of Rights. It laid down the rights of the Parliament to control the requests of the king in the financial and fiscal framework. The king was forced to accept it, but one year later started a repressive policy.
Then, in 1679, Habeas Corpus Act was
promulgated versus King Charles II to abolish abuses of power on prisoners.
Then Glorious Revolution marked the triumph of Parliament over the monarchy.
William III and
Mary II
In 1689,
rights and liberties of all subjects were guaranteed with the Bill of Rights.
It established that:
William III and Mary II ratified this document creating the first consitutional
monarchy, in which the right of the monarch is based on an Act of Parliament.
-Definizione
L’IMPOSTA è un prelievo “coattivo” di ricchezza attuato dall’ente pubblico nei confronti di “tutti” i cittadini per finanziare i beni e i servizi pubblici generali, la cui natura impedisce di individuare la misura del beneficio goduto da ognuno.
-Gli elementi dell’imposta Gli elementi dell’imposta sono:
-I principi dell’imposta
I principi giuridici dell’imposta sono dei criteri fondamentali che il legislatore deve rispettare nell’emanazione delle leggi tributarie.
Tali principi hanno lo scopo di assicurare l’equità nella distribuzione del carico tributario.
Il principio della generalità (universalità) stabilisce che “tutti” i cittadini sono obbligati a pagare le imposte.
Infatti, devono effettuare tale versamento tutti i cittadini residenti, e quelli non residenti per i redditi prodotti nello Stato.
Esistono, tuttavia, delle esenzioni ed agevolazioni, riferite a determinate categorie, dovute a ragioni di giustizia sociale. Un esempio può essere l’esenzione per i redditi minimi o le agevolazioni fiscali agli agricoltori.
Si prevedono inoltre delle esenzioni di tipo temporaneo. Queste esenzioni possono essere concesse per ragioni sociali e economiche. Un esempio può essere il bonus fiscale per gli autotrasportatori colpiti dal caro-gasolio.
Le agevolazioni e le esenzioni sopradette non possono, però, essere considerate deroghe al principio della generalità, perché interessano singoli tributi e non la generalità dell’imposta.
Il principio dell’uguaglianza (uniformità), invece, stabilisce il trattamento tributario deve essere il medesimo per “tutti” i cittadini.
Questo principio deriva dall’articolo 53 della nostra Costituzione, il quale sancisce che “Tutti sono tenuti a concorrere alle spese pubbliche in ragione della loro capacità contributiva”.
Questo articolo, in tal modo, assicura una funzione garantista, limitando la prestazione tributaria ad un atto o fatto economico.
I principi amministrativi sono dei presupposti che lo Stato deve rispettare per poter svolgere una “corretta” amministrazione tributaria.
A questi principi spetta il compito di assicurare certezza, giustizia, comodità ed economicità.
-Gli effetti economici dell’imposta
Gli effetti economici dell’imposta si riferiscono ai comportamenti che il debito d’imposta può provocare nel contribuente.
Questi effetti possono essere studiati a livello macroeconomico e microeconomico.
Tuttavia, queste reazioni possono raggrupparsi in due grandi gruppi:
Nel primo gruppo rientrano l’evasione, la rimozione negativa e l’elusione.
Nel secondo gruppo ritroviamo la traslazione, elisione, ammortamento e diffusione.
L’evasione oltre ad essere un atto illecito e antisociale, produce
ingenti distorsioni nell’economia del paese. Infatti, questo effetto provoca
molteplici effetti negativi compromettendo l’equa distribuzione del carico
tributario. Dato che il fabbisogno pubblico deve essere comunque fronteggiato,
in casi di elevata evasione,si ha di conseguenza una più forte pressione
tributaria sui i cittadini che pagano correttamente le imposte, o in
alternativa il ricorso dello Stato a prestiti pubblici.
Un’altra conseguenza è data dalla distorsione della concorrenza, perché gli evasori non dovendo sopportare il peso dell’imposta, hanno l’opportunità di effettuare un rialzo dei prezzi.
Si parla di rimozione negativa quando un contribuente rinuncia a svolgere l’attività economica se questa è assoggettata ad un’imposta fortemente progressiva, che quindi ne assorbirebbe una percentuale molto elevata. Il risultato per il fisco sarà in primo luogo una diminuzione del gettito fiscale e in seconda analisi un ristagno dell’economia nazionale nel settore colpito. Può accadere che questo effetto sia provocato dallo Stato intenzionalmente, per disincentivare alcune attività (per esempio l’imposta sui sacchetti di plastica).
L’elusione (eludere = evitare) si ha quando il soggetto che produce o utilizza delle ricchezze, cerca di modificare alcuni aspetti formali. In questo modo il soggetto riesce ad evitare l’imposta in modo legittimo, senza quindi violare la legge(per esempio il passaggio da una spa ad una srl) . Questo effetto è dovuto ad una poca organicità e precisione delle leggi.
Il termine elisione deriva dal verbo elidere e cioè “compensare”. Questo effetto è anche detto rimozione positiva. Si verifica quando l’imposta diventa un incentivo a lavorare o produrre di più. Ciò accade quando aumenta l’imposizione fiscale e il contribuente cerca di compensare il peso dell’imposta con un maggiore reddito.
L’ammortamento si riferisce a quelle imposte che gravano sul reddito di un bene patrimoniale. Una volta che questo bene viene trasferito, l’acquirente detrae dal prezzo che pagherà l’importo dell’imposta capitalizzata.
Si parla di diffusione quando gli effetti economici non restano circoscritti al settore in cui si sono creati. Al contrario, gli effetti si diffondono in altri campi anche molto lontani dal settore di origine.
La traslazione consiste nel riuscire a trasferire il peso dell’imposta dal contribuente di diritto (percosso)su un altro soggetto che verrà ad essere l’inciso dall’imposta e quindi il contribuente di fatto, perché sarà lui a sopportare il peso dell’imposta.
Si parla di traslazione in avanti, quando l’imposta colpisce il produttore, ed egli aumenta il prezzo dei proprio beni, trasferendo così il peso sul consumatore.
Abbiamo la traslazione all’indietro, nel caso in cui, il consumatore colpito dall’imposta provoca una diminuzione della domanda e di conseguenza una diminuzione del prezzo. Il peso si trasferisce così sul produttore. La traslazione svilupparsi, inoltre, in maniera laterale, nel caso in cui i produttori che impegnano i loro capitali nei settori più colpiti dall’imposta, cambiano settore, trasferendosi in uno meno oneroso. In questo modo si crea un aumento dell’offerta ed una riduzione dei prezzi e soprattutto dei profitti.
Economia Aziendale: la determinazione delle imposte dirette
L’imposta è un
prelievo coattivo di ricchezza
effettuato da un ente pubblico dotato dalla legge di “potere
impositivo”. Esse possono distinguersi in dirette e indirette.
Le imposte indirette gravano sui trasferimenti patrimoniali, gli atti di produzione o di scambio e consumo di beni o servizi. Un esempio è l’imposta sul valore aggiunto IVA.
Le imposte dirette colpiscono le manifestazioni evidenti e immediate della capacità contributiva,
individuata generalmente nel reddito conseguito o nel patrimonio posseduto.
Esse si dividono, a seconda dell’oggetto che viene colpito e del soggetto a cui fanno capo, in
• Imposta regionale sulle attività produttive (IRAP)
• Imposte sul reddito (IRPEF e IRES)
L’imposta regionale sulle attività produttive (IRAP) è un’imposta proporzionale, applicata nell’ambito di un’attività autonomamente organizzata destinata alla produzione o allo scambio di beni o servizi. Pur essendo un’imposta diretta, l’IRAP non si riferisce al reddito, ma ha come presupposto oggettivo la produzione.
Essa ha un’aliquota del 4,25 % , con la possibilità per le regioni di modificarla non oltre un punto percentuale.
A seconda del soggetto a cui fanno capo le imposte sul reddito possono dividersi in:
imposta sul reddito delle persone fisiche (IRPEF): è un imposta progressiva ad aliquote crescenti per scaglioni. Grava sul reddito imponibile delle persone fisiche.
Imposta sul reddito delle società (IRES): è un’imposta proporzionale ad aliquota del 33 % e grava sul reddito imponibile complessivo delle persone giuridiche.
Il reddito d’impresa è regolamentato dal Testo Unico delle Imposte sui Redditi (TUIR) che nell’articolo 55 stabilisce che possono definirsi redditi di impresa quelli che derivano dall’esercizio di imprese commerciali, e cioè l’esercizio di professioni abituali:
Il Reddito d’impresa da assoggettare a tassazione viene determinato apportando all’utile o alla perdita risultante dal Conto economico le variazioni in aumento o in diminuzione conseguenti all’applicazione dei criteri fiscali stabiliti dal TUIR.
Il reddito fiscale è il risultato economico dell’impresa che viene riferito all’esercizio in base alle disposizioni delle norme tributarie
Reddito di bilancio + Variazioni in aumento – Variazioni in diminuzione = REDDITO FISCALE
I principi generali derivanti dall’articolo 109 del TUIR, riguardanti i componenti del reddito d’impresa sono:
Inerenza (i costi scritti nel Conto economico devono essere necessariamente collegati con l’attività aziendale svolta);
Certezza (tutti i costi iscritti nel Conto economico devono essere attendibili e documentati);
Imputabilità specifica (i costi possono definirsi deducibili se si riferiscono ad attività che producono ricavi concorrenti alla determinazione del reddito d’impresa);
Iscrizione in bilancio (tutte le spese sono deducibili se e nella misura in cui risultano iscritti nel Conto economico);
Competenza fiscale (i costi e i ricavi rientrano nella formazione del reddito dell’impresa nell’esercizio di competenza);
Le variazioni al reddito di bilancio:
Le variazioni in aumento si determinano quando:
i costi fiscalmente deducibili sono di ammontare inferiore rispetto all’ammontare civilistico (es: costi per manutenzioni e riparazioni 10000€, di cui solo 7000€ sono deducibili)
i ricavi tassabili sono di ammontare superiore rispetto a quello civilistico. (es: il maggior valore fiscale delle rimanenze finali di magazzino, rispetto a quello determinato a norma del c.c., provoca una variazione in aumento)
Le variazioni in diminuzione hanno luogo quando il conto economico comprende ricavi d’esercizio che non sono tassabili, o per il quali è possibili rinviare la tassazione, ripartendola su più esercizi futuri. Occorre sottrarre tali costi dal reddito di bilancio. (es: plusvalenze patrimoniali che in certi casi possono usufruire di una tassazione rateizzata)
- Se le variazioni in diminuzione superano l’utile civilistico, l’esercizio sarà in perdita fiscale, anche se civilisticamente presenta un utile; viceversa, se le variazioni in aumento superano la perdita, si può avere, pur in presenza di una perdita civilistica, un utile fiscale.
Svalutazione dei crediti commerciali Se in un esercizio, l’ammontare complessivo delle svalutazioni dedotte eccede il 5 % del valore nominale dei crediti, l’eccedenza concorre a formare il reddito fiscale dell’esercizio. La svalutazione è consentita entro un limite non eccedente lo 0,50%.
Le perdite sui crediti sono deducibili fiscalmente se risultano da elementi certi e precisi e se il debitore è assoggettato a procedure concorsuali. Queste perdite sono deducibili solo per la parte che eccede l’ammontare complessivo delle svalutazioni dedotte nei passati esercizi. Bisogna precisare che queste norme sono applicabili solo ai crediti di natura commerciale.
ESEMPIO:
Fondo rischi su crediti esistente: 19.055 €
Crediti di natura commerciale: 729.749 €
Svalutazione crediti iscritta nella Situazione economica 8.450€
19.055 x 100 = 2,61€
729.749
Svalutazione crediti fiscale dell’esercizio (729.749 x 0,50 %) = 3.648,75
8.450 – 3648,75 = 4.801,25 € Variazione in aumento al reddito di bilancio
Può essere:
Ammortamento fiscale < Ammortamento civilistico Componente positivo del reddito
fiscale
Ammortamento fiscale > Ammortamento civilistico
Componente negativo del reddito fiscale
Le spese di manutenzione, riparazione, ammodernamento e trasformazione sono deducibili al massimo al 5 % del costo complessivo di tutti i beni materiali ammortizzabili, quale risulta all’inizio dell’esercizio dal registro dei beni ammortizzabili.
I costi di manutenzione derivanti da contratti stipulati con i terzi, che provocano il pagamento di canoni periodici, sono interamente deducibili.
Nei cinque esercizi successivi bisognerà apportare una variazione negativa del reddito di bilancio pari a 1/5 dell’importo.
ESEMPIO
Le spese di manutenzione e riparazione deducibili sono pari a:
per i beni soggetti contrattualmente a canoni di manutenzione 12.150
+ arredamento acquistato nell’esercizio (22.800 x 6/12 x 5%) 570
+per altri beni ammortizzabili (1.050.000 x 5%) 52.500
![]()
65.220
Le spese di manutenzione sostenute nell’esercizio sono pari a 67.800 euro si ha:
(67.800 – 65.200) = euro 2.580 variazione in aumento al reddito fiscale
Reddito fiscale d’impresa
- perdite non compensate nei periodi d’imposta precedenti
Reddito imponibile ai fini IRES
Le imposte da versare, rilevate contabilmente nel conto Debiti per imposte sono il risultato della differenza tra le imposte dovute e le imposte già pagate.
Imposte correnti (o dovute)
- Acconto imposte Ritenute d’acconto
= Imposte da versare
Il servizio di riscossione dei tributi è esercitato da concessionari, detti agenti di riscossione, che hanno il compito di riscuotere le imposte e versarle alla sezione di tesoreria dello Stato competente per il territorio.
La base del calcolo dell’imponibile IRAP è la differenza tra il valore della produzione e i costi della produzione a esclusione delle perdite su crediti e delle spese per il personale dipendente.
A-B (differenza tra valore e costi della produzione)
+ costi per il personale (esclusi premi INAIL,spese relative agli apprendisti, ai disabili…)
+ svalutazione dei crediti compresi nell’attivo circolante
+ perdite su crediti
+ componente finanziaria dei canoni di leasing
+ costi per lavori occasionali e per collaborazioni coordinate e continuative
+ componenti fiscali positivi
- componenti fiscali negativi
= BASE IMPONIBILE IRAP
Scritture in Partita doppia
|
|
IMPOSTE DELL’ESERCIZIO IMPOSTE C/ACCONTO ERARIO C/RITENUTE SUBITE DEBITI X IMPOSTE |
|
|
Informatica: i primi sistemi operativi e le tecniche di programmazione
Sin dagli anni ’40 i sistemi operativi hanno subito un forte processo
di evoluzione e trasformazione, per arrivare agli odierni computer. Poiché
esisteva una stretta dipendenza tra il software di base e l’hardware, i primi
sistemi operativi erano progettati per una tipologia particolare di computer.
Si parlava quindi di sistemi proprietari. Il concetto di sistema operativo
ancora non esisteva.
- Un job è una singola oppure una serie di attività legate all’elaborazione o alle operazioni di I/O.
Per aumentare l’efficienza della CPU, invece di caricare il compilatore ogni volta che si doveva eseguire un programma, i job venivano raggruppati in un lotto per poi essere compilati uno alla volta. Il tempo della CPU, era quindi sfruttato al meglio, perché bastava caricare il codice del compilatore una sola volta per un intero gruppo di programmi. Questa tecnica è denominata elaborazione batch. Lo svantaggio risultava nel non poter intervenire durante l’esecuzione per modificare l’andamento del processo.
L’elaborazione batch conviene nel caso in cui bisogna eseguire una sequenza di operazioni ripetitive in cui non è richiesto l’intervento dell’operatore. Per questo, le procedure necessitano di un buon collaudo per accertare l’assenza di errori che causerebbero interruzioni.
Il padre dei sistemi operativi
Nacque, in seguito, l’esigenza di creare un programma che doveva essere in grado di gestire i programmi caricati in memoria centrale, interpretare ed eseguire sequenze di comandi forniti in modo batch, nascondendo all’utente le problematiche legate alla gestione dell’hardware. Furono creati così i primi sistemi operativi chiamati “monitor”, proprio perché avevano il compito di controllare e supervisionare l’andamento dell’elaborazione.
Oggi, il sistema operativo ha molteplici funzioni e per questo può essere definito in più forme:
o è il programma che gestisce le risorse fisiche e logiche di un sistema di elaborazione;
o è un fornitore di servizi;
o è l’unico programma ad essere sempre residente in memoria centrale;
Il sistema operativo è un programma molto complesso suddiviso in più
moduli software. Ognuno di essi gestisce un hardware o un software. Per
dirigere tali risorse, il nucleo denominato anche “kernel”, deve essere sempre
residente nella RAM della memoria centrale, per essere eseguito dalla CPU.
Quindi, come è già stato detto il software di base è l’unico programma sempre
presente nella RAM e di conseguenza la sua mancanza, provocherebbe il blocco
dell’elaborazione.
Ogniqualvolta si avvia un elaboratore, deve essere eseguita la procedura di bootstrap che provvede al trasferimento di alcuni file di sistema dalla memoria permanente alla RAM.
La CPU è costretta ad attendere anche milioni di operazioni macchina, prima che il dispositivo termini le proprie attività, quando è in fase di svolgimento un’operazione di I/O. Così, la CPU spreca molto tempo per interrogare i dispositivi; e tale tempo viene sottratto a quello di esecuzione.
Questi svantaggi vengono superati con l’introduzione delle interruzioni e del buffer.
Un’interruzione è un segnale generato da un dispositivo o da un processo, che viene inviato ad un altro dispositivo o processo. Il processo interrotto non viene abbandonato. Infatti si salva il suo stato, in modo che una volta ripreso, possa continuare la sua esecuzione.
Per poter realizzare operazioni di I/O simultaneamente alle attività della
CPU bisogna avere una parte della memoria centrale chiamata buffer, utilizzata per lo scambio dei dati tra il programma che richiede l’utilizzo dell’I/O e il relativo dispositivo ed inoltre bisogna permettere alla periferica di poter comunicare con la sua velocità, alla CPU quando deve effettuare un’attività o se l’ha già terminata.
La richiesta da parte della CPU di tutti i dispositivi ad essa collegati è detta polling.
La gestione dell’I/O può essere classificata in:
gestione on-line: quando i dispositivi che svolgono le operazioni sono direttamente collegati all’elaboratore centrale e sono controllati dal sistema operativo
gestione off-line: l’ingresso e l’uscita dei dati sono indipendenti dal tipo di unità, perché il dispositivo di I/O è considerata come un file memorizzato su una memoria secondaria.
L’introduzione della tecnica della multiprogrammazione (descritta di seguito) generò nuovi problemi per la gestione di più richieste simultanee dell’utilizzo di risorse non condivisibili (per esempio la periferica stampante).
Per consentire l’utilizzo dello stesso dispositivo a diversi programmi
simultaneamente, fu introdotta la tecnica dello spooling.
Il principio di questa tecnica consiste nell’interporre un disco magnetico nel flusso dell’I/O tra i programmi richiedenti gestiti in multiprogrammazione e i dispositivi non condivisibili. La tecnica funziona in questo modo:
quando un job richiede l’utilizzo della periferica , lo spooler gli assegna un file temporaneo sul disco, dove potrà compiere tutte le operazioni di I/O. Quando il job termina le sue operazioni, il file viene bufferizzato e il job potrà compiere l’I/O finale. In questo modo l’utente ha la sensazione di disporre pienamente della periferica.
Il sistema operativo può organizzare il lavoro in:
o monoprogrammazione : se esegue un programma alla volta, a turno in modo sequenziale.
o multiprogrammazione: quando i job caricati in memoria centrale, competono tra di loro, per ottenere l’utilizzo della CPU e dei dispositivi di I/O.
Il presupposto della multiprogrammazione è, quindi, quello di non lasciare mai la CPU inutilizzata, sfruttando pienamente le sue potenzialità.
Si caricano, così, più programmi utente e appena la CPU rimane inattiva, il sistema operativo assegna un nuovo programma tra quelli in attesa di esecuzione.
Successivamente fu introdotta la tecnica del time sharing che assegnando un quanto di tempo massimo, detto time slice,ad ogni job, è in grado di ripartire l’utilizzo della risorsa Cpu fra più processi utenti.
In tal modo, l’esecuzione di un programma viene interrotta se viene richiesta un’operazione di I/O oppure se ha usufruito dell’ intero time slice assegnatogli.
Per poter valutare questo tipo di elaborazione si utilizza un parametro detto tempo di turnaround (intervallo medio compreso tra l’inizio del job e l’istante in cui vengono rilasciati i risultati dell’esecuzione).
Un sistema di elaborazione gestito in time sharing è un esempio di multiutente, perché le risorse hardware e software sono a disposizione di più utenti che ne usufruiscono a turno.
Un sistema multiutente si differenzia da uno monoutente dove l’unico utente ha a completa disposizione tutte le risorse del computer.
Un sistema operativo real-time è un sistema operativo utilizzato tipicamente in un ambito industriale o comunque dove sia necessario ottenere una risposta dal sistema in un tempo massimo prefissato.
Per effettuare il controllo delle risorse, un sistema in tempo reale funziona con un algoritmo basato su un loop infinito, che esegue quindi sempre le stesse operazioni, e si arresta solo in caso di errore, per eseguire le operazioni associate alla risoluzione della tipologia di errore effettuatosi.
Matematica: l’interpolazione
Nella matematica applicata si osserva l’esistenza di relazioni fra due grandezze.
Il problema dell’interpolazione consiste nell’andare alla ricerca di una funzione che permetta di ricavare informazioni associate a dati mancanti posti tra due dati noti.
Si possono studiare due tipi di interpolazione:
statistica: ricerca della funzione interpolante passante fra i punti assegnati
• matematica: consiste nell’individuare la funzione passante per i punti assegnati
Rappresentando le coppie di dati graficamente sul piano cartesiano, otteniamo il cosiddetto diagramma a dispersione, o a nuvola, che può assumere varie forme.
Per quanto riguarda la scelta della funzione non esistono criteri generali validi in ogni caso e si possono solo dare delle indicazioni.
Innanzi tutto bisogna tracciare il diagramma a dispersione ed analizzare l’andamento del fenomeno.
Verranno prese in esame interpolazioni statistiche con le seguenti funzioni:
Interpolazione lineare: y = mx + q
Interpolazione parabolica: y = ax2 + bx + c
Interpolazione esponenziale: y = a bx
Interpolazione potenza: y = a xb
Il metodo più utilizzato per individuare la funzione interpolante è il metodo dei “minimi quadrati” che consiste nella ricerca del minimo di una funzione a due variabili.
Applicare questo metodo, quindi, vale a dire: rendere minima la somma degli scarti al quadrato delle y meno le y teoriche.
![]()
![]()
Per individuare l’equazione della retta interpolante fra punti noti, oltre al metodo sopradetto, si può anche utilizzare il metodo del baricentro.
Per cui andremo a ricercare la retta
![]()
![]()
![]()
S( xi –
x )2
![]()
y –
y = a ( x – x ) con a =
![]()
Per ricavare la funzione che interpola matematicamente i dati esistono due metodi :
Nel primo caso (quello più semplice ed usato) occorre costruire una funzione polinomiale con un numero di termini uguale al numero dei dati di cui si dispone.
Esempio: quando abbiamo tre dati statistici dobbiamo ricavare la funzione y = a + bx + cx2
Dopodiché sostituiremo, volta per volta, le coordinate dei punti e metteremo a sistema queste equazioni per ricavare a, b e c e scrivere quindi la funzione individuata.
L’interpolazione si distingue dalla “perequazione” che consiste nel sostituire ai dati statistici, dati teorici alfine di rendere più omogenei i dati statistici rilevati oppure per correggere eventualmente errori di rilevazione o di calcolo.
Si possono studiare tre tipi di perequazione:
Applicare la perequazione grafica significa avere il diagramma a dispersione e tracciare all’interno una figura fra i dati disegnati, in modo che il numero dei punti che stanno al di sopra del grafico siano uguali a quelli al di sotto del grafico in modo da annullare gli scarti in totale.
Valutazione bontà dell’interpolazione – Confronto fra diverse funzioni interpolanti
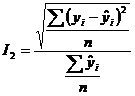
Per poter giudicare la qualità di un’interpolazione statistica, ovvero per capire quanto la funzione interpolante si avvicina ai punti della dispersione, esistono degli indici di scostamento. Il più importante è l’indice di scostamento quadratico che si calcola con la seguente formula:

Un valore di I2 < 0,1 indica un buon accostamento.
L’indice di scostamento, calcolato su più funzioni che interpolano gli stessi punti, permette di capire quale delle stesse si adatta meglio: ovviamente quella con l’indice di scostamento inferiore.
L’indice di correlazione (a differenza di quello di scostamento) esprime il legame che esiste tra le variabili x ed y.
Questo indice assumerà sempre un valore compreso fra –1 e 1.
Se l’indice risulta uguale a 0 , il fenomeno non è descrivibile con una retta e quindi le due variabili non sono correlate. Se verrà ad essere –1 o 1 vorrà dire che le variabili sono perfettamente correlate negativamente nel primo caso, positivamente nel secondo.
Se 0< x < 1 al crescere di una grandezza cresce anche l’altra, quindi sono correlate positivamente.
Se –1< x < 0 al crescere di una grandezza diminuisce l’altra, quindi sono correlate negativamente.

Per studiare la dipendenza di due variabili statistiche bisogna cercare, se esiste, una funzione che, dato il valore di una delle due variabili, consenta di determinare il comportamento in media dell’altra. Questo studio è detto teoria della regressione.
Per ogni valore di x siamo in grado di determinare la media dei valori di y. Questi punti sono detti di regressione. Si può naturalmente invertire la situazione considerando per ogni y, la media dei valori di x.
La funzione di regressione che si usa più spesso è la retta.
Abbiamo cosi le seguenti rette:
|
![]()
a(xi
– x )2
y – y0= a1 (x – x0) con a1 =
![]()
|
![]()
![]()
a(yi
– y )2
x – x0= a2 (y – y0) con a2 =
![]() |
| Appunti su: https:wwwappuntimaniacomuniversitadirittotesina-multidisciplinare-i-dir13php, |
|
| Appunti Ricerche | ![]() |
| Tesine Amministratori | ![]() |