![]() |
|
| Appunti universita |
|
| Visite: 2692 | Gradito: |
Leggi anche appunti:Musica - il novecentoMUSICA - IL NOVECENTO LA SOCIETÀ E LA CULTURA Il Novecento si apre con La dodecafoniaINTRODUZIONE Per il mio percorso personale ho voluto dedicarmi a quella che è Quando non sai cos'È allora È jazz!QUANDO NON SAI COS'È ALLORA È |
![]() |
![]() |
Lavoro di approfondimento sulla
" SINFONIA DEL COSMO "
Lavoro di approfondimento sulla
" SINFONIA DEL COSMO "
"La musica è del tutto indipendente dal mondo e lo ignora;
potrebbe essere ancora quando il mondo non fosse
(A. Schopenhauer, "Il mondo come volontà e rappresentazione")
Il suono è un onda meccanica prodotta dalle vibrazioni di corpi elastici che si trasmettono all'elemento circostante (costituito generalmente dall'aria) propagandosi mediante condensazioni molecolari generate dalla pressione acustica e alternate da rarefazioni, con andamento periodico ondulatorio, coerente con la frequenza delle vibrazioni della sorgente sonora. Il termine vibrazione indica genericamente qualsiasi movimento alternativo di un corpo attorno alla sua posizione di equilibrio.
Le caratteri fisiche essenziali del suono sono l'altezza, che dipende dalla frequenza delle vibrazioni, l' intensità, che è l'energia trasportata dall'onda nell'unità di tempo per l'unità di superficie e il timbro , che è legato alla forma dell'onda. Il concetto di forma dell'onda sonora è piuttosto complesso in quanto essa può essere sinusoidale, nel caso di un suono puro, o può essere determinata dalla risultante di più vibrazioni, nel caso di un suono complesso.


La frequenza delle vibrazioni che compongono un suono complesso determinato (cioè di altezza riconoscibile) è infatti soggetta ad un vincolo armonico. Data l'armonica fondamentale, cioè quella con la più bassa frequenza di vibrazioni, la frequenza delle altre componenti è sempre composta da multipli della fondamentale stessa, secondo una progressione aritmetica: 1 (fondamentale), 2, 3, 4, .n. Le frequenze che risultano dalla fondamentale sono dette armoniche e si può osservare che ponendo, ad esempio, un DO come fondamentale, si avranno i seguenti armonici:

1 2 3 4 5 6 7 8 9 10 11 12
I° I° V° I° III° V° (VI°) I° II° III° (IV°) V°
Ogni oggetto, di qualunque materiale, dimensione e forma, se percosso o strofinato produce un suono. Ciò accade perché il diverso materiale (atomi, molecole..) che costituisce gli oggetti, se sollecitato dall'esterno, comincia a vibrare.
Pitagora per primo, studiando i rapporti matematici del suono, scoprì che un'ottava rappresenta un rapporto di frequenze di due a uno ed enunciò quindi la legge che mette in relazione le armonie musicali con i rapporti numerici. Egli infatti considerava le note come "numeri applicati" posti in relazione ai "numeri puri" dell'aritmetica. Il primo che però intraprese uno studio serio sul suono fu Galileo Galilei che nella sua opera " Discorsi e dimostrazioni matematiche intorno a due scienze attinenti alla meccanica", enunciò la relazione che intercorre tra altezza e frequenza, fornendo anche una spiegazione teorica di come la frequenza naturale di vibrazione dipenda dalla lunghezza, dal peso e dalla tensione (nel caso di una corda). Ne "Il Saggiatore", Galileo scrive infatti: "Io domando al Sarsi, onde avvenga che le canne dell'organo non suonan tutte all'unisono, ma altre rendono il tuono più grave ed altre meno? Dirà egli forse, ciò derivare perch'elle sieno di materie diverse? certo no, essendo tutte di piombo: ma suonano diverse note perché sono di diverse grandezze, e quanto alla materia, ella non ha parte alcuna nella forma del suono: perché si faran canne, altre di legno, altre di stagno, altre di piombo, altre d'argento ed altre di carta, e soneran tutte l'unisono; il che avverrà quando le loro lunghezze e larghezze sieno eguali [1] ".
E' proprio grazie a Galileo che l'acustica entrò nel dominio della scienza, staccandosi dalla concezione greca che l'arginava in un ambito strettamente artistico: le "sensate esperienze", insieme alle "necessarie dimostrazioni", iniziarono così a costituire i cardini del mondo scientifico, ponendo la sperimentazione come fondamento della scienza moderna.
Considerando ora l'aspetto fisico del suono, come fenomeno fisico-acustico, risulta indispensabile citare una teoria, ancora in via di sperimentazione, a cui alcuni dei più grandi fisici mondiali stanno lavorando e che potrebbe rivoluzionare la fisica universale, un' ipotesi che, se verificata, avvalorerebbe la tesi secondo cui "la musica" può essere posta alla base dell'universo.
Questa è la cosiddetta "Teoria delle Stringhe" ,ossia una teoria che ipotizza che materia ed energia siano manifestazioni di entità fisiche sottostanti chiamate stringhe, una teoria che cerca di spiegare i meccanismi dell'universo riunendo tutte le leggi in un'unica teoria omnicomprensiva, un modo atto quindi a descrivere tutte le forze e tutta la materia, dall'origine fino alla fine dei tempi, dall'atomo sino alle galassie, dall'infinitamente grande all'infinitamente piccolo.
I teorici delle stringhe sono convinti che esista un'unica equazione in quanto, prendendo in considerazione gli ultimi secoli della storia, si è riscontrato che le varie teorie dell'universo puntano tutte in un'unica direzione, tutte tendono a convergere verso un'equazione unificatrice. Uno degli obiettivi della fisica consiste infatti nel ridurre i fenomeni complessi al minor numero di principi, che risultino semplici e chiari per la comprensione del cosmo.
Newton, più di 300 anni fa, osservando una mela caduta a terra a causa della forza di gravità, riuscì a unificare "cieli e terra" in un'unica teoria, unendo le leggi che governano il mondo degli astri a quelle che governano il mondo terrestre.
![]()
Egli però, nonostante avesse formulato leggi molto precise, non riuscì a capire come funzionava, a livello pratico, la gravità. Successivamente Albert Einstein fece luce sulla faccenda grazie ad una formidabile scoperta, ovvero che la velocità della luce si può considerare come una sorta di limite di velocità del cosmo, una velocità che non può essere superata. Ciò contrastava con le teorie di Newton sulla gravità.
La ragione è semplice. Se si ipotizza una catastrofe cosmica causata dalla vaporizzazione improvvisa del sole, secondo Newton i pianeti sarebbero usciti immediatamente dalle loro orbite in quanto il sole rappresenta il centro gravitazionale del sistema solare. La distruzione del sole avrebbe quindi avuto un effetto immediato in quando, sempre secondo Newton, la forza di gravità agisce istantaneamente. Einstein però, studiando la luce, scoprì che essa non viaggia istantaneamente e, di conseguenza, nemmeno la gravità. Affermando che i pianeti non possono uscire dalle proprie orbite prima che il buio risultante dalla scomparsa del sole raggiunga gli occhi degli uomini, egli contraddisse per certi aspetti le teorie newtoniane. Queste però, essendo matematicamente perfette, non potevano essere sbagliate. Einstein, dopo più di vent'anni di ricerche, elaborò un'idea dell'universo secondo cui la gravità non superava il limite di velocità cosmico e trovò la risposta in una nuova idea di unificazione: concepì infatti le tre dimensioni dello spazio e quella del tempo come entità legate da un unico tessuto spazio-temporale.

Come un tappeto elastico, il tessuto si inarca e si distende con il peso dei pianeti e degli astri. L'inarcamento, o curvatura del tessuto spazio-temporale, crea ciò che l'uomo percepisce come gravità. La terra si mantiene in orbita non perché trattenuta dal sole come affermava Newton, ma perché segue le curvature del tessuto spaziale prodotte dal sole.
Riprendendo l'esempio della catastrofe cosmica, secondo Einstein la vaporizzazione del sole avrebbe provocato un disturbo gravitazionale che, come un'onda, avrebbe viaggiato lungo il tessuto, come un sasso gettato in acqua crea increspature concentriche superficiali. Solo nel momento in cui quest'onda avesse raggiunto i pianeti, essi sarebbero usciti dalle loro orbite. Einstein calcolò inoltre che le increspature viaggiano esattamente alla velocità dalle luce e ciò risolse il conflitto con le teorie newtoniane.
Successivamente la fisica puntò a unificare la forza elettrica con quella magnetica in quanto risultava evidente in natura che tra le due vi fossero delle relazioni e da qui nacque una nuova branca della fisica: l'elettromagnetismo.
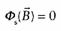
J. C. Maxwell riassunse così le leggi che riguardavano elettricità e magnetismo sviluppando quattro importanti equazioni matematiche:
Il flusso del vettore campo elettrico che attraversa una superficie
ideale chiusa S, eventualmente contenente cariche elettriche, è dato dalla
relazione seguente:
Dove indica la somma algebrica delle cariche
contenute nella superficie S.
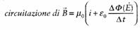
Il flusso del vettore induzione
magnetica B che attraversa una qualunque superficie chiusa S è sempre nullo,
ovvero:
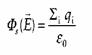
Una variazione del flusso del vettore induzione magnetica B concatena a sé un campo elettromotore Em , definito dalla relazione seguente:
![]()
![]()
Il flusso di B di cui si calcola la variazione è quello che attraversa il contorno lungo il quale si calcola la circuitazione di Em
![]()
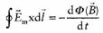
Una corrente elettrico e/o una corrente di spostamento (ovvero una
variazione del flusso campo elettrico)generano intorno a sé un campo di
induzione magnetica per il quale vale la relazione seguente:
Anche in questo caso il flusso di E di cui si considera la variazione è quello che attraversa il contorno lungo il quale si calcola la circuitazione di B.
Dato quindi che Newton aveva unificato cielo e terra con la teoria della gravità e Maxwell aveva unito e, in un certo senso, riassunto elettricità e magnetismo, Einstein cercò di formulare un'unica "teoria del tutto", per conciliare gravità ed elettromagnetismo, considerato il fatto che esse viaggiano alla stessa velocità e che quindi presentano delle analogie.
Egli però trovò delle difficoltà a causa della grande differenza di potenziale tra le due forze: infatti se, ipoteticamente, un uomo saltasse da un edificio non finirebbe al centro della terra, ma si fermerebbe a contatto con l'asfalto a causa delle forze elettromagnetiche. Tutto quello che vediamo è formato da atomi che sono circondati da elettroni, ovvero cariche negative e, nel momento in cui gli atomi di un corpo umano entrano in collisione con quelli del cemento, le cariche elettriche negative si respingono con una forza tale da far sì che l'asfalto resista alla forza di gravità terrestre. Di conseguenza si può affermare che la forza elettromagnetica è molto più forte di quella gravitazionale che diventa "importante" solo nel momento in cui si considerano grandissime quantità di materia. Il problema di Einstein era quindi assimilare due forze caratterizzate da intensità molto diverse. Alla fine degli anni venti del Novecento, però, le cose cambiarono in quanto venne a galla una nuova teoria detta "meccanica quantistica", che sconvolse l'idea secondo cui l'universo è ordinato e prevedibile. Nonostante Einstein non condividesse tale teoria affermando che "Dio non tira i dadi", la quantistica si dimostrò estremamente accurata per quando riguarda il funzionamento del mondo a livello di particelle subatomiche. Indagando sulla struttura dell'atomo, si scoprirono altre due forze: la forza nucleare di interazione forte, che agisce come un forte collante che tiene insieme il nucleo dell'atomo legando i protoni ai neutroni, e la forza nucleare di interazione debole che consente ai neutroni di trasformarsi in protoni con la conseguente emissione di radiazioni. Si può riconoscere la presenza di queste due forze, ad esempio, osservando l'esplosione di un ordigno nucleare: attraverso quest' evento, da una parte si libera la forza nucleare forte che tiene uniti protoni e neutroni in modo tale che l'atomo si scinde liberando una quantità enorme di energia distruttiva e dall'altra, la forza nucleare debole diventa responsabile della radioattività. Diversamente dalle forze elettromagnetiche e di gravità, quelle nucleari agiscono su scala minuscola, sull'infinitamente piccolo, riscuotendo comunque un impatto estremamente profondo sulla vita quotidiana dell'uomo. Si ripresentò così il problema di una divisione dualista all'interno della fisica, dove le due maggiori branche di questa scienza sembravano inconciliabili: da una parte vi era la relatività, usata per studiare oggetti di grandi dimensioni (astri e galassie) e, dall'altra, vi era la meccanica quantistica, utilizzata per studiare gli elementi più piccoli (atomi e particelle). Il problema riemerse quando Schwarzschild, astronomo tedesco, iniziò degli studi sui "buchi neri" e, più precisamente, su come una massa enorme di materia concentrata su una piccola superficie deforma profondamente la struttura spazio temporale dell'universo, una deformazione tale che non lascia scampo neanche alla luce. Per capire il mistero dei buchi neri, dove un'intera stella viene ridotta ad un granellino, era necessario quindi utilizzare entrambe le teorie: la relatività per via della massa della stella e le leggi della meccanica quantistica per via delle minuscole dimensioni. Nonostante il fatto che atomi e astri facciano parte dello stesso universo e che quest'ultimo necessiti di leggi logiche, unendo le due teorie si arrivava ad una contraddizione in quanto esse sono paradossalmente in conflitto tra loro.
Con la teoria delle stringhe, alcuni studiosi ritengono, oggi, di aver trovato il modo di conciliare la teoria dell'infinitamente grande con l'infinitamente piccolo, in modo da poter fornire una spiegazione logica dell'universo su tutte le scale. Quest'ipotesi si basa sulla convinzione che ogni cosa nell'universo, dalle forze alla materia, è composta da un unico ingrediente, ovvero minuscoli anelli di energia vibrante detti stringhe. Questi si deformano in modi diversi, in modo tale che le forme che assumono diano origine alle diverse particelle elementari, come la corda di uno strumento, dove ogni nota musicale rappresenta una particella diversa. Questa teoria, se verificata,potrebbe unificare la comprensione di tutti i diversi tipi di particelle, che deriverebbero dalla stessa stringa di base, eliminando di conseguenza quel dualismo tra relatività e quantistica. La difficoltà risiede però nel fatto che è molto difficile dimostrare l'esistenza di tali anelli vibranti a causa delle loro infinitesimali dimensioni e quindi, per ora, questa teoria, non fornendo un' ipotesi comprovabile, appartiene più ad un campo filosofico che alla scienza. A questo proposito stanno lavorando alla dimostrazione della suddetta teoria, matematicamente in grado di racchiudere le quattro forze fondamentali del cosmo, un cospicuo numero di ricercatori del Fermilab di Chicago e, più recente mente, del CERN di Ginevra, gli unici due laboratori mondiali dotati di un acceleratore di particelle.


"Acceleratore di particelle, CERN di Ginevra"
Durante le sperimentazioni, gli scienziati forniscono agli atomi di idrogeno una grande quantità di energia e, successivamente, strappano gli elettroni accelerando i protoni in tunnel circolari sotterranei. Quando stanno per raggiungere la velocità della luce, i protoni vengono indirizzati in rotta di collisione con particelle che sfrecciano nella direzione opposta. In molti casi le particelle si sfiorano ma, occasionalmente, si verifica un impatto netto, il cui risultato è uno sciame di particelle subatomiche inusuali. La speranza è quella di trovare tra loro una minuscola unità di gravità detta "gravitone", ossia un anello chiuso di energia, libero di fluttuare verso le "dimensioni extra"[2] postulate dalla stessa teoria delle stringhe.
Ciò che però i fisici del CERN stanno cercando di dimostrare sperimentalmente grazie all' acceleratore di particelle, ovvero che alla base dell'universo vi siano microscopiche stringhe vibranti, non è una novità in campo filosofico. Infatti, fin dall'antichità, la musica , considerata nella sua accezione di somma di vibrazioni periodiche, è sempre stata ritenuta un pilastro fondamentale, a partire dalla funzione comunicativa del linguaggio primordiale, dalla sacralità assunta presso alcuni popoli primitivi asiatici e come fattore di coesione sociale, fino al pensiero filosofico ottocentesco.
Essa infatti può essere considerata l'arte romantica per eccellenza, in quanto recide ogni legame di sudditanza, diretto o indiretto, con le altre arti, aprendo le porte di un regno sconosciuto contrassegnato dall'ineffabilità del suo linguaggio. Infatti, mentre nel linguaggio consueto esiste un rapporto distinto tra significante e significato, nella musica il suono è al contempo mezzo e fine, ed essa nasconde quindi " un significato ben più profondo, che pertiene all'essenza del mondo e del nostro io".
La musica diventa essa stessa una forma di pensiero, di filosofia, non solo perché in essa l'attività razionale per eccellenza, il linguaggio, viene piegata a usi e modalità espressive inconfrontabili ma anche perché in essa e a partire da essa è possibile costruire una prospettiva contrassegnata dalla speranza.
Ciò emerge, in particolare, dalla "Teoria delle arti" di Arthur Schopenhauer e dalla "Nascita della tragedia" di Nietzsche.
Schopenhauer arriva a considerare la rappresentazione artistica come una raffigurazione del mondo che si sottrae alla schiavitù della Volontà poiché il "genio artistico", figura ripresa dal romanticismo settecentesco, non ritrae la rappresentazione della realtà, ma la sua forma archetipa: in altre parole, l'arte non è che un mezzo per comunicare un'idea, isolandola dalla realtà. Ciò lo porta a formulare una vera e propria "Teoria delle arti", dove queste vengono organizzate in modo "gerarchico". Infatti, a differenza di tutte le altre arti che sono tenute ad imitare e riprodurre in modi diversi le idee, la musica è indipendente non solo dal mondo sensibile, ma dalle stesse idee, al punto che si può affermare che la musica esisterebbe anche se non vi fosse il mondo. Infatti Schopenhauer scrive che la arti "oggettivano dunque la volontà in modo mediato, ossia per mezzo delle idee, mentre [.] la musica, la quale va oltre la idee,anche dal mondo fenomenico è del tutto indipendente, e lo ignora, e potrebbe in certo modo sussistere quand'anche il mondo non fosse: il che non può dirsi delle altra arti. [.]La musica non è quindi, come l'altre arti, l'immagine delle idee,bensì l'immagine della volontà stessa, della quale sono oggettità anche le idee. [.]In conseguenza di tutto ciò, possiamo considerare il mondo fenomenico (o la natura) e la musica come due diverse espressioni della cosa stessa. La musica quindi è -guardata come espressione del mondo- un linguaggio in altissimo grado universale, che addirittura sta all'universalità dei concetti press'a poco come i concetti stanno alle cose singole. Ma la sua universalità non è punto quell'universalità vuota d'astrazione, bensì ha tutt'altro carattere, ed è congiunta con una perenne, limpida determinatezza. Somiglia in ciò alle figure geometriche ed ai numeri: che, quali forme universali di tutti i possibili oggetti dell'esperienza ed a tutti applicabili, non sono tuttavia astratti, ma intuitivi e sempre determinanti. [.] Dall'intima relazione, che la musica ha con la vera essenza di tutte le cose, si trae pur la spiegazione del fatto che se a qualsivoglia scena, azione, evento, ambiente s'accompagna una musica adatta, questa sembra dischiudercene il senso più segreto, ed esserne il più esatto, il più limpido commentario .
Schopenhauer pone quindi nel gradino più alto la musica, considerandola l'arte per eccellenza in quanto non necessita di un supporto sensibile. Essa, a differenza della poesia e della pittura, non è l'immagine delle idee, bensì l'immagine della volontà stessa: la musica, in altre parole, dà all'uomo l'essenza del principio cosmico, riproduce e oggettiva la volontà universale direttamente e non tramite le idee, ponendosi su un piano parallelo a loro.
Richard Wagner (1813-1883), compositore Tedesco, se da un lato fu profondamente influenzato da questa linea di pensiero, che venne riflessa in tutta la sua opera, atta a rompere gli schemi tradizionali, dall'altro non si riconobbe però nelle teorie di Schopenhauer .Infatti fu proprio una diversa concezione della "melodia" che stabilì una dicotomia tra i due: mentre il filosofo sosteneva una visione ciclica della melodia, caratterizzata da una continua unione e disunione dell'elemento ritmico con quello armonico, Wagner la concepiva come un "gioco capriccioso" senza inizio né fine, un gioco guidato dalla sola fantasia e quindi scevro da ogni elemento teorico-estetico. Inoltre, muovendo una critica verso la musica strumentale, in quanto considerata limitata alla sua assolutezza, Wagner postulò il concetto di opera d'arte totale attraverso la poetica del "Wort- Ton- Drama", ossia un nuovo ideale drammatico non condiviso da Schopenhauer, una nuova formula teatrale che riassumeva gli ideali della corrispondenza fra le arti. D'altra parte, come Beethoven aveva infranto le barriere della musica cosiddetta "assoluta" ricongiungendo la musica alla parola nell' Inno alla gioia della Nona Sinfonia, Wagner considerava la musica come mezzo d'espressione per conseguire un fine, ovvero il dramma. La melodia divenne così non solo un parametro tecnico regolato da leggi armoniche, ma un'idea poetica atta a commentare l'azione, a dichiararne motivi reconditi che non possono essere espressi mediante parole e gesti. Infatti, nei momenti di più alta tensione drammatica delle opere wagneriane, i personaggi restano muti e immobili, lasciando "parlare e agire" l'orchestra, lasciando che la cosiddetta "melodia infinita" motivi l'azione.
Quest'idea fu la chiave di volta non solo del pensiero musicale del tempo, ma influenzò anche gran parte delle opere dei pensatori romantici e, in particolare, "La nascita della tragedia" di Nietzsche. Motivo principale dello scritto è la distinzione tra "apollineo" e "dionisiaco". Mentre lo spirito apollineo rappresenta la serenità e l'armonia delle cose, indicando l'impulso umano che fugge di fronte al caos e inneggia all'ordine armonico, il dionisiaco è l'elemento dell'affermazione della vita e raffigura l'ebbrezza, la spontaneità dell'istinto umano, trovando la sua manifestazione più compiuta nella musica.
"Avremo fatto un grande acquisto alla scienza estetica, quando saremo giunti non solo al concetto logico, ma anche all'immediata certezza del'intuizione, che lo sviluppo dell'arte è legato alla dicotomia dell'apollineo e del dionisiaco [.]. Su Apollo e Dionisio è fondata la nostra teoria, secondo la quale nel mondo greco esiste un enorme contrasto per l'origine e per il fine, tra l'arte figurativa, quella di Apollo, e non figurativa della musica, che è propriamente quella di Dionisio. I due istinti, tanto diversi tra loro, vanno l'uno accanto all'altro [.] [5]."
Dalla combinazione e compenetrazione di questi due spiriti, secondo Nietzsche, ha quindi origine la tragedia greca, anche se è presente una preminenza di Dionisio su Apollo. Così facendo, Nietzsche rovescia la tradizionale visione classica dell'arte e della cultura, facendo prevalere l'elemento irrazionale sulle forme armoniche ed entrando, in un certo senso, in contraddizione con Wagner, accusato di aver intellettualizzato l'arte, di aver misconosciuto il ruolo dell'opera e la sua autonomia, di averla trasformata nel "portavoce della metafisica". Un Wagner che "Apparentemente vittorioso, in realtà un disperato 'décadent' putrefatto, piomba improvvisamente, come un derelitto e affranto, ai piedi della croce" (Nietzsche). Facendo prevalere il dionisiaco, Nietzsche afferma che la musica tollera con grande difficoltà elementi apollinei quali la parola e l'impianto scenico dell'opera: affiora quindi un'estetica musicale incompatibile con la poetica wagneriana dell' "Opera d'arte totale", un'idea dove la musica non è più un semplice mezzo ma prevale sul testo. Wagner è il decadente per eccellenza, quello che Nietzsche, ne "La volontà di potenza", definirà "un grande punto interrogativo del nostro secolo ", colui che non considera la musica come un punto d'arrivo ma solo come un mezzo per arrivare oltre, a qualcosa di superiore. Secondo il filosofo non vi è però un "oltre la musica", non vi è una verità recondita cui l'uomo può accedere tramite le sinfonie musicali perché tutta la verità è insita nella musica stessa, massima espressione di tipo dionisiaco. La melodia, che secondo Nietzsche rappresenta l'origine e l'identificazione con le forze primordiali e istintive, è stata così privata del suo carattere affermativo che trasfigura il mondo per diventare un vero e proprio simbolo di decadenza e non più il flauto di Dionisio: in essa non è più insita una volontà di vivere che si estrinseca in ogni istante, bensì predominano i tempi cupi di chi rifiuta la vita. Si realizzò dunque in Wagner quella evoluzione delle arti che portò poi alla pittura impressionista e alla poesia di Charles Baudelaire. Da un lato il disegno si perse così nel colore e si arricchì di luci inattese, di sorprendenti contrasti, mentre dall'altro la parola si caricò di significati inediti e si mosse liberamente in un' autonoma e arida sintassi. Infatti l'emancipazione delle forme e dei colori corrisponde, in un certo senso, all'emancipazione della dissonanza wagneriana che presenta numerose analogie con la dissoluzione della grammatica e della sintassi nella letteratura ottocentesca. Kandinskij, artista russo, in accordo con queste teorie, scriveva infatti che "L'analisi della parola dovrebbe avere luogo attraverso lo studio delle parole in quanto suoni, trascurandone il significato:[.]l'importanza del suono o qualità musicale di una composizione poetica può essere tale da oscurare il suo intero significato" . La pittura di Kandinskij, molto vicina alle riflessioni di Schopenhauer ne " Il mondo come volontà e rappresentazione" , nasce da un profondo bisogno dell'artista di rinnovare l'arte che può infatti essere considerata una sorta di composizione musicale, una sinfonia di colori in quanto arte astratta per eccellenza. Tutti i parametri di scrittura e stesura del codice cromatico vengono trasfigurati in altrettanti codici di lettura sonora e proprio in Kandinskij sa ha un mero tentativo di seguire le orme di Wagner ne riunirei vari generi dello spettacolo in un'opera d'arte totale, liberando ogni forma dal peso della tradizione e cercando di recuperare la pura voce delle origini. Paradossalmente il pittore "sente" la musica nei suoi quadri come il musicista "vede" i colori nelle sue composizioni.
Infatti , nelle composizioni sceniche - come nell'allestimento dei "Quadri di un'esposizione"[8]- egli tentò la realizzazione di un progetto nel quale le molteplici forme artistiche si facessero portatrici di un valore interiore unico mettendo in pratica una sintesi scenica tra le varie arti: in questa prospettiva movimento sonoro, movimento plastico e movimento cromatico vengono trattati secondo un progetto unico, interagendo tra loro, subordinati ad un fine interiore, attraverso la fusione di forme, colori, luce, suoni e movimento. Quest'opera presenta un carattere fortemente sperimentale per l'epoca e, in particolare, l'innovativo percussionismo pianistico unito all'abbondante uso di accordi dissonanti avrebbero reciso ogni legame con la tradizione romantica spalancando le porte al Novecento e anticipando così la dodecafonia di Arnold Schönberg.
La "suite" è composta da quindici brani, dieci ispirati a quadri e cinque "promenades" che non rappresentano solo il movimento dell'osservatore da una tela all'altra ma, attraverso varie variazioni sulla stesso tema, vogliono dipingere i diversi stati d'animo che pervadono l'anima di chi ha appena visto un quadro.
V. Kandinskij, Figurine
Hartmann , La grande porta di Kiev

Musorgskij, Quadri di un'esposizione, ultimo movimento La grande porta di Kiev
Il progetto di Hartmann[10] per una porta commemorativa nella città di Kiev in stile russo, con cupola a forma di elmo slavo, offre uno spunto a Mussorgskij per esaltare con toni trionfali tutta l'antica gloria della Russia attraverso un brano a carattere processionale, un' apoteosi sottolineata nel 1929 dalla coloratissima orchestrazione di Ravel.
Volendo esemplificare la sua concezione sinestetica delle arti, Kandinskij nel 1930 ideò "Le figurine", figure astratte e giochi di luce che seguivano l'andamento dei movimenti musicali, che diventarono parte integrante della scenografia de 'La grande porta di Kiev".
Kandinskij voleva eliminare le distanze tra pittura e musica, creando ponti di collegamento tra le due arti apparentemente diverse. Chiaramente da un lato l' arte pittorica rappresentava una sorta di interruzione del divenire incessante della natura, "una fotografia" che immortalava un singolo istante del divenire; dall'altro la musica, invece, sfuggiva a questa condizione in quanto era, ed è, lo stesso divenire, essa è " l'arte che non si è dedicata alla riproduzione dei fenomeni naturali, ma alla espressione dell'animo dell'artista e alla creazione di una vita autonoma attraverso i suoni musicali" .
La pittura assorbe e immortala un singolo istante dello scorrere infinito e lineare del tempo che costituisce la condizione dell'essere della musica: essa però non si sviluppa solamente lungo una dimensione temporale, orizzontale, ma, attraverso il contrappunto[12] e quindi la polifonia , presenta anche una dimensione spaziale, dove l'intersezione delle varie voci melodiche crea una struttura verticale che avvicina i due ambiti artistici e che quindi differiscono solo in apparenza.
Dalla rottura delle convenzioni secolari, nasce tutto ciò che oggi è genericamente classificato come "avanguardia", un fenomeno strettamente legato ad un' inarrestabile trasformazione sociale che ha accelerato i suo tempi di diffusione a partire dalla rivoluzione francese.
L'arte infatti non essendo un'isola a sé stante ma, come sosteneva Kandinskij, riflettendo con un linguaggio proprio la natura del mondo in cui si sviluppa, plagia il pensiero dell'uomo e, in particolare, l'arte del suono esercitò una grossa influenza nella cultura di fine Ottocento e dei primi del Novecento, tanto che la crisi della concezione illuministica musicale si avvertì ovunque.
Nell'ambito letterario del secondo Ottocento francese,in particolare in autori come Baudelaire, la ricorrente sottolineatura della labilità dei confini percettivi di fronte agli stimoli provenienti dalle manifestazioni dell'arte, sembra costituirsi, oltre che nella stessa sinestesia, come un procedimento stilistico, come un preciso quadro di riferimento filosofico. Le immagini e le analogie utilizzate fanno riscontro, sul piano letterario, ad una sensazione di totale travolgimento del soggetto percipiente da parte del flusso indifferenziato dei contenuti della percezione , al punto che la soggettività stessa smarrisce nell'annebbiamento e nella confusione (intesa nell'accezione di fusione dei sensi l'uno con l'altro) i suoi contorni, ritrovandosi tutt'uno con il flusso medesimo. Ora, tale "flusso", è senz'altro inseribile nella figura concettuale che assimila la "volontà" - impulso cieco e irrazionale - di Schopenhauer e il "dionisiaco" nietzscheano: denominazioni che denotano in modo diverso il medesimo principio originari, una sorta di "plasma germinale"[14], per usare un' espressione di Freud, da cui le creature sorgono e ove ugualmente vengono riassorbite "secondo necessità" .
Concetti che in modo diverso sono debitori dell'idea di Assoluto elaborata paradigmaticamente nell' ambito religioso e filosofico dell' India e che trovano, tanto in tale contesto quanto nell' opera dei due filosofi occidentali, Nietzsche e Schopenhauer, una felice rappresentazione nella musica o comunque, più generalmente nel fenomeno sonoro.
Nei Veda [16] la creazione del mondo parte da un Verbo originario che vibra e via via si materializza dando origine al mondo di maya, che identifica l'ambito materiale delle illusioni.
In Schopenhauer, la volontà, impulso "energetico" originario, si ipostatizza nelle forme della rappresentazione e trova nella musica un analogo, mentre in Nietzsche il "dionisiaco", "eterno sofferente pieno di contraddizioni", "Uno originario" di cui la musica è fedele "esemplare", è il movimento irrazionale che dà origine alle statiche e sognanti forme apollinee, senza tuttavia esaurirsi in esse.
In tutti i casi si fa riferimento ad una sorta di energia in continuo movimento che si plasma e si riplasma eternamente in diverse e cangianti forme e con la quale la soggettività medesima finisce per identificarsi, come in una sorta di allargamento della coscienza.
L'immaginario poetico del secondo Ottocento francese è portatore precisamente di questa sensibilità e si può riscontrarne un limpido esempio in questo testo di Baudelaire:
Spesso la musica mi porta via come fa il mare.
Sotto una volta di bruma o in un vasto etere
metto le vela verso la mia pallida stella.
Petto in avanti e polmoni gonfi come vela
scalo la cresta dei flutti accavallati
che la notte mi nasconde;
Sento vibrare in me tutte le passioni
d'un vascello che dolora, il vento gagliardo.
la tempesta e i suoi moti convulsi
sull'immenso abisso mi cullano.
Altre volte, piatta bonaccia,
grande specchio della mia disperazione!
La musica viene rappresentata come il mare, ovvero una massa d'acqua che nel movimento propagantesi dai suoi strati più profondi genera i flutti come epifenomeni destinati ad essere riassorbiti dalla massa medesima.
Il soggetto non si contrappone a questa realtà ma vi si identifica dato che ogni movimento della musica diventa un'emozione, uno stato d'animo del poeta stesso, un "grande specchio della mia disperazione [18]". E come nella mitologia la musica è in grado di aprire le porte dell'inferno[19] , così, in Baudelaire, riesce a scavare il cielo, quell'enorme coperchio che "pesa come un coperchio sull'anima che geme" , penetrando all'interno dell'animo umano e facendolo vibrare: "la passione mi vibra in ogni intima fibra" .
Il poeta francese interpreta le apparenze della Natura come una "foresta di simboli" in segreta corrispondenza tra loro e ritrova, di conseguenza, nella concezione della melodia infinita la conferma della propria intuizione: rielaborando il concetto musicale alla luce della sua sensibilità e poetica, Baudelaire trova in essa una sollecitazione per svincolarsi dall' ennui, per liberarsi dal mondo reale.
Esaltando la magia della musica wagneriana, la sua forza di suggestione, la sua capacità di penetrare l'essenza dei fenomeni e di cogliere la misteriosa analogia delle varie essenze che costituiscono il mondo come una profonda e tenebrosa unità, egli scrive: "Mi sentii sciolto dalle catene del corpo, e ricordai la straordinaria voluttà che si prova nel luoghi elevati. In seguito mi immaginai involontariamente lo stato delizioso di un uomo preso da un sogno meraviglioso in una solitudine assoluta, ma una solitudine con un immenso orizzonte e una larga luce diffusa:l'immensità, la sola immensità. Provai torto la sensazione di un chiarore più vivo, di un'intensità di luce, crescente con una tale rapidità che le parole non basterebbero a esprimere questo continuo rinascere e ardore e candore. Allora io concepii pienamente l'idea di un'anima moventesi in un centro luminoso, di un'estasi fatta di voluttà e di consapevolezza, liberata al di sopra e ben lontana dal mondo reale."[22]
La poesia si costituisce così secondo principi di sonorità e Baudelaire ritrova nell' arte dei suoni di Wagner la compresenza di quello che lui pensa essere la più profonda essenza dell'arte, la compresenza quindi di cielo e inferno, di alto e basso, di attrazione angelica e seduzione carnale. La musica, allegoricamente, è un viaggio nel mare del flutto, è la figura dell'unità del pensare e del sentire, un viaggio nell'azzardo dell'impossibile, che si veste però di forme visibili come il mare, la vela, la stella. Il suono del mare è la prima musica, la musica delle origini, della solitudine, la musica delle onde che cullano la barca di colui che si affida al mare, specchio dell'angoscia.
L'analogia tra contesti culturali così lontani nello spazio e nel tempo fa pensare ad un medesimo archetipo che si ripresenta più volte nella storia della cultura e viene declinato ora in metafora teologica, ora filosofica o letteraria, ora in metafora scientifica. A proposito di quest'ultimo caso, non possiamo non riflettere sul fatto che la stessa "teoria delle stringhe" testè esposta, non sia una riedizione in chiave scientifica di tale plesso di significati.
Particelle di energia che, non a caso, si chiamano "stringhe", ovvero "corde" (in inglese string significa appunto "corda"), vibrano, né più né meno di quanto fa la corda di un violino, dando origine alle diverse particelle costitutive del cosmo a seconda la "nota" prodotta, ovvero in base alla frequenza della vibrazione medesima e facendo apparire l'universo come una grande sinfonia cosmica.
Dimensioni aggiuntive e invisibili oltre a larghezza, altezza, lunghezza e tempo che costituiscono il nostro mondo.
Quadri di un' esposizione " è un'opera pianistica di Musorgskij orchestrata nel 1922 da Maurice Ravel.
Sistema di produzione musicale dove i dodici suoni della scala cromatica rappresentano la propria indipendenza svincolandosi dall'impianto tonale.
![]() |
| Appunti su: appuntimania, forme della musica che cos27C3A8 la sinfonia, IL FORNITORE MI SCRIVE COSC3AC:La rottura sembra meccanica2C non di natura elettrica, |
|
| Appunti Poesia | ![]() |
| Tesine Personalita | ![]() |
| Lezioni Arte cultura | ![]() |