![]() |
|
| Appunti universita |
|
| Visite: 4422 | Gradito: |
Leggi anche appunti:Escherichia coliESCHERICHIA COLI Il genere Escherichia comprende una sola specie, E. Coli, Anatomia dentaleANATOMIA DENTALE (L'articaina esiste solo con vasocostrittore) Il primo Tecniche immunoanaliticheTecniche immunoanalitiche L'Immunometria comprende tutte le tecniche che |
![]() |
![]() |
Aspirina
INTRODUZIONE: Perché l'aspirina.
L'argomento che andrò a trattare è un medicinale noto a tutti, forse il più famoso, e che di sicuro ha segnato la storia della medicina, senza smettere tuttora di stupirci: l'aspirina.
Dietro alla mia scelta si possono individuare varie ragioni.
In primo luogo ho pensato che, pur essendo un argomento di carattere puramente scientifico, potesse essere in realtà utile a tutti, dato che l'aspirina è un medicinale molto conosciuto, il cui uso è largamente diffuso; inoltre suppongo che la mia illustrazione risulterà abbastanza comprensibile per tutti (esperti della materia e non), se non nello specifico della chimica di questo composto, almeno nella praticità dei suoi effetti. In particolare ho ritenuto interessante analizzare quali siano i veri benefici e quali le controindicazioni dell'aspirina in quanto spesso se ne parla senza conoscere veramente il suo meccanismo d'azione. Forse, dopo questo lavoro, vi sentirete un po' più sicuri, oppure un po' meno, nell'uso di questo medicinale: se non altro, mi auguro che possiate dire di saperne un po' di più sull'aspirina.
Un'altra ragione e forse anche la principale che risiede dietro alla mia scelta è la mia intenzione di iscrivermi nel prossimo futuro alla facoltà di farmacia, indirizzo CTF (chimica e tecnologie farmaceutiche), in quanto mi affascina l'idea di poter fare ricerca nel campo dei medicinali.
![]()
Questo elaborato verterà su tre principali punti: inizierò col raccontarvi l'interessante storia di questo medicinale, che ha ormai più di un secolo, quindi entreremo un po' più nello specifico, analizzando la molecola di acido acetilsalicilico e il suo funzionamento nel nostro organismo; infine vedremo anche i suoi effetti collaterali e al tempo stesso le sempre nuove applicazioni di questo straordinario farmaco.
Sperando di avervi incuriosito, vi auguro un buon ascolto/lettura.
La storia dell'aspirina.
La scoperta dell'Aspirina, come per la maggior parte dei medicinali moderni, è piuttosto recente, risalendo infatti alla fine del diciannovesimo secolo. Ma non tutti sanno forse che gli effetti benefici dell'acido salicilico (così come gli effetti collaterali), avendo questo composto un'origine naturale, erano già stati scoperti fin dall'antichità, probabilmente fin da quando l'homo sapiens ha iniziato a distinguere le piante, cercando di sfruttarne i benefici.
La
preistoria dell'aspirina. Le prime due prove concrete
comunque che si hanno dell'uso di foglie e corteccia di salici e mirti nella
medicina risalgono rispettivamente a circa 3000 anni a.C. e al
Così come l'uso medico del salice si era probabilmente diffuso dai Sumeri agli Egizi, esso fu tramandato anche in Grecia, dove anche il celeberrimo Ippocrate di Cos (V sec. a.C.), "il padre della medicina", "prescriveva" la corteccia di salice come analgesico: egli in particolare lo sfruttò per i dolori del parto e per abbassare la febbre. Dalla Grecia l'uso del salice sopravvisse per centinaia d'anni anche nella civiltà romana.
Verso il progresso delle scienze. Fu però col calare del buio medievale che gran parte dei rimedi medici, fra cui anche le proprietà dell'acido salicilico, andarono perduti. Si dovrà aspettare dunque la curiosità di un reverendo della periferia di Chipping Norton, nel XVIII secolo, il quale per caso, o forse seguendo l'idea di Paracelso, per cui "la natura è causa e cura delle malattie" e quindi laddove si trova la causa di un male vi è anche il suo rimedio, assaggiò la corteccia di salice e la trovò tremendamente amara, proprio come la corteccia di china, allora unico rimedio contro le febbri, ma di difficilissimo reperimento. A questa idea successe una serie di esperimenti ben poco ortodossi, da cui il reverendo Edward Stone ricavò una tale certezza sulle proprietà "assorbenti, astringenti e febbrifughe" della sua scoperta da decidere di comunicarle alla Royal Society. In ogni caso, fu solo nel secolo successivo che la sua scoperta poté essere messa a frutto, grazie alle innovazioni in tutti i campi portate dal progresso industriale.
Ben presto partì quasi una gara per chi prima fosse riuscito a isolare l'ingrediente segreto della corteccia di salice: il miglior risultato fu ottenuto nel 1838 da un italiano, Raffaele Piria, che denominò l'acido salicilico. Ma vi era ancora una certa diffidenza nei confronti di questo nuovo rimedio, considerato come uno fra i tanti, se non peggiore per la sua sgradevolezza e l'irritazione collaterale persino accentuata con l'isolamento dell'acido.
La strada fu dunque aperta da un medico inglese, Thomas John Maclagan, che utilizzò la salicina per curare la febbre reumatica, legittimando con una complessiva analisi medica i risultati già conseguiti dal reverendo Stone: insomma, si era trovata una nuova cura efficace contro molti dei mali più comuni; restava ora da ridurre la serie di effetti collaterali ad essa legati e da rifinire il composto.
Così nacque l'aspirina. La spinta decisiva venne dalla Germania ormai in fase d'unione; nel nascente complesso della Bayer, che dopo la morte dei suoi fondatori aveva scelto fra i settori in cui espandere il proprio commercio quello farmaceutico (che data l'associazione che si fa al nome Bayer, si rivelò poi il più fortunato), emersero negli anni ottanta dell'Ottocento tre figure scientifiche importanti: Heinrich Dreser, direttore del reparto di farmacologia, Arthur Eichengrün, direttore del reparto farmaceutico, ed infine Felix Hoffman[figura (1)], collega di Eichengrün. Sebbene il merito della scoperta dell'aspirina sia spesso dato al solo Hoffman, che avrebbe sintetizzato l'acido acetilsalicilico sotto l'influenza del padre, che soffriva particolarmente gli effetti collaterali della sua cura reumatica, è in realtà molto probabile che l'incarico gli fosse stato semplicemente affidato dall'alto, ovvero da Arthur Eichengrün. Inoltre, molti erano gli studi già effettuati in questo senso e, seppur inconsapevolmente, Charles Gerhardt, professore di chimica all'Università di Montpellier, aveva già realizzato un risultato importante, seppur ancora grezzo: risultati di cui Hoffman poteva essere facilmente venuto a conoscenza. Comunque la tecnica scoperta da Felix Hoffman per sintetizzare l'ASA fu ancor più efficace di quella di Gerhardt:
"Quando l'acido salicilico
(100 parti) viene scaldato per tre ore con anidride acetica (150 parti) sotto
riflusso, l'acido salicilico risulta significativamente acetilato. Distillando
poi l'acido acetico si ottiene il suddetto in forma di aghi che, cristallizzati
col benzene, fondono a 136° (il valore indicato in letteratura è 118°). In contrasto con i dati riportati in
letteratura, il mio prodotto acetilico non reagisce con il cloruro di ferro e
in ciò si differenzia fortemente dall'acido salicilico. Per le sue proprietà
fisiche, ovvero il suo sapore amaro e l'assenza di effetti corrosivi, l'acido
acetilsalicilico differisce in meglio dall'acido salicilico e per la sua
utilità andrà ora soggetto a sperimentazione clinica."
(Felix Hoffman Laboratory Journal, 10 agosto 1897, archivi Bayer, Leverkusen)
Figura
(1). Felix
Hoffmann (foto) nasce a Ludwigsburg nel 1868. Dopo aver conseguito la laurea in
Chimica a Monaco di Baviera, viene assunto dalla nascente industria
farmaceutica:
Ma mentre Hoffman e Dreser accantonavano l'acido acetilsalicilico, del quale quest'ultimo non voleva approvare la sperimentazione in quanto convinto che esso provocasse l'indebolimento del cuore, per dedicarsi al lancio dell'eroina (scoperta anch'essa da Hoffman solo 11 giorni dopo l'aspirina e ritenuta inizialmente una cura miracolosa per la tosse), il progetto fu affidato ad Eichengrün. Contro ogni aspettativa egli promosse il farmaco presso alcuni medici e ne ricevette responsi talmente positivi che infine l'aspirina vide la luce. Il nome nacque nello stesso anno del suo debutto sul mercato: "a", per ricordare il processo di acetilazione, "spir", dal nome latino della spiraea, un'altra pianta da cui si poteva ricavare l'acido salicilico, ed "in" dal suffisso tipico dei medicinali, che rendeva più semplice ricordarne i nomi. Nel luglio 1899 insomma, insieme a un saggio che spiegava le sue proprietà e caratteristiche, col quale Dreser si prese praticamente il merito della scoperta, avvenne il lancio dell'aspirina.
La chimica dell'Aspirina.

L'ormai famosa compressa bianca di Aspirina
(per adulti) contiene
Andiamo quindi ad analizzare questa molecola.

Figura (2). Una molecola di acido acetilsalicilico(ASA) o
acido 2-acetossibenzoico (secondo la nomenclatura IUPAC).
Come è chiaro si tratta di un composto a nove atomi di carbonio; in particolare la sua formula grezza è C9H8O4. La sua struttura parte da un anello benzenico, nel quale due atomi di idrogeno sono sostituiti da altri due gruppi funzionali:
In particolare la molecola sintetica di acido acetilsalicilico deriva da una molecola naturale (seppur oggi ormai riprodotta sinteticamente), ovvero l'acido salicilico (C7H6O3), proveniente dalla corteccia del salice, nella quale si sostituisce il gruppo alcolico -OH con l'acetile: ecco perché il composto prende nome di acido acetilsalicilico.
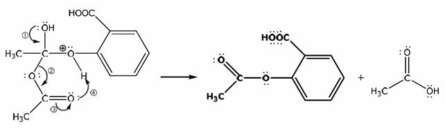
Sintesi dell'acido acetilsalicilico. Riassumerò qui brevemente questo processo, al quale l'acido salicilico deve essere sottoposto per divenire la celeberrima Aspirina, ovvero l'acido acetilsalicilico. Ciò che in sostanza Hoffman e i suoi successori ottennero e perfezionarono è, come già detto, l'aggiunta di un gruppo acetile al composto ciclico dell'acido salicilico[figura(3)], prelevandolo generalmente dall'anidride acetica, secondo questa reazione:

Figura (3). Acido salicilico (o acido 2-idrossibenzoico) + anidride acetica acido acetilsalicilico (o acido 2-acetossibenzoico)
In realtà questa è soltanto una reazione riassuntiva di una ben più lunga serie di passaggi. Innanzitutto l'anidride acetica è resa instabile dalla reazione con un acido (generalmente H2SO4), cosicché uno dei due atomi di ossigeno aventi legame doppio acquista un protone (ci sono quindi due forme di risonanza) e una conseguente carica positiva, generata da questo legame dativo. A questo punto l'attacco nucleofilo dell'ossigeno del gruppo alcolico dell'acido salicilico al carbonio secondario dell'anidride sarà più efficace, giacché la presenza del protone "in eccesso" allontanerà gli elettroni dell'ossigeno rispetto al carbonio, favorendo la rottura del doppio legame, in favore di due legami semplici con i due gruppi alcolici.

A questo punto l'ossigeno alcolico legato al carbonio secondario tende a riformare, per attacco nucleofilo di un doppietto libero, il doppio legame precedente, provocando necessariamente la rottura del legame del carbonio dal gruppo acetile che quindi si distacca dalla molecola formando una nuova molecola di acido acetico grazie al protone del gruppo carico positivamente.

Abbiamo quindi dimostrato che la reazione è piuttosto semplice e spontanea, qualità che va ad aggiungersi in favore di questo medicinale polifunzionale.
L'azione
dell'aspirina.
Fino a questo momento ho raccontato la storia di questo celebre medicinale e vi ho introdotto alla sua struttura e riproduzione sintetica. Ma ciò che rappresenta la forza di questo farmaco è chiaramente la sua azione all'interno del nostro organismo.
Bisogna innanzitutto dire che l'Aspirina si classifica come FANS, ovvero fra i farmaci anti-infiammatori non steroidei, quei farmaci cioè che hanno un'azione periferica, agendo sul metabolismo dell'acido arachidonico. Essa blocca infatti la produzione di prostaglandine, sostanze composte di acidi grassi con funzioni regolative simili a quelle ormonali.
Due parole sull'acido arachidonico. Si tratta di un acido grasso poli-insaturo, legato nelle cellule ai fosfolipidi di membrana.
L'acido arachidonico svolge, all'interno del nostro organismo, diverse
funzioni, ma quelle che a noi interessano da vicino sono le reazioni che
avvengono tramite l'enzima cicloossigenasi(COX). Infatti, con la catalisi
effettuata dalle COX l'acido produce prostaglandine (principali responsabili
dell'insorgere delle infiammazioni), e in particolare prostacicline e
trombossani, innescando una serie di reazioni nel nostro organismo, secondo un
Figura (4). Molecola di acido meccanismo di feedback positivo, conosciute come la "cascata
arachidonico (C20H74). dell'acido arachidonico".
Ed è qui che entra in azione la nostra Aspirina, agendo come inibitore dell'enzima cicloossigenasi, causando però oltre al sollievo dal dolore anche diversi effetti collaterali, talvolta piuttosto gravi. Si è scoperto infatti che l'aspirina inibisce indifferentemente ed irreversibilmente tutti gli enzimi cicloossigenasi, che invece si distinguono in due forme, apparentemente molto simili, si tratta infatti di isoenzimi, ma con compiti ben diversi nel metabolismo dell'acido arachidonico.

Inibizione di COX-2.
L'inibizione della ciclossigenasi-2 è quella considerata appunto più
"desiderabile": questo perché questo tipo di enzima è scarsamente presente
nell'organismo in condizioni normali e si attiva generalmente per la produzione
di prostacicline e prostaglandine (a partire dall'acido arachidonico) durante
un processo infiammatorio. La sua inibizione dunque è positiva, in quanto
raggiunge l'obiettivo dell'eliminazione del dolore; inoltre poiché questa
molecola si trova principalmente nelle cellule dell'endotelio, provviste di
nucleo, essa viene risintetizzata piuttosto velocemente: con questa inibizione
dunque l'aspirina non provoca effetti collaterali di particolare entità.
Figura (5).
Possiamo considerare la molecola rossa come
l'ASA: essa inibisce indifferentemente cox-1 e cox-2.
Poiché questa è
l'inibizione più ricercata nella generale terapia antidolorifica,
antinfiammatoria e antipiretica (

Figura (6) Figura (7)
a)
b) 
Figura(8). Valina(a) e Isoleucina(b), i due amminoacidi in questione, che rappresentano un'importante differenza tra gli isoenzimi della cicloossigenasi.
Dunque l'aspirina risulterebbe sconsigliabile in confronto a inibitori selettivi della COX-2 nella cura anti-dolorifica. In realtà, studi più recenti hanno dimostrato che, seppur questi COXIB (inibitori selettivi) riducano gli effetti collaterali dell'inibizione di COX-1, l'inibizione mirata di COX-2 stimola l'aumento dell'attività del suo isoenzima, il che risulta ancor più dannoso a livello cardiovascolare. Infatti sono le prostacicline le antagoniste dell'attività dei trombossani, prodotti dalla ciclossigenasi-1 e responsabili di vasocostrizione e aggregazione piastrinica; in assenza di esse, aumentando la produzione di trombossani, aumenta la possibilità di essere vittime di infarto (provocato da occlusione dei vasi): si svela dunque un'altra funzione dell'aspirina, in particolare conosciuta come Aspirinetta, la cui efficacia è data proprio dall'inibizione della COX-1.
Inibizione di COX-1.
Dunque perché l'inibizione della ciclossigenasi-1 si considera "non
desiderabile"? Probabilmente sappiamo tutti che l'uso di aspirina è anche
associato all'insorgere di ulcere nello stomaco. Infatti
Figura
(9)
Possiamo considerare la molecola rossa come nel tempo un aumento, come ho già spiegato, dei
l'ASA: essa inibisce indifferentemente problemi cardiaci e circolatori.
cox-1 e cox-2.
Reazione di inibizione. In entrambi gli enzimi comunque, l'acido acetil-salicilico agisce con
la stessa reazione di inibizione irreversibile. Come ho già detto, l'ASA è
composto dall'acido salicilico cui si aggiunge un gruppo acetilico. È proprio
questo gruppo acetile a bloccare l'azione delle cicloossigenasi: esso si lega
irreversibilmente, alterando cioè le proprietà delle proteine dell'enzima, alla
serina 530[figura(10)] presente nel
sito attivo, probabilmente per attacco nucleofilo dell'ossigeno del gruppo
acetile al carbonio terminale dell'amminoacido. Poiché le cicloossigenasi possiedono
più subunità (due per
Figura (10). La serina 530 è l'amminoacido appartenente al sito attivo della cicloossigenasi che reagisce con l'aspirina.
Per essere ancora più chiari, ecco una rappresentazione schematica della reazione che avviene tra l'acido acetilsalicilico e la serina del sito attivo della ciclo ossigenasi, che porta all'inibizione enzimatica.

Figura (11). La reazione di inibizione prodotta dall'aspirina.
Figura (12). Nella figura a fianco abbiamo una riproduzione tridimensionale dell'acido salicilico all'interno del sito attivo di una subunità della cicloossigenasi, a seguito dell'inibizione dell'enzima stesso. Si noti infatti il gruppo acetilico legato all'amminoacido serina (in verde).
Effetti collaterali.
Apriamo dunque il capitolo più sgradevole di questo glorioso medicinale; in realtà, grazie a tutta una serie di studi, scoperte e innovazioni si può dire che ormai la paura dell'aspirina è da considerarsi quasi infondata. Nessun medicinale però si può ritenere privo di effetti collaterali, quelli dell'ASA in particolare derivano principalmente dalla forma e soprattutto dalle quantità somministrate.
Emorragia gastrica. È il più noto ed anche il più grave effetto collaterale dell'aspirina:
come già spiegato, l'inibizione della COX-1 è in questo senso negativa, poiché
ostacola la produzione delle prostaglandine, che garantiscono la protezione
delle mucose, nonché l'aggregazione piastrinica, che può quindi rendere
pericolose le emorragie (ragione per cui, in caso di operazioni chirurgiche chi
facesse regolare assunzione di ASA è tenuto a informare il medico). I più
colpiti in questo caso sono le persone anziane, che manifestano una maggiore
tendenza a questa patologia. In realtà è stato dimostrato che una regolare
attività fisica è sufficiente a ridurre del 50% questa tendenza, in quanto essa
può ristabilire una regolare irrorazione dello stomaco, apportando più
ossigeno, cosa che rende il tessuto più sano e meno soggetto a deterioramento.
Ovviamente la ricerca in questo senso non si è mai arrestata; fin dall'acetilazione dell'acido salicilico il primo obiettivo degli scienziati è sempre stato quello di ridurre al minimo i problemi di ulcera causati dall'aspirina. Un esempio moderno è l'Aspirina protetta (Cemerit) da uno strato resistente ai succhi gastrici, che quindi evita il contatto del medicinale con le pareti dello stomaco.
Altre situazioni in cui porre particolare attenzione. Seppur possa provocare un ritardo nel travaglio (carattere importante per la cura della pre-eclampsia, di cui parlerò successivamente), l'assunzione di basse dosi di ASA in gravidanza non ha dato segni di particolare pericolo, sebbene sia sempre valido il principio per cui è preferibile non fare uso di alcun medicinale durante la gestazione. Invece l'utilizzo di ASA per i bambini al di sotto dei 12 anni è fortemente sconsigliato ed a ragion veduta; nonostante non sia stato ancora scientificamente provato, sembra che l'assunzione di aspirina possa essere collegata allo sviluppo della sindrome di Reye, patologia molto grave che degenera da un'infezione virale portando nella maggior parte dei casi alla morte.
Infine vi sono i casi in cui è l'ignoranza del paziente a generare complicazioni: innanzitutto è inevitabile che alcuni soggetti possano essere ipersensibili all'ASA e manifestare reazioni allergiche, anche gravi. In questo caso, poco influisce la quantità di aspirina assunta e, se non indispensabile, è meglio cessare completamente l'assunzione del farmaco in favore di qualche altro medicinale con funzioni analoghe (seppur sia possibile in casi estremi abituare il paziente al farmaco, desensibilizzandone la reazione). In particolare l'aspirina e farmaci ad essa affini sviluppano allergie nel 10% delle persone che soffrono di asma.
In determinate situazioni inoltre, si può verificare avvelenamento: seppur sia difficile avvelenarsi per un'elevata assunzione di aspirina (bisognerebbe ingerirne almeno venti compresse), l'azione dell'ASA può entrare in contrasto con quella di altri medicinali; in particolare è molto pericoloso l'accostamento con anticoagulanti, che può intensificare pericolosamente l'antiaggregazione piastrinica.. La stessa reazione si ottiene con l'assunzione di alcool; curiosamente però, se si ingerisce ASA due ore dopo aver bevuto alcolici, non vi è nessuna alterazione del suo processo, anzi l'aspirina è spesso utilizzata come rimedio al malessere conseguente ad un'elevata assunzione di alcolici.
Il
futuro dell'aspirina.
Nonostante siano già molte le proprietà curative riconosciute dell'aspirina, si stanno aprendo ulteriori possibilità d'impiego per questo stupefacente farmaco che ha già più di cent'anni d'esperienza alle spalle.
Di particolare interesse negli ultimi tempi si sono rivelati i vari studi che hanno portato a poter sperare nell'efficacia dell'acido acetilsalicilico nella prevenzione del cancro.
L'ASA contro il cancro. Alcuni studi, purtroppo però ancora insufficienti, hanno recentemente rilevato grandi possibilità da parte dell'aspirina per la prevenzione di alcuni tipi di cancro.
Primo fra tutti il cancro all'intestino crasso: secondo numerosi studi e sondaggi su una larga scala di pazienti, pur con qualche eccezione, si è generalmente riscontrato che il rischio di contrarre questo tipo di cancro si riduce quasi del 50% nei pazienti sottoposti a regolare assunzione di aspirina per periodi molto lunghi (superiori a cinque anni). L'esito di queste ricerche si poteva dire già preannunciato dall'efficacia del Sulindac, un altro farmaco antisteroideo, contro la prolificazione dei polipi nell'intestino.
Come hanno obbiettato alcuni, una spiegazione plausibile a questo fenomeno, che si ricordi è puramente preventivo (non ci sono infatti indizi che l'ASA possa essere utilizzato anche per combattere un cancro già in stadio avanzato), potrebbe risiedere nella caratteristica dell'aspirina di aumentare la tendenza alle emorragie. In questo modo sarebbe possibile, attraverso tracce di sangue più visibili nelle feci, sottoporsi a controlli in stadi ancora primitivi del tumore, in tempo quindi per combatterlo; questa caratteristica può essere comunque utile seppur vanifichi le speranze di azione preventiva riposte nel principio attivo.
Ma gli studi non si sono fermati al cancro intestinale; risultati ancor più promettenti sono stati ottenuti per il cancro all'esofago, per il quale un sondaggio su 14407 persone ha rilevato il 90% di rischio in meno per chi assume occasionalmente il farmaco, mentre nessuno dei regolari assuntori ha contratto il carcinoma (in tutto però solo 15 persone hanno sviluppato questo tipo di cancro); ed è anche promettente lo studio su un tipo di cancro al seno, effettuato dal National Cancer institute, di cui l'aspirina ridurrebbe il rischio quasi del 20%.
Ovviamente gli scienziati si sono domandati come questo farmaco, il cui uso attuale poco ha a che fare con questi studi, possa davvero svolgere un ruolo importante anche contro il cancro. Risalendo all'azione dell'aspirina, dobbiamo quindi collegare lo sviluppo dei carcinomi alla presenza di prostaglandine. In effetti, nei pazienti malati di tumore il tasso di prostaglandine nel sangue è piuttosto elevato. Innanzitutto bisogna partire dal presupposto che le prostaglandine indeboliscano di fatto, almeno in parte, il sistema immunitario del nostro organismo (inibendo le cellule killer naturali; limitando la funzionalità dei macrofagi); oltretutto il trombossano A, che potenzia l'aggregazione piastrinica, potrebbe verosimilmente esercitare un ruolo nella prolificazione del tumore, in quanto potrebbe aiutare le cellule cancerose ad attaccarsi alle pareti dei vasi sanguigni, creando le deleterie metastasi.
Queste ricerche hanno ancora un lungo lavoro
da compiere, ma offrono sicuramente promettenti speranze, che
Nuove potenzialità dell'ASA. Le proprietà vaso-dilatatorie dell'aspirina, in quanto inibitrice di trombossani e prostacicline, stanno tutt'ora aprendo nuove strade per la cura di alcune malattie ad oggi inguaribili. Ne sono un esempio la pre-eclampsia, la demenza senile, la sindrome di Kawasaki, nonché l'utilizzo nei casi di trapianti.
La prima è una malattia che colpisce le donne durante la gravidanza e che può avere gravi rischi sia per il bambino sia per la madre, provocando parti prematuri, morte del feto e complicazioni di vario genere. Poiché fra i sintomi vi è anche alta pressione arteriosa e si ritiene che la causa sia un'alterazione del metabolismo placentare dell'acido arachidonico, si è pensato all'aspirina per tentare di intervenire su questo processo. I risultati non sono stati esaltanti, ma l'assunzione di una bassa dose di aspirina (60-100mg quotidiani, per evitare eventuali effetti collaterali) si è rivelata in certi casi determinante per ritardare l'insorgere della malattia, anche se di poco, e il conseguente parto prematuro, o le complicazioni che possono mettere in serio pericolo la vita della madre e del bambino.
Anche per la demenza che si sviluppa in età senile, degenerando fino a privare i pazienti dell'autosufficienza, nonché della memoria degli stessi parenti, l'aspirina può intervenire riducendo la vasocostrizione che limita l'afflusso di sangue al cervello, determinando la morte delle cellule cerebrali. Nello studio di questi casi, oltre alla già nota prevenzione di ictus, i 325 mg di acido acetilsalicilico giornaliero hanno ridotto enormemente la degenerazione di questa patologia, migliorando le capacità cognitive del paziente o se non altro evitandone il peggioramento.
Infine l'ASA sta trovando applicazione anche nella terapia contro la sindrome di Kawasaki, patologia che affligge i bambini al di sotto dei 4 anni e che può determinare in pochi, gravissimi casi, morte per arresto cardiaco. Dunque l'aspirina viene anche qui sfruttata per l'inibizione dell'aggregazione piastrinica.
Inoltre questo stesso meccanismo anti-coagulante previene la formazione dei trombi a seguito di trapianto, permettendo la piena stabilizzazione del tessuto impiantato.
Continue ricerche, insomma, hanno coinvolto, coinvolgono e ancora per molto coinvolgeranno questo medicinale dalle poliedriche possibilità, che ha davanti a sé ancora una lunga via da percorrere in "amicizia" con l'uomo.
Conclusioni
Il mio lavoro è giunto a termine. Non pretendo certo che il mio quadro possa essere definito completo, perché ci sarebbero molte altre cose da sapere sull'aspirina e che probabilmente mi ritroverò io stessa a studiare in futuro, anche se posso forse avere la presunzione di credere di aver fatto un resoconto più che sufficiente delle conoscenze che un consumatore di ASA dovrebbe avere. Sicuramente però, questo "farmaco delle meraviglie", come lo definiscono alcuni, non ha ancora raggiunto il limite delle sue possibilità. Mentre raccoglievo materiale per questo lavoro, ho scoperto numerosissimi studi e scoperte recenti sull'acido acetilsalicilico; ne è un esempio eclatante l'"aspirina amica dello stomaco", a cui stanno lavorando proprio di questi tempi degli Italiani di Torino e di Parma, guidati dal professor Alberto Gasco, ma anche l'analisi del rapporto fra caffeina e acido acetilsalicilico, i cui effetti sono ancora contraddittori. È molto probabile insomma che il futuro ci riservi un'Aspirina completamente priva di effetti collaterali (già oggi ridottissimi) e dalle qualità poliedriche in campo medico. Un simbolo insomma del progresso scientifico che, in termini decisamente positivisti, porta benefici all'umanità.
Bibliografia
DIARMUID
JEFFREYS, Aspirin. The story of a wonder drug, Bloomsbury Publishing,
LABORATORIO DI CHIMICA ORGANICA, Itis J. F. Kennedy, Preparazione di acido acetilsalicilico mediante esterificazione, Pordenone, 17 novembre 2007.
Prof. Dr. KARLHEINZ SCHMIDT - MARION ZERBST, Aspirin®: mehr als nu rein Kopfschmerzmittel, Stuttgart,1997. Traduzione di Lucia Cristina Bartolucci.
EMEA, European Medicines Agency concludes action on COX-2 inhibitors, London, 27 giugno 2005.
DAVID S. GOODSELL, Cicloossigenasi. Molecola del mese, www.pianetachimica.it/mol_mese/
mol_mese_2001/05_Cicloossigenasi/Cicloossigenasi_1_ita.html. Traduzione di Mauro Tonellato.
Da Wikipedia: Acido Acetilsalicilico; Acido Arachidonico; Fans; Prostaglandine.
![]() |
| Appunti su: aspirina appunti, aspirina protetta, metabolismo aspirina e acido salicilico, |
|
| Appunti Nutrizione | ![]() |
| Tesine Bambini | ![]() |
| Lezioni Bellezza | ![]() |