![]() |
|
| Appunti universita |
|
| Visite: 14547 | Gradito: |
Leggi anche appunti:La FranciaCOSTITUZIONE La Francia è una repubblica retta dalla costituzione (più volte Domenico Pio NovelliIl fumo da tabacco Il fumo è un prodotto gassoso della combustione di Algeria: fronte islamico di salvezzaALGERIA: FRONTE ISLAMICO DI SALVEZZA Nel 1962 l'Algeria ottenne l'indipendenza |
![]() |
![]() |
Apparenza e realtà
INTRODUZIONE
Ho sviluppato questo elaborato interdisciplinare attorno alla tesi "realtà e apparenza".
Questo tema ha suscitato il mio interesse, perché se pensiamo alla nostra quotidianità, le cose che ci appaiono in un primo istante le osserviamo secondo il bagaglio delle nostre idee e solo in secondo luogo, con un'attenta analisi, possiamo capire l'oggettività della realtà. Tale contrasto è caratteristico del novecento, secolo caratterizzato dall'avvento delle ideologie che apparivano come il bene per il popolo e celavano la loro reale identità sotto false apparenze. In modo esplicito si rivela analizzando la propaganda fascista che ha condotto l'Italia alla guerra.
Nella letteratura del novecento, molteplici sono gli autori che nelle differenti correnti hanno sviluppato questo tema. Per la letteratura italiana ho scelto Luigi Pirandello, poiché il punto fondamentale della sua poetica è proprio il contrasto tra apparenza e realtà esposto nelle sue diverse opere e in particolare, nel suo saggio sull'umorismo. Contemporaneo di Pirandello, nella letteratura inglese, troviamo Oscar Wilde il quale nelle sue opere fa emergere tale contrasto. Anche nell'arte novecentesca troviamo espressioni di tale contrapposizione; gli autori della pittura metafisica lo esprimono utilizzando contorni netti e attraverso una fisionomia stilizzata.
Dal punto di vista scientifico ho trovato interessante il concetto di luminosità apparente e assoluta delle stelle introdotto per spiegare come le stelle ci possono apparire più o meno luminose rispetto ad altre.
Anche Seneca affronta il tema dell'apparenza e della realtà e si può notare facilmente nel De Clementia. Sul piano filosofico l'argomento è trattato da Schopenhauer nella sua opera più importante "Il mondo come volontà e rappresentazione", in cui vuole smascherare le false credenze strappando il velo di Maya.
LUIGI PIRANDELLO (1867 - 1936)
Luigi Pirandello nasce ad Agrigento, il 28 Giugno 1867.
Studia a Palermo, a Roma, ed infine a Bonn consegue la sua laurea nel 1891.
Tornato a Roma, è introdotto dal Capuana negli ambienti letterari e giornalistici della capitale, dove si stabilisce con la moglie.
La malattia mentale della moglie scaturita dalla frana della loro miniera di zolfo, lo pone di fronte al tema che sarà centrale nella sua produzione: il contrasto tra apparenza e realtà.
Nel 1926 fonda la sua compagnia teatrale.
Nel 1929 entra a far parte dell'Accademia d'Italia, una congrega d'intellettuali di stampo fascista.
Nel 1934 riceve il premio nobel.
Muore a Roma nel 1936.

Luigi Pirandello vive ed è condizionato dalla sua epoca. Nella sua produzione teatrale e narrativa troviamo, infatti, il senso di crisi e il dissolversi delle antiche certezze tipiche dell'epoca decadente. Egli però non cerca di sfuggire alla realtà rifugiandosi in un mondo raffinato e riservato, ma la studia, è consapevole della propria crisi, sa di non poterle sfuggire. Ed è per questo che la realtà pirandelliana non solo si sfaccetta in mille pezzi, ma è anzi inconoscibile; per l'autore, infatti, ogni uomo indossa mille maschere, tante da non poter sapere chi sia in realtà, se una di queste oppure ciò che dietro vi si cela
Il saggio 'L'Umorismo' fu scritto tra il 1906 e il 1908. Fu riedito nel 1920 a Firenze. In questo saggio Pirandello distingue la Vita dalla Forma e la comicità dall'umorismo. Nella comicità è assente la riflessione e Pirandello lo definisce <<avvertimento del contrario>>, mentre l'umorismo è il <<sentimento del contrario>> che nasce dalla riflessione. Pirandello afferma che riflettendo sulla differenza tra comicità e umorismo, al riso subentra il sentimento amaro della pietà. Pirandello fa un esempio per distinguere il comico dall'umorismo. Ecco il testo del saggio: <<Vedo una vecchia signora, coi capelli ritinti, tutti unti non si sa da quale orribile manteca, e poi tutta goffamente imbellettata e parata d'abiti giovanili. Mi metto a ridere. Avverto che quella vecchia signora è il contrario di ciò che una vecchia rispettabile signora vorrebbe essere. Posso così, a prima vista, arrestarmi a questa impressione comica. Il comico è appunto un avvertimento del contrario. Ma se ora interviene la riflessione ... ecco che io non posso più riderne come prima, perché appunto la riflessione, lavorando in me, mi ha fatto andar oltre a quel primo avvertimento, o piuttosto, più addentro: da quel primo avvertimento del contrario mi ha fatto passare a questo sentimento del contrario>>. In sintesi: l'avvertimento del contrario è il comico che nasce dalla parodia o dal non senso della realtà e che produce la risata spontanea, quando la realtà è deformata; mentre il sentimento del contrario è la riflessione sulle contraddizioni che la realtà presenta e che suscita il sorriso amaro.
SENECA

De clementia
Il De clementia (La clemenza) è un trattato politico-filosofico in tre libri, dedicato a Nerone e scritto nel primo anno del suo principato; dell'opera sono rimasti il primo libro e sette capitoli del secondo. Traccia il programma politico per il giovane imperatore, fondato sul valore della clemenza e della moderazione come caratteristiche del principe ideale. Seneca legittima la costituzione di uno Stato monarchico che è più corrispondente alla concezione stoica.
Egone ex omnibus mortalibus placui electusque sum, qui in terris deorum vice fungerer? Ego vitae necisque gentibus arbiter; qualem quisque sortem statumque habeat, in mea manu positum est; quid cuique mortalium Fortuna datum velit, meo ore pronuntiat; ex nostro responso laetitiae causas populi urbesque concipiunt; nulla pars usquam nisi volente propitioque me floret; haec tot milia gladiorum, quae pax mea comprimit, ad nutum meum stringentur; quas nationes funditus excidi, quas transportari, quibus libertatem dari, quibus eripi, quos reges mancipia fieri quorumque capiti regium circumdari decus oporteat, quae ruant urbes, quae oriantur, mea iuris dictio est. 3. In hac tanta facultate rerum non ira me ad iniqua supplicia compulit, non iuvenilis impetus, non temeritas hominum et contumacia, quae saepe tranquillissimis quoque pectoribus patientiam extorsit, non ipsa ostentandae per terrores potentiae dira, sed frequens magnis imperiis gloria. Conditum, immo constrictum apud me ferrum est, summa parsimonia etiam vilissimi sanguinis; nemo non, cui alia desunt, hominis nomine apud me gratiosus est. 4. Severitatem abditam, at clementiam in procinctu habeo; sic me custodio, tamquam legibus, quas ex situ ac tenebris in lucem evocavi, rationem redditurus sim. Alterius aetate prima motus sum, alterius ultima; alium dignitati donavi, alium humilitati; quotiens nullam inveneram misericordiae causam, mihi peperci. Hodie dis immortalibus, si a me rationem repetant, adnumerare genus humanum paratus sum.
OSCAR WILDE (1854 - 1900)
Born in 1854 in Dublin.
He opposed to Victorian Puritanism his thoughts paradoxically eccentric and disorder of a life that knows a process for homosexuality, prison and poverty.
He is considered the decadent author par excellence; he looks in beauty, an escape from a reality where he does not recognize.
In the Victorian period while the appearance takes the upper hand on reality, Oscar Wilde writes and publishes his 'Portrait of Dorian Gray.'
Dorian, through a Faustian pact with an absent devil, makes his own life an unchanging and untouchable work of art, while is portrait becomes the mirror of his "real" inner soul. This spilt between "appearance" and "reality" is the central theme of the novel.
For Wilde, beauty is truth and it is a thing which cannot be questioned. The story is a picture which contains a picture : it is a complex novel that creates a schizophrenic split between the world of appearances and the inner world of mental and bodily passions. The novel presents both a "true" and a "false" Dorian Gray without saying which is which.
Basil Hallward, a famous English painter of the nineteenth century, is particularly related to Dorian because with his pure beauty, devoid of contamination by the life, it inspires him the wonderful paintings and one day Basil shows him his portrait. But because of that picture Dorian loses his innocence. In fact he expresses the desire that the portrait makes old for him so to can remain forever young and beautiful. The life dissolute of Dorian will make his portrait more and more deformed, until himself, he can't tolerate the horrible vision, he try to destroy it, taking the form: those of a man marked by the corrupt of own soul. In society his appearance, namely the exterior, enchants all and despite he commits crimes, anyone meet him, cannot believe that this creature might be corrupt.
The reality, namely the interior of Dorian is contained in the painting by Basil: the contrast with the appearance will lead him to death.
The fact that people around Dorian base their judgments on his appearance, it shows that the Victorian age is superficial.
ARTHUR SCHOPENHAUER (1788 - 1861)
Egli assume come punto di partenza e d'imitazione Kant e Platone: l'elemento dualistico accomuna Platone (dualismo tra mondo sensibile e mondo delle idee) e Kant (dualismo tra i fenomeni e i noumeni), in entrambi gli autori c'è una contrapposizione tra la realtà (noumeno per Kant e mondo delle idee per Platone) e l'apparenza ingannevole (fenomeni in Kant e mondo sensibile in Platone).

Schopenhauer analizza la contrapposizione tra realtà e apparenza nella sua più grande opera:
"Il mondo come volontà e rappresentazione".
La rappresentazione è ciò che noi vediamo, non ha alcun fondamento oggettivo quindi quello che noi riteniamo che sia la realtà è un semplice inganno.
La rappresentazione è come il velo di Maia: Maia era una divinità buddista che utilizzava il velo come strumento per far credere reali delle semplici illusioni. Schopenhauer vuole fuoriuscire dalla dimensione illusoria strappando il velo di Maia per giungere alla realtà. Il cunicolo che ci consente di andare al di là delle illusioni è il nostro corpo, l'unica realtà che non c'è data solo come immagine poiché noi viviamo il nostro corpo anche dall'interno. Percorrendo questa strada s'individua una realtà sostanziale: la volontà di vivere, che ha un valore universale.
La volontà di vivere è una forza tragica apportatrice di dolore, è il fondamento del reale, la brama, il desiderio di esistere, è la vera essenza delle cose. Essa presenta quattro caratteristiche:
È inconscia: non riguarda solo le creature dotate di coscienza ma riguarda tutto il mondo animato e inanimato;
È unica perché si colloca al di là della categoria dello spazio;
È eterna perché è oltre il tempo, c'è sempre stata e sempre sarà;
È incausata e senza scopo: non ha né una causa né un fine, è oltre la causalità.
Da ciò deriva che Schopenhauer ha un pensiero irrazionalistico: il fondamento della realtà è irrazionale, egli nega la presenza di qualunque realtà nelle cose; la razionalità non è in grado di cogliere la realtà quindi essa non può essere colta con le categorie della razionalità. Dalla concezione di Shopenhauer della volontà di vivere emerge un certo pessimismo: la volontà di vivere produce sofferenza perché volere significa desiderare, cioè mancare di qualcosa. Questo senso di mancanza produce sofferenza quindi la volontà di vivere è portatrice di sofferenza.
Alcuni desideri possono essere soddisfatti ma il soddisfacimento del desiderio è momentaneo perché poi si trasforma in noia, ne consegue che il fondamento dell'esistenza è il dolore.
LA PROPAGANDA FASCISTA
Il Fascismo fondato da Benito Mussolini in Italia fu assicurato da una grande capacità comunicativa, la 'propaganda', attraverso la quale fu stabilito un controllo totale sull'informazione e la cultura. La propaganda fascista conquistò terreno senza far segreto di una volontà autoritaria e dichiaratamente antidemocratica. Mussolini espose nella sua Dottrina del fascismo una concezione dello stato che sembrava riallacciarsi al pensiero risorgimentale, ma in realtà il fascismo pretese di costruire uno Stato volto ad affermare il primato del dominio. I messaggi furono rivolti a tutte le categorie della società italiana e furono diffusi incessantemente attraverso la radio, la stampa e il cinema.
IL DOPOLAVORO: a partire dal 1925 il regime fascista avviò il programma di 'nazionalizzazione' del tempo libero, il primo passo fu la creazione dell'Opera Nazionale Dopolavoro (OND). L'OND diventò 'movimento' nazionale che vigilava sull'organizzazione del tempo libero. Le attività dei vari circoli erano suddivise in una serie di servizi sociali:
Istruzione: cultura fascista e formazione professionale;
Educazione fisica: sport e turismo;
Educazione artistica: musica, cinema, radio e folklore.
Questo programma era rivolto agli ambienti urbani e industriali; a partire dal 1929 si sviluppò anche il dopolavoro agricolo, le cui finalità convergevano nel proposito di 'non distrarre dalla terra' i contadini. Un aspetto importante dell'OND era quello dell'assistenza ai lavoratori, che avevano modo di sviluppare le proprie capacità fisiche, intellettuali e morali anche fuori dalle ore di lavoro.
GIOVENTU' ITALIANA DEL LITTORIO: Il fascismo considerava fondamentale la missione educativa, dedicando le cure maggiori all'educazione giovanile attraverso la Gioventù Italiana del Littorio (G.I.L.). Il motto della G.I.L. era 'credere, obbedire, combattere'. Il regime affidò alla G.I.L. la preparazione sportiva, spirituale e premilitare delle nuove generazioni. Per la gioventù maschile la G.I.L. impartiva una formazione che li preparava alla vita in Marina o nell'Aviazione. Invece per quanto riguarda la gioventù femminile possiamo citare i corsi di preparazione alla vita domestica.
L'uso dei mass media, assume un'importanza fondamentale per la diffusione della propaganda fascista:
LA RADIO: più di ogni altro mezzo assunse un ruolo di primo piano. I programmi trasmessi erano costituiti per lo più da discorsi del Duce. La radio diventava, così, la voce ufficiale dello stato.
LA STAMPA: è importante rilevare il controllo attuato dai regimi sulle informazioni. Fu possibile grazie all'acquisto da parte del partito fascista delle maggiori testate giornalistiche e grazie all'introduzione degli albi. I quotidiani, dunque, presentavano il periodo fascista come un modello storico di pace e moralità. Nonostante il controllo attuato dal fascismo però, alcuni giornali d'opposizione come La Stampa e Il Corriere della Sera riuscirono a sopravvivere. Con le 'Leggi Fascistissime' Mussolini dispose che ogni giornale avesse un direttore responsabile inserito nel partito fascista e che il giornale stesso, prima di essere pubblicato, fosse sottoposto a un controllo.
Il CINEMA: nel 1925 avvenne la costituzione dell'istituto nazionale L.U.C.E., ovvero L'Unione Cinematografica Educativa. Le sale in Italia erano parecchie ma non coprivano tutto il territorio nazionale; nacque così il Cinemobile che proiettava film nelle piazze. La tematica più ricorrente diventa il mito bellico con il conseguente elogio del patriottismo.
LO SPORT: Il regime mussoliniano costituì il primo esempio di utilizzazione dell'organizzazione sportiva come strumento di propaganda. Lo sport assunse un valore come attività educativa in sintonia con i valori della "nazione guerriera" propagandati dal fascismo.
LE DONNE: La politica fascista ha verso le donne un duplice atteggiamento: da una parte le colloca a casa come custodi e angeli del focolare, dall'altra le coinvolge nella partecipazione al regime nella ricerca di un consenso alla dittatura. Vi fu una politica per la formazione della donna: è istruita nell'economia domestica, nell'educazione all'infanzia, nell'assistenza sociale e educata alla salute e a una sana maternità.
INTELLETTUALI E POTERE: Il fascismo cercò il consenso anche sfruttando gli intellettuali di rilievo. Una parte del mondo della cultura aderì al fascismo attraverso l'ingresso nell'Accademia d'Italia; è il caso di Pirandello che s'iscrisse al partito fascista dopo il delitto Matteotti. Il fascismo di fatto non accetta la libertà di opinione e persegue tutti quelli che non si allineano al pensiero ufficiale. Le due figure che meglio rappresentano i punti di riferimento per gli intellettuali fascisti e antifascisti furono Giovanni Gentile e Benedetto Croce. Gentile fu il filosofo ufficiale del regime che teorizzò lo stato totalitario nel quale il singolo doveva completamente identificarsi. Croce, filosofo napoletano, era un liberale giolittiano che vedeva nel fascismo una sorta di parentesi nella continuità dello stato liberale, di malattia dello spirito.
LA PITTURA METAFISICA - GIORGIO DE CHIRICO
La Pittura metafisica è una corrente pittorica del XX secolo che vuole rappresentare ciò che è oltre l'apparenza fisica della realtà, al di là dell'esperienza dei sensi. Nel panorama delle avanguardie europee la metafisica rappresentò un altro originale contribuito italiano. I caratteri fondamentali della pittura Metafisica sono:
Rappresentazione d'immagini che conferiscono un senso di mistero, di allucinazione e di sogno.
La prospettiva del quadro è costruita secondo molteplici punti di fuga incongruenti tra loro.
Assenza di personaggi umani quindi solitudine: sono rappresentati manichini, statue, ombre e personaggi mitologici.
Campiture di colore piatte e uniformi
Scene che si svolgono al di fuori del tempo.
Le ombre sono troppo lunghe rispetto agli orari del giorno rappresentato.
L'autore più importante del movimento fu:
Giorgio de Chirico, nato a Vòlos in Grecia nel 1888, il 'grande metafisico', l'artista che ha dipinto 'ciò che non si vede'. È l'artista che è andato oltre la realtà apparente delle cose, ed è approdato a immagini sospese nel tempo. Colui che è riuscito ad immortalare tutto il fascino e l'inquietudine dell'enigma, e che lo ha fatto di gran lunga prima dei surrealisti. Non v'è artista che sia riuscito a creare volontariamente effetti così sconvolgenti, non v'è pittore che sia stato così acuto nell'usare l'ironia, o così grande mascheratore della verità.
De Chirico si muove in un paesaggio mitico. I luoghi lo educano al culto della forma e la sua passione per il disegno lo aiuta a sviluppare la fervida immaginazione: il mare, le colline dei templi, le rovine, le statue. La matrice classica della sua fantasia è rinforzata dalla conoscenza ravvicinata dell'artista svizzero Arnold Böcklin, che lo avviò, con le sue suggestioni fantastiche caratterizzate dall'ambiguo contrasto tra sogno e realtà. De Chirico approfondisce anche la lettura di Nietzsche e Schopenhauer che avranno un forte influsso sull'artista e saranno fondamentali per cogliere il senso del percorso e della ricerca artistica e filosofica di de Chirico.
Come nasce un quadro metafisico? Come si può modificare la realtà eppur rappresentarla? L'artista stesso lo suggerisce in un commento al suo primo quadro metafisico, (Enigma di un pomeriggio d'autunno del 1910.)
".in un limpido pomeriggio autunnale ero seduto su una panca al centro di piazza Santa Croce a Firenze. Naturalmente non era la prima volta che vedevo quella piazza: ero uscito da una lunga e dolorosa malattia intestinale ed ero quasi in uno stato di morbida sensibilità. Tutto il mondo che mi circondava, finanche il marmo degli edifici e delle fontane, mi sembrava convalescente. Al centro della piazza si erge una statua di Dante, vestita di una lunga tunica, il quale tiene le sue opere strette al proprio corpo e il capo coronato d'alloro pensosamente reclinato. Il sole autunnale, caldo e forte, rischiarava la statua e la facciata della chiesa. Allora ebbi la strana impressione di guardare quelle cose per la prima volta, e la composizione del dipinto si rivelò all'occhio della mia mente. Ora, ogni volta che guardo questo quadro, rivedo ancora quel momento. Nondimeno il momento è un enigma per me, in quanto esso è inesplicabile. Mi piace anche chiamare enigma l'opera a esso riservato".
La prima opera 'Metafisica' è 'Enigma di un pomeriggio d'autunno', del 1910. L'opera nacque da una 'visione' che De Chirico ebbe un pomeriggio seduto in piazza S. Croce a Firenze. Si trovava in un particolare stato emotivo, collegato ai suoi precedenti stati precari di salute. L'opera segna l'inizio di uno stile che avrà grande influenza nell'arte contemporanea. Le caratteristiche dell'opera sono le seguenti: interesse per gli assetti geometrici, per la forma intesa come coerente definizione plastica delle cose, per la solidità e la monumentalità come indice di armonia e stabilità, elevato contenuto espressivo che ha come risultato il controllo visivo dello spettatore.

Con il termine magnitudine s'intende la misura della quantità di luce che ci arriva da un corpo celeste. Questa quantità di luce dipende da molti fattori come la distanza dell'astro in questione, la sua grandezza e la sua temperatura.
Guardando il cielo si vede subito che alcune stelle sono più luminose di altre.
La magnitudine (luminosità) si distingue in:
a) magnitudine apparente: la dicitura apparente è dovuta al fatto che ci si riferisce alle luminosità delle stelle così come, appaiono viste dalla superficie terrestre;
b) magnitudine assoluta: è la luminosità effettiva e reale della stella.
Il legame tra la magnitudine relativa (m) a quella assoluta (M) è dato dalla seguente relazione:
= d
M
dove d è la distanza della stella in Parsec.
Se si conosce la distanza di una stella, se ne può determinare la magnitudine assoluta; viceversa se si conosce la magnitudine assoluta, si può risalire alla distanza.
La scala delle grandezze è progressiva al contrario, cioè più la massa della stella è grande e meno sarà luminosa la stella.
IL PARADOSSO DEI GEMELLI
Un grande progresso del pensiero è stata la formulazione della teoria della relatività di Einstein, secondo la quale il tempo non è assoluto, ma dipende dalla velocità e dal riferimento arbitrario che si prende in considerazione. Secondo Einstein è più corretto parlare di spaziotempo, perché i due aspetti sono inscindibilmente correlati tra loro.
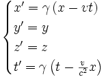
Secondo la relatività ristretta il tempo di un osservatore è uguale a quello di un altro osservatore solo se viene moltiplicato per un certo fattore che dipende dalla velocità relativa dei due osservatori. Più in particolare le formule di Lorentz sono le seguenti:

Ove
e x, y, z rappresentano
le tre dimensioni spaziali, t quella temporale, v la velocità e c
è la costante della velocità della luce nel vuoto.
Secondo quest'ultima formula, se noi rimanessimo sulla Terra e potessimo vedere un razzo che viaggia velocissimo nello spazio, osserveremmo che il suo equipaggio si muove al rallentatore.
La teoria della relatività genera anche dei paradossi apparenti riguardanti il tempo. Uno dei più noti è il cosiddetto paradosso dei gemelli: un gemello parte per un viaggio lontano con la sua astronave, che gli permette di andare a una velocità prossima a quella della luce. Al suo ritorno sulla Terra sarà più giovane del fratello gemello rimasto a casa. E fin qui ci siamo, secondo le conseguenze della relatività. Secondo la stessa relatività però tutti i sistemi di riferimento sottoposti ad uguale moto sono uguali tra di loro. Ciò significa, in sostanza, che per il gemello sull'astronave è la Terra a muoversi ad una velocità prossima a quella della luce, e quindi secondo lui dovrebbe essere il gemello sulla Terra il più giovane. Il paradosso consiste quindi in questo: Qual è il più giovane? O, in altre parole, per quale dei due è passato meno tempo? Esso si risolve considerando i cambiamenti di moto che il gemello sull'astronave ha fatto: ha accelerato durante la partenza, ha 'fatto retromarcia' per tornare sulla Terra dopo aver raggiunto la sua meta, magari quando l'aveva raggiunta, si è fermato, e ha decelerato per riuscire a fermarsi nelle vicinanze della Terra o dell'altra destinazione. Avendo fatto tutti questi movimenti 'in più', ne consegue, relativisticamente parlando, che è il gemello sull'astronave il più giovane.
ASINTOTI VERTICALI E FORME INDETERMINATE
Il dominio di una funzione fratta ci permette di trovare dei punti di discontinuità nei quali apparentemente c'è uno o più asintoti verticali. In realtà bisogna verificare se l'asintoto verticale c'è effettivamente, tale verifica si esegue con i limiti:

Dove c è il punto di discontinuità trovato grazie al dominio della funzione.
Se i limiti danno come risultato , significa che effettivamente c'è un asintoto verticale.
Se il risultato del limite è una forma indeterminata, può accadere che:
a)

non ci sono asintoti verticali e la funzione presenta una
discontinuità eliminabile, ovvero ha un limite finito, quindi l'asintoto
verticale è solo apparente:
b) Il limite tende a infinito quindi c'è realmente un asintoto verticale:

BIBLIOGRAFIA TESTI
I. Cataldi P., Donnarumma R., Luperini R., Marchese F., Marchiani L., La scrittura e l'interpretazione, vol.3, tomo XVI, Palermo, G.B. Palumbo Editore, 2004.
II. Massaro D., La comunicazione filosofia, vol.3, tomo A, Trento, Paravia, 2002.
III. Maglioni S. & Thomson G., Literary links from the Victorian age to contemporary times, Torino, Black Cat Publishing, 2004.
IV. Neviani I., Pignocchino Feyles C., Pianeta tre, Torino, Sei, 2006.
BIBLIOGRAFIA WEB
I. Barile M., Giorgio de Chirico:l'Uomo e l'Artista nel mondo metafisico, https://www.club.it, 29 marzo 2002.
II. Larcan L., L'enigma De Chirico, https://www.repubblica.it/, 17 gennaio 2007.
III. Wikipedia, l'enciclopedia libera, Dal tempo soggettivo alla teoria della relatività, A0, 31 maggio 2009
IV. Pixem, La propaganda fascista, https://www.pixem.it
V. Proserpina, De Chirico e le piazze senza tempo, https://www.webgol.it, 21 dicembre 2004.
![]() |
|
| Appunti Economia | ![]() |
| Tesine Ingegneria tecnico | ![]() |