Appunti per Scuola e Università
humanisticheUmanistiche
Appunti e tesine di tutte le materie per gli studenti delle scuole medie riguardanti le materie umanistiche: dall'italiano alla storia riguardanti le materie umanistiche: dall'italiano alla storia 
sceintificheScientifiche
Appunti, analisi, compresione per le scuole medie suddivisi per materie scientifiche, per ognuna troverai appunti, dispense, esercitazioni, tesi e riassunti in download.
tecnicheTecniche
Gli appunti, le tesine e riassunti di tecnica amministrativa, ingegneria tecnico, costruzione. Tutti gli appunti di AppuntiMania.com gratis!
Appunti
universita
AmministratoriArcheologiaCommoditiesContabilitaDiritto
Finanza bancheGeologiaGestioneIdrologiaMarketing
MedicinaMeteorologiaMusicaRicercheScienze politiche
SilvicolturaTurismo


AppuntiMania.com » Universita » Appunti di Ricerche » Il progresso e la societa' dei consumi - tesina

Il progresso e la societa' dei consumi - tesina




Visite: 2433Gradito:apreciate 4-stela [ Grande appunti ]
Leggi anche appunti:

Comte e la sociologia come coordinamento unitario del conoscere


Comte e la sociologia come coordinamento unitario del conoscere Auguste

"come tu mi vuoi" - tesina


"COME TU MI VUOI" Durante il percorso di studi di quest anno scolastico,

Genitori e figli, l'incomprensione tra due modi di vivere diversi


Genitori e figli, l'incomprensione tra due modi di vivere diversi Negli
immagine di categoria

Scarica gratis Il progresso e la societa' dei consumi - tesina

IL PROGRESSO E LA SOCIETA' DEI CONSUMI

Tesina




IL PROGRESSO E LA SOCIETA' DEI CONSUMI


Progresso". una parola che si sente sempre più spesso rimbalzare in tutti i mass media, usata, o meglio, abusata, per giustificare i danni dell'uomo all'ambiente, al prossimo e alla fauna.

Ma che cos'è in realtà il progresso?


PROGRESSO: sm (dal latino progressus da progredi, andare avanti). Atto ed effetto del progredire// Generale avanzamento nelle scienze, nella tecnica, nell'organizzazione sociale, politica ed economica, che ha come conseguenza la liberazione dell'uomo da forme arretrate e perciò inaccettabili del passato. (Mario Nuzzo - Dizionario della lingua italiana)



L'ATTEGGIAMENTO DEI LETTERATI NEI CONFRONTI DEL PROGRESSO.


Molti letterati, nella storia della letteratura italiana, si sono confrontati con il progresso, chi esaltandolo, chi respingendolo, altri rimproverandolo.

Tra questi, gli Scapigliati che ebbero un rapporto con il progresso molto ambiguo e contraddittorio.

La Scapigliatura non fu una scuola o un movimento organizzato, ma un gruppo di scrittori che operarono nello stesso periodo (gli anni sessanta-settanta dell'Ottocento) e negli stessi ambienti (il maggior centro di diffusione fu senz'altro Milano, seguito da Torino e Genova) e che furono accomunati, più che altro in negativo, da un'insofferenza per le convenzioni della letteratura contemporanea (in particolare il manzonismo e il tardo Romanticismo sentimentale), per i principi e i costumi della società borghese e da un impulso di rifiuto e di rivolta, che si manifesta nell'arte come nella vita.

In questo gruppo oggi s'includono scrittori come Arrigo Boito, Emilio Praga, Giovanni Camerana e Igino Tarchetti (Scapigliatura Milanese) e altri autori a loro affini come Giovanni Faldella, Alberto Cantoni e Carlo Pisani Dossi.

Il termine "Scapigliatura" fu proposto per la prima volta da Cletto Arrighi (pseudonimo di Carlo Righetti) nel suo romanzo La Scapigliatura e il 6 febbraio del 1862, per designare un gruppo di spostati e ribelli alla loro classe di provenienza, che amavano vivere in maniera eccentrica e disordinata.

Il termine voleva essere l'equivalente italiano di quello francese bohème, con il quale si indica propriamente la vita zingaresca, poiché si riteneva che questi nomadi provenissero proprio dalla Boemia.

Il termine, tuttavia, ebbe rapida diffusione e presto fu impiegato da quegli stessi scrittori anticonformisti per autodefinirsi.

Con il gruppo degli Scapigliati compare per la prima volta nella letteratura italiana dell'800, in forma estesa e violenta, il conflitto tra artista e società.

Avviatosi, infatti, con l'Unità il processo di modernizzazione economica e sociale dell'Italia, che tende a declassarli e ad emarginarli, nascono anche negli artisti italiani atteggiamenti ribelli e antiborghesi, il mito di una vita irregolare e dissipata come rifiuto radicale delle norme sociali e delle convenzioni correnti ("il maledettismo").

Questa situazione di disagio, di rivolta, di protesta accomuna gli Scapigliati con la condizione degli scrittori romantici europei da cui recuperano tutta una serie di temi che il Romanticismo italiano non aveva conosciuto: l'esplorazione estrema dell'irrazionale e del fantastico, della dimensione del sogno e dell'allucinazione, il "nero", il macabro e l'orrore, il satanismo, ma anche il culto mistico della bellezza, l'esotismo, gli atteggiamenti umoristici e ironici.

Il "nero" romantico era la percezione delle forze terribili che si erano scatenate nel mondo moderno, creando sconvolgimenti e lacerazioni di portata mai prima sperimentata ed esprimeva l'angoscia, la paura e l'orrore da esse provocate.

Non a caso queste manifestazioni estreme compaiono dopo l'Unificazione quando in Italia inizia un nuovo processo di modernizzazione.

I modelli a cui attingono gli Scapigliati sono in primo luogo i romantici tedeschi ma il loro nume è a tutti gli effetti Charles Baudelaire, il poeta che aveva cantato lo spleen e l'angoscia della vita moderna nelle grandi metropoli e dal quale prendevano gli atteggiamenti anarchici e la ricerca di una poesia come rivelazione immediata e irrazionale della realtà.

Un autore che esercita grande fascino è anche Edgar Allan Poe con i suoi racconti fantastici e macabri, con la sua vita disordinata e "maledetta".

Influenzarono gli Scapigliati anche i poeti del Parnasse, una scuola francese affermatasi in Francia nel decennio 1866-1876, che mirava ad una forma perfetta, cesellata e impeccabile.

La posizione della Scapigliatura nella storia della cultura Ottocentesca è, quindi, quella di un grande crocevia intellettuale, attraverso cui filtrano temi e forme delle letterature straniere, che contribuiscono a svecchiare e sprovincializzare il clima culturale italiano.

Gli Scapigliati introducono in Italia il gusto del nascente Naturalismo francese (il culto del vero e allo stesso tempo del brutto e del deforme da cui scaturiva la ricerca del linguaggio parlato).

La Scapigliatura, pur anticipando per certi aspetti il Decadentismo, tuttavia non sviluppò a pieno le proprie potenzialità di gruppo d'avanguardia (se con questo termine indichiamo il rifiuto di soddisfare il gusto medio del mercato letterario e sperimentare nuove forme).

Le loro potenzialità furono sviluppate in minima parte e gli Scapigliati non riuscirono ad aprire veramente nuovi orizzonti conoscitivi e nemmeno elaborare una lingua poetica.

Il più delle volte si accontentano di ottenere effetti cromatici e musicali e la facile provocazione del linguaggio prosaico.


Di fronte agli aspetti salienti della modernità, il progresso economico, quello scientifico e tecnico, gli Scapigliati assumono un atteggiamento ambivalente: da un lato il loro impulso originario è di repulsione ed orrore, come è proprio dell'artista che si aggrappa ai valori del passato (la Bellezza, l'Arte, la Natura, l'autenticità del sentimento) che il progresso va distruggendo; dall'altro, rendendosi però conto che quegli ideali sono ormai perduti irrimediabilmente, essi si rassegnano, delusi e disincantati, a rappresentare il "vero", vale a dire gli aspetti più prosaici della realtà presente, anche quelli più brutalmente materiali e turpi.

Questa ambivalenza è una manifestazione tipica di un'età di crisi violenta e di rapido trapasso, che lascia scrittori e artisti smarriti, lacerati interiormente.

Gli Scapigliati definiscono quest'atteggiamento "dualismo" ( dal titolo di una famosa poesia-manifesto di Arrigo Boito del 1863): essi si sentono divisi tra Ideale e Vero, bene e male, virtù e vizio, bello e orrendo, senza possibilità di conciliazione.

La loro opera è, infatti, proprio l'esplorazione di questa condizione di incertezza, di angosciata perplessità, di disperazione esistenziale (che in taluni non si limita alla pagina scritta ma si trasferisce nella vita reale).

Uno degli Scapigliati che descrisse la nuova realtà del progresso moderno fu Emilio Praga.


Emilio Praga nacque a Gorla (Milano) nel 1839 da una famiglia agiata e negli anni giovanili poté viaggiare a lungo per l'Europa, venendo a contatto con l'ambiente parigino.

Ma, dopo la morte del padre e il dissesto dell'azienda familiare, non seppe adattarsi ad un lavoro regolare e si diede all'alcol e ad una vita disordinata. In questo, tra gli Scapigliati fu quello che visse più autenticamente il modello del "maledettismo".

Morì nel 1875, distrutto dall'alcolismo, a soli 36 anni.

Ricordiamo le sue 3 raccolte. Penombre del 1864, Fiabe e leggende del 1869 Trasparenze del 1878 (postume).



Emilio Praga

Da Trasparenze

LA STRADA FERRATA (1864)


(A Cletto Arrighi)


Addio, bosco di frassini ombrosi,

ondeggianti campagne di biade!

del villaggio tranquille contrade

dove giuocano i bimbi al mattin.


Addio, pace de' campi pensosi,

solitarie abitudini, addio;

l'operaio sul verde pendìo

già distende il ferrato cammin.


Passerà nell'antico convento,

sulle fosse dei monaci estinti;

se all'inferno non giacciono avvinti

lo sa Iddio che stupor li corrà!


Dove il cantico, inutile, lento,

si perdea per la pinta navata,

volerà, dal suo genio portata,

via, fischiando, la scettica età.

Che terrori nel nido latente

degli ignari augelletti quel giorno!

Da tugurio a capanna d'intorno

che susurro, che ciancie, quel dì!


Che dirà questa povera gente,

cui repente - il miracolo appare ?

Vecchierelli, aspettate a spirare

quando giunta la strada sia qui.

Che diran gli infelici cui preme

la tremenda miseria del pane?

E cui nulla concede il dimane,

nella vita, che affanni e sudor?


Quando accanto all'aratro, che geme

lentamente nei solchi girando,

scorrerà, quasi ai pigri insultando,

l'uragano del nostro vapor?


Ahi l'aratro, il congegno diletto,

che diventa al confronto fatale?

Veh! Coll'oro si fabbrican l'ale!

Veh, se i ricchi le sanno pensar!


E, tornando al miserrimo tetto,

scorderan per quel dì la canzone,

e nei sogni la strana visione

tornerà nuovi enigmi a fischiar.


Ma le vispe fanciulle dei campi,

che cullato ancor bimbi non hanno,

e ancor tutti gli stenti non sanno

che si sposano ai cenci quaggiù;


ma i garzoni che guardano i lampi

quando tuona, con ciglia inarcate,

ma le donne, filando invecchiate,

cinto il cuore di arcigne virtù,


che clamori faran sulla via,

quando giunge il convoglio solenne;

chi dirà di vedervi le penne,

chi Satàna a tirarlo con sé;


e del fumo, che lento si svia

mentre lungi già il treno è trascorso,

seguiran quasi estatici il corso

brontolando : « No, fumo non è!».


Ma i più furbi bisbigliano invece

« Sì, che è fumo, e ai vigneti fatale:

la campagna di un soffio letale

può colpir tutta vasta quant'è.


Ah il Signor queste cose non fece;

no, per me, non ci vado in vapore.

Chi compar! L'asinello è migliore;

questo almeno il Signor ce lo die'».


Razza mesta, alle celie bersaglio

della plebe, cui sopra tu stai,

sul mio volto quel dì non vedrai

insolente il sorriso spuntar.


Ma deposto il mio caro bagaglio

io verrò ne' tuoi crocchi festivi,

non più in traccia di baci furtivi,

ma coi maschi da senno a parlar.


E dirò: « Questo fischio fugace

gira il mondo e affratella le genti,

rispondetegli intorno plaudenti,

cospergete il gran carro di fior.


Esso è l'arca novella di pace,

che i futuri destini rinserra,

non più stragi di popoli in guerra,

non più schiavi di avaro lavor!


Voleran da villaggio a cittade

nuovi patti: cultore e artigiano

stesa ai ricchi la nòbile mano

insiem l'almo edificio alzeran.


E tesoro di nuove rugiade

l'umil scienza anche ai cenci concessa,

vi dirà, benché in veste dimessa,

sante cose, che i preti non san.


Vi dirà che gli è sacro al paese

il sudore dei volti onorati,

come sacro è il valor dei soldati,

come sacra è la mente del Re.


Che non siete più mandre indifese,

voi famiglie dei solchi dìlette,

ma dal vostro vessillo protette,

ma da legge che ingiusta non è.


O Musa mia, perdonami

se ti ho costretta a far da moralista!

Ma sai quanto mi strazii

dei miseri la vista!

E poiché sì cattolico e stecchito

promette poco il parroco del sito,


Musa, a quel primo fischio

bravi sarem, se andremo in compagnia

nella turba dei poveri,

sparsi lungo la via,

a seminar qualche parola onesta:

la mission sacrosanta, o Musa, è questa!


Ma poi pagato l'obolo,

chi niegherà, mia cara, al tuo pittore

di spiegar l'ali a sciogliere

l'inno del suo dolore?

Deh guarda che monotona pianura!

Ve' in che forma han conciata la natura!


Il mio convento gotico

sparve, e die' passo a un muricciuola bianco

che dritto e ugual due miglia

va della selva al fianco.

Un ridotto di terra alzò la fronte,

e questo è il nostro fulgido orizzonte.


Dimmi, in che selve vergini

anderemo a studiar, Musa, dal vero?

Di pali il mondo copresi

che pare un cimitero;

si abbatton torri e quercie e campanili,

il cielo è tutto un rabesco di fili,


costumi e tipi perdonsi,

presto la moda viaggierà in vapore;

ammireranno i ciondoli

villico e pescatore.

Musa! E noi pingerem carta bollata

e canterem la fisica applicata!



Il problema centrale della poesia è il rapporto tra la letteratura e la nuova realtà del progresso moderno, dell'industria della scienza, della tecnica che trasforma radicalmente la realtà tradizionale.

Il poeta raffigura le reazioni delle plebi rurali dinanzi al fenomeno della ferrovia: i contadini restano sconvolti, scorgono nel treno una sorta di mostro alato, vi vedono Satana stesso alla guida; taluni hanno una reazione di diffidenza passatista, preferendo al treno l'asinello.

Il poeta, però, non assume un atteggiamento di derisione sprezzante, dall'alto della sua cultura, verso queste manifestazioni di ignoranza: vuole, infatti, investirsi di una funzione pedagogica verso i contadini, spiegare a loro come il treno rappresenti il progresso, che affratella le genti, che porta la pace e la liberazione dalla schiavitù del lavoro.

Il messaggio del poeta alle plebi rurali contiene anche un'utopia interclassista: contadini, operai cittadini e "ricchi" si daranno la mano nell'innalzare l'edificio del progresso; il nuovo sapere scientifico si diffonderà anche tra il popolo e ciò porterà all'emancipazione delle "mandre indifese", che saranno protette dalla legge.

Il poeta ritiene "sacrosanta"questa "missione" di propagandare il nuovo "vero" del progresso alle plebi contadine. In questo vuol sostituirsi al parroco che, irrigidito dai pregiudizi tradizionali, non è in grado di adeguarsi alla nuova civiltà (emerge qui l'anticlericalismo, molto diffuso nella cultura del secondo Ottocento).

Per compiere la sua missione, il poeta deve allontanarsi dal suo ideale di poesia "pura, piegandolo verso l'impegno civile (e di questo chiede perdono alla Musa).

A questo punto emerge l'ambivalenza del poeta verso il progresso, la macchina, l'industria, la realtà moderna.

Propagandare il progresso è un "obolo" che egli deve pagare, un dovere che egli deve compiere: ma il suo cuore è altrove.

Affiora irresistibilmente la nostalgia delle bellezze naturali e delle bellezze artistiche del passato.

La realtà moderna non è soltanto prosaica e brutta, è funerea, è dominata da un senso di morte (i pali che trasformano il mondo in un cimitero): negare la bellezza è come negare la vita stessa; il progresso distrugge anche tradizioni, costumi, tipi, livella indifferenziatamente tutti gli individui ("costumi e tipi perdonsi,/presto la moda viaggerà in vapore").

Gli Scapigliati scelgono temi orridi per polemica contro il mondo borghese che fa trionfare la bruttezza.

Il poeta conclude la poesia con amaro sarcasmo: scomparsa la bellezza, la poesia dovrà ridursi a cantare "la fisica applicata".

Praga si rende conto che la realtà moderna distrugge la figura tradizionale del poeta: nel mondo industriale l'unico valore che conti è la produttività; non c'è più posto per chi si dedica al bello disinteressato.

L'ambivalenza di fondo dei letterati italiani si manifesta qui in tutta la sua evidenza: da un lato si impongono di levare inni alla realtà moderna per non esserne emarginati, dall'altro ne hanno paura perché sentono che in fondo essa nega la loro esistenza e se ne ritraggono inorriditi, fuggendo verso il passato.

Ne nasce una contraddizione lacerante: da una parte l'adesione forzata ai miti ufficiali della società presente, dall'altra il rifugio in miti passatisti.

Un'altra importante espressione del poeta come cantore di quella scienza che egli stesso rifiuta la ritroviamo in Lezioni d'anatomia di Arrigo Boito del 1865.

Per altri come Carducci, il progresso fa parte di quei più alti ideali umani che concorrono allo sviluppo della civiltà e che alla poesia spettava celebrare.


Giosuè Carducci nacque a Valdicastello, in Versilia, nel 1835, dal dottor Michele, un medico condotto che subì persecuzioni per le sue idee liberali e repubblicane, e da Ildegronda Celli.

Trascorse l'adolescenza e l'infanzia a Bòlgheri, nella Maremma pisana nella natura aspra e selvaggia, ove formò il suo carattere fiero e intransigente.

Dopo aver frequentato le scuole degli Scolopi a Firenze ed essersi laureato in Lettere alla Normale di Pisa, insegnò alle scuole medie e poi letteratura italiana all'Università di Bologna.

In questa città visse fino alla morte avvenuta nel 1907.

Nel 1906 aveva ottenuto, primo fra gli scrittori italiani, il Premio Nobel per la letteratura.

Nel 1890 era stato nominato senatore del Regno.

Da giovane fondò il sodalizio degli "amici pedanti", sorto per polemizzare contro i romantici "odiernissimi".

Dal matrimonio con Elvira Menicucci ebbe 4 figli: Laura, Bice, Dante e Libertà.

Il figlio Dante, che rinnovava nel nome quello del fratello del poeta; morto suicida, morì a soli 3 anni.

Il poeta gli dedicò due fra le sue più belle poesie: Funere mersit acerbo e Pianto antico.

Carducci esalta il progresso nel suo celebre Inno a Satana.



Giosué Carducci

INNO A SATANA (1863)

A te, de l'essere 
Principio immenso,
Materia e spirito,
Ragione e senso; 
Mentre ne' calici
Il vin scintilla
Sì come l'anima
Ne la pupilla;
Mentre sorridono 
La terra e il sole 
E si ricambiano 
D'amor parole,
E corre un fremito
D'imene arcano 
Da' monti e palpita
Fecondo il piano;
A te disfrenasi 
Il verso ardito,
Te invoco, o Satana, 
Re del convito.
Via l'aspersorio, 
Prete, e il tuo metro! 
No, prete! Satana
Non torna indietro!
Vedi: la ruggine
Rode a Michele
Il brando mistico, 
Ed il fedele 
Spennato arcangelo
Cade nel vano.
Ghiacciato è il fulmine
A Geova in mano.
Meteore pallide,
Pianeti spenti,
Piovono gli angeli
Da i firmamenti.
Ne la materia
Che mai non dorme,
Re de i fenomeni,
Re de le forme,
Sol vive Satana.
Ei tien l'impero
Nel lampo tremulo
D'un occhio nero, 
O ver che languido
Sfugga e resista,
Od acre ed umido 
Pròvochi, insista.
Brilla de' grappoli
Nel lieto sangue,
Per cui la rapida
Gioia non langue, 
Che la fuggevole
Vita ristora,
Che il dolor proroga, 
Che amor ne incora. 
Tu spiri, o Satana,
Nel verso mio,
Se dal sen rompemi 
Sfidando il dio
De' rei pontefici,
De' re cruenti; 
E come fulmine
Scuoti le menti.
A te, Agramainio,
Adone, Astarte,
E marmi vissero
E tele e carte,
Quando le ioniche
Aure serene
Beò la Venere
Anadiomene. 
A te del Libano 
Fremean le piante!
De l'alma Cipride 
Risorto amante 
A te ferveano
Le danze e i cori,
A te i virginei
Candidi amori,
Tra le odorifere
Palme d'Idume, 
Dove biancheggiano
Le ciprie spume.
Che val se barbaro 
Il nazareno
Furor de l'agapi 
Dal rito osceno 
Con sacra fiaccola
I templi t'arse
E i segni argolici 
A terra sparse?
Te accolse profugo
Tra gli dèi lari 
La plebe memore
Ne i casolari.
Quindi un femineo
Sen palpitante
Empiendo, fervido 
Nurne ed amante,
La strega pallida
D'eterna cura 
Volgi a soccorrere
L'egra natura. 
Tu a l'occhio immobile 
De l'alchimista,
Tu de l'indocile
Mago a la vista,
Del chiostro torpido
Oltre i cancelli,
Riveli i fulgidi
Cieli novelli.
A la Tebaide 
Te ne le cose
Fuggendo, il monaco
Triste s'ascose.
dal tuo tramite
Alma divisa, 
Benigno è Satana;
Ecco Eloisa.
In van ti maceri
Ne l'aspro sacco: 
Il verso ei mormora
Di Maro e Flacco
Tra la davidica
Nenia ed il pianto;
E, forme delfiche, 
A te da canto,
Rosee ne l'orrida
Compagnia nera
Mena Licoride,
Mena Glicera. 
Ma d'altre imagini 
D'età più bella
Talor si popola
L'insonne cella.
Ei, da le pagine
Di Livio, ardenti 
Tribuni, consoli,
Turbe frementi
Sveglia; e fantastico
D'italo orgoglio 
Te spinge, o monaco, 
Su 'l Campidoglio.
E voi, che il rabido 
Rogo non strusse,
Voci fatidiche,
Wicleff ed Husse, 
A l'aura il vigile
Grido mandate:
S'innova il secolo,
Piena è l'etate. 
E già già tremano
Mitre e corone:
Dal chiostro brontola
La ribellione,
E pugna e prèdica
Sotto la stola 
Di fra' Girolamo
Savonarola. 
Gittò la tonaca
Martin Lutero; 
Gitta i tuoi vincoli,
Uman pensiero,
E splendi e folgora
Di fiamme cinto;
Materia, inalzati;
Satana ha vinto.
Un bello e orribile
Mostro si sferra, 
Corre gli oceani,
Corre la terra:
Corusco e fumido 
Come i vulcani,
I monti supera,
Divora i piani;
Sorvola i baratri;
Poi si nasconde
Per antri incogniti,
Per vie profonde;
Ed esce; e indomito
Di lido in lido
Come di turbine 
Manda il suo grido,
Come di turbine
L'alito spande:
Ei passa, o popoli,
Satana il grande.
Passa benefico
Di loco in loco
Su l'infrenabile
Carro del foco. Salute, o Satana
O ribellione
O forza vindice 
De la ragione!
Sacri a te salgano
Gl'incensi e i voti!
Hai vinto il Geova
De i sacerdoti.


Carducci celebra in questa lirica il trionfo della materia sullo spirito, della libertà di pensiero, della ragione e della scienza sull'oscurantismo della religione.

L'argomento è affrontato d'impeto, con il gusto di profanare istituzioni intoccabili e valori consacrati, senza particolare cura per le finezze intellettuali e stilistiche.

Il componimento, pubblicato con lo pseudonimo di Enotrio Romano, segna una svolta nella poesia carducciana: Satana è esaltato non come il nemico di Dio, ma come simbolo della ragione umana, che si ribella al misticismo e ad ogni forma di oppressione, lottando per la libertà e il progresso simboleggiato dalla vaporiera, come allora si chiamava la locomotiva a vapore.

L' Inno, celebrando Satana come simbolo del progresso e di ribellione alla vita, pur essendo di scarso valore poetico come lo stesso Carducci riconosce, rimane comunque un importante documento non solo del pensiero del poeta ma di tutti gli intellettuali laici di quel periodo.

La formazione classicistica del Carducci si fa sentire anche nella trattazione dei contenuti più attuali, infatti, nel rappresentare il treno come simbolo della modernità e del progresso sente la necessità di "poetizzarlo" rappresentandolo come una sorta di favoloso mostro mitologico.





GLI AUTORI LATINI E IL PROGRESSO


Nell'Antica Roma non si può parlare ancora propriamente di progresso, ma possiamo comunque ritrovare degli autori, come Plinio il Vecchio, che ebbero un atteggiamento positivo nei confronti dell'evolversi del sapere scientifico.


Gaio Plinio Secondo, definito comunemente "il Vecchio" per distinguerlo dall'omonimo nipote, nacque a Novum Comum (Como) nel 23 o nel 24 d. C. da una ricca famiglia equestre e intraprese presto la carriera pubblica cui la sua elevata posizione sociale lo destinava. Da giovane militò in Germania per lungo tempo, sebbene con intervalli dal 46 al 58, dove ebbe modo di conoscere il futuro imperatore Tito. Durante il principato di Nerone Plinio non ricoprì alcuna carica pubblica, forse perché appariva troppo legato al defunto imperatore Claudio, e si dedicò probabilmente all'attività oratoria e forense. Con la caduta di Nerone, nel 68, Plinio riprese la carriera equestre: è verosimile che a causa delle sue relazioni con Tito fosse uno dei primi sostenitori di Vespasiano. Sotto il nuovo principe ricoprì i più alti incarichi della carriera equestre, come procuratore imperiale in Gallia Narbonese, Africa proconsolare, Spagna Tarragonese, Gallia Belgica; le sue mansioni erano tali che comportavano quotidiani incontri con Vespasiano.

Partì da Roma per un incarico importante, anche se non di primissimo piano, quello di procurator della flotta imperiale di stanza a Miseno, in Campania. Pur assolvendo con zelo ai suoi incarichi pubblici, Plinio condusse studi di ampiezza straordinaria, componendo numerose opere tra cui la sua sterminata enciclopedia: la Naturalis Historia.

Lo scrittore poté conciliare compiti ufficiali e studi personali solo grazie ad una rigida autodisciplina: tutto il tempo libero dagli impegni ufficiali lo dedicava allo studio e non sprecava mai neppure un momento senza studiare o dettare; aveva sempre un notarius ("stenografo") al fianco. Questa regola di vita manifestava una concezione utilitaristica del lavoro intellettuale, come servizio offerto all'umanità, che derivava sia da una visione personale di Plinio, sia dall'ideologia "borghese" promossa da Vespasiano.

Morì il 24 agosto del 79, durante l'eruzione del Vesuvio, muovendo con la flotta incontro al pericolo, per adempiere al suo dovere di funzionario statale soccorrendo le vittime e per assecondare la sua curiosità scientifica, indagando da vicino il fenomeno.


La Naturalis Historia, terminata e pubblicata nell'anno 77, è un'enciclopedia delle scienze naturali che abbraccia in 37 libri tutto il sapere scientifico dell'antichità. Già nel titolo, infatti, l'opera si presenta come ricerca a carattere enciclopedico sui fenomeni naturali: il termine historia conserva il suo significato greco di indagine. L'autore vi condensò il frutto delle sue immense letture, riepilogate in appunti (excerpta), condotte per un quarantennio su oltre duemila opere di quasi cinquecento autori greci e latini, prosatori e poeti; vi si aggiungono le osservazioni personali e le scoperte avvenute fra l'epoca degli autori e quella di Plinio.                                Il primo libro fu completato dal nipote Plinio il Giovane dopo la morte dello zio, contiene la dedica a Tito, il sommario dei libri successivi ed un elenco delle fonti per ciascun libro. L'autore vuole far conoscere all'uomo i vari aspetti della natura, perché possa elevarsi dalla sua condizione animale.

L'informazione tratta svariati temi:


  • La descrizione dell'universo (II libro)
  • La geografia ed etnografia del Bacino del Mar Mediterraneo (III-VI libro)
  • L'antropologia (VII libro)
  • La zoologia (VIII-XI libro)
  • La botanica e l'agricoltura (XII-XIX libro)
  • La medicina e le piante medicinali (XX-XXVII libro)
  • La medicina ed i medicamenti ricavati dagli animali (XXVII-XXXII libro)
  • La mineralogia (XXXIII-XXXVII libro)

L'ultima parte, trattando della lavorazione dei metalli e delle pietre, contiene anche una sorta di storia dell'arte dell'antichità. Il metodo di Plinio non è "scientifico": l'autore, infatti, non si preoccupa di sottoporre le notizie che va raccogliendo ad un'adeguata e rigorosa verifica, né gli interessa elaborare delle ipotesi originali.

Inoltre, le informazioni sono aggregate secondo esigenze retoriche piuttosto che scientifiche.

In sostanza si tratta di un'opera che risente della fretta di chi legge e registra tutto quanto va apprendendo e dello sforzo di mettere ordine nell'immensa materia.

Sebbene non si possa chiedere all'autore originalità ed esattezza scientifica, si deve riconoscere l'altissimo valore antiquario e documentario dell'opera, e l'enciclopedismo pratico dell'autore, spesso soffermatosi in credenze superstiziose e gusto del fantastico. Tre sono i motivi fondamentali dell'opera.

La necessità di giovare agli uomini ("iuvare mortales") i quali, infelici per natura, possono essere liberati dal dolore soltanto attraverso gli studi e il sapere.

L'esaltazione della grandezza di Roma.

L'elogio dei sovrani, i quali beneficano con la loro attività il mondo intero (giovare agli uomini è l'unica espressione delle divinità accessibile all'uomo) e che meritano quindi più di ogni altri la divinizzazione.

Oggi la Naturalis Historia costituisce un'importante fonte di conoscenza del vocabolario naturalistico latino.


Oltre a Plinio, un altro autore latino che affermò l'importanza della conoscenza fu Seneca nelle sue Naturales Quaestiones.


Lucio Anneo Seneca nacque a Corduba (attuale Cordova), in Spagna, nel 4 a.C. circa. Il padre, Seneca il Vecchio, un agiato cavaliere, condusse i figli a Roma perché ricevessero l'educazione retorica che riteneva indispensabile per un brillante cursus honorum. Solo il primo dei suoi figli, Anneo Novato, detto poi Gallione, seguì la carriera pubblica, il terzo Anneo Mela (padre di Lucano), curò i propri affari privati; il secondogenito Lucio Anneo, coltivò gli studi di retorica, ma al tempo stesso si avvicinò alla filosofia stoica, frequentando la scuola di Attalo e Sozione.

Attraverso gli insegnamenti di Sozione di Alessandria e soprattutto di Papirio Fabiano, Seneca conobbe le dottrine di Quinto Sestio e del suo circolo, che predicavano un ideale filosofico di perfezionamento morale e austere norme comportamentali, tra cui il vegetarianesimo, lontano da ogni interesse politico e sociale.              

Quando però la scuola dei Sestii si sciolse, in seguito al senatoconsulto del 19 d.C che condannava all'esilio chiunque praticasse riti e culti stranieri, Seneca abbandonò lo studio della filosofia e partì per l'Egitto, dove risiedeva la zia, forse per motivi di salute, forse per motivi di prudenza e vi rimase fino al 31 anno in cui tornò a Roma e iniziò la sua carriera pubblica.                                                       Ottenne la questura nel 37 e subito divenne noto per la sua eloquenza al punto da indispettire Caligola, che decise di condannarlo a morte.

La condanna non venne pronunziata solo perché una favorita dell'imperatore lo convinse che la sua salute malferma non lasciava a Seneca molto da vivere e non valeva la pena di attirarsi il biasimo della sua morte.                                                           

Salito al trono Claudio, nel 41, sua moglie Messalina, per liberarsi della propria rivale, Giulia Livilla, la accusò di aver compiuto adulterio con Seneca: lui fu mandato in esilio in Corsica e Giulia Livilla venne giustiziata poco tempo dopo.

Nonostante i ripetuti tentativi di ottenere la grazia e il rientro, Seneca rimase in Sardegna per otto anni.

Solo quando Claudio, fatta uccidere Messalina, sposò la nipote Agrippina, sorella di Giulia Livilla, questa, sia per riabilitare la memoria della principessa scomparsa, sia per accattivarsi il favore del popolo con un atto di clemenza, ottenne per il condannato la revoca della pena.

Seneca fu nominato quindi pretore e gli fu affidata da Agrippina l'educazione del figlio dodicenne Nerone perché gli insegnasse l'eloquenza, ritenuta indispensabile per la formazione del futuro monarca.

Quando Nerone succedette a Claudio, nel 54, Seneca gestì il passaggio del potere insieme ad Agrippina e al prefetto del pretorio Afranio Burro. Per alcuni anni i due personaggi indirizzarono la politica dell'imperatore; ben presto, però, il giovane Nerone si sottrasse alla guida del maestro, che nel 59 assistette impotente all'uccisione di Agrippina. Fu Seneca stesso a scrivere la lettera con cui Nerone giustificava davanti al senato il matricidio. La situazione gli sfuggì di mano quando Burro morì, non si sa se per malattia o per veleno.

Seneca si accorse di aver perso qualunque appoggio e si ritirò a vita privata.

Dal 62 al 65 visse nei suoi possedimenti a Roma e in Campania, assieme alla giovane moglie Paolina, dedicando tutto il suo tempo agli studi filosofici e lontano dalla vita politica.         Quando nel 65 fu scoperta la congiura dei Pisoni, Nerone colse l'occasione per liberarsi dell'ex precettore e per impadronirsi del suo cospicuo patrimonio.

Seneca, che non aveva preso parte attiva alla congiura, ricevette dall'imperatore l'ordine di uccidersi: si tagliò le vene, ma poiché il sangue, lento per la vecchiaia e viscoso a causa della dieta vegetariana, non defluiva, dovette ricorrere alla cicuta, che gli procurò un'agonia lenta e straziante.                                                                                                        


Le Naturales Quaestiones, dedicate a Lucilio, furono scritte da Seneca subito dopo il ritiro a vita privata, dal 62 in poi.                                         

Si tratta di un compendio di scienze naturali in sette libri nei quali Seneca vuole mostrare al suo discepolo il percorso che educa alla libertà, partendo da osservazioni naturali fino a giungere e affrontare i temi dell'esplorazione morale.

Ciascun libro riguarda:


I fuochi celesti (I libro)

I tuoni, i fulmini e i lampi (II libro)

Le acque della terra (III libro)

Il Nilo e le nubi (IV libro)

I venti (V libro)

I terremoti (VI libro)

Le comete (VII libro)


Seneca probabilmente attinse la materia a dossografie (raccolte di opinioni di filosofi) più che ai filosofi stessi da lui citati nel corso dell'opera e ogni libro è preceduto da un preambolo più o meno ampio e si chiude con un epilogo, in cui l'autore esprime delle considerazioni, anche di carattere morale.

Seneca, conformemente alla mentalità dello scienziato antico, non concepisce lo studio della natura come fine a se stesso, ma in relazione ad esigenze etiche: esso deve servire, in accordo con la filosofia epicurea, a liberare l'uomo dalle superstizioni che nascono proprio dall'ignoranza delle cause dei fenomeni naturali e dal timore della morte, che inquina la vita con la coscienza che ogni momento potrebbe essere l'ultimo.                    Se l'uomo, purificatosi dalla corruzione che lo ottenebra e lo devia, sarà in grado di cogliere tutto questo, si libererà anche dal falso timore degli dei e del principe. Seneca, quindi, come Plinio il Vecchio, si mantiene così fedele allo scopo di giovare all'umanità intera, secondo i dettami della filosofia dei Sestii.

A tal proposito, nel VII libro delle Naturales Quaestiones (capitoli 30-32) Seneca sottolinea l'ignoranza da parte dell'uomo di ciò che concerne l'universo e le divinità e afferma con forza la sua fede nel progresso delle conoscenze scientifiche. La lentezza con cui la scienza procede, secondo lui, deriva dalla scarsa applicazione degli uomini che progrediscono soltanto nei vizi e la mancanza di successori nelle scuole filosofiche porta gli uomini a non progredire nella conoscenza della verità.



IL PROGRESSO IN FILOSOFIA


La riflessione sul progresso, in filosofia, ha interessato numerosi pensatori.

Tra questi sicuramente il più importante è Hegel.


Georg Wilhelm Friedrich Hegel nasce a Stoccarda nel 1770 e compie i suoi studi presso il seminario teologico di Tubinga. Dopo aver fatto il precettore privato a Berna e a Francoforte, riceve diversi incarichi come professore universitario a Jena, Heidelberg e a Berlino. In quest'ultima città ricoprì anche la carica di rettore e vi morì nel 1831.


Hegel sostiene che la storia universale (o storia del mondo) è il dispiegarsi dell'idea universale dello spirito attraverso varie tappe e differenti popoli, in un processo che è fatto di progresso continuo e ascendente. Il suo fine è la realizzazione della libertà attraverso delle forme statali sempre più perfette e la consapevolezza di sé dello spirito assoluto.

Le tappe fondamentali della storia sono: il mondo orientale (ove un solo uomo, il monarca, è libero); il mondo greco-romano (dove pochi privilegiati sono liberi); il mondo cristiano-germanico (dove ogni uomo è libero). Lo spirito del mondo si evolve e sviluppa nella storia in modo logico e razionale. Il corso della storia, infatti, ha un senso e una finalità.

Il senso è dato dalla direzione sempre progressiva per cui da uno stato ancora immaturo e primitivo si passa ad uno superiore. La finalità del corso della storia è costituita dalla libertà che con il progredire della coscienza realizza la ragione del mondo. Il fine ultimo della storia è, quindi, la realizzazione della ragione nel mondo.

Dalla considerazione della storia universale risulta che "tutto vi è successo in modo razionale" ed è per questo che una delle formule più care a Hegel è: "ciò che è razionale è reale, ciò che è reale è razionale".

Con la prima parte della formula ('ciò che è razionale è reale'), Hegel vuole dire che ciò che è ragionevole diventa realtà, si attua in forme concrete. Un ideale razionale prima o poi si realizza. E se non si realizza, vuol dire che non è razionale. Quindi, secondo Hegel, gli ideali e i programmi politici che non si sono mai tradotti in atto, si sono dimostrati, proprio per questo, irrazionali e senza alcun valore, delle vane fantasie di esaltati. Per sapere se un programma o un'ideologia è giusta, è razionale, bisogna vedere se si attua concretamente nella storia.

La seconda parte della formula ('ciò che è reale è razionale') afferma che in tutto ciò che è reale (nella natura e nella storia) si può rintracciare un'intrinseca razionalità. La realtà, cioè l'insieme dei fenomeni naturali e degli eventi storici, non è una materia caotica, caratterizzata dal caso, ma ha un suo sviluppo logico, poiché è il manifestarsi di una struttura razionale (l'Idea o Ragione), che è inconsapevole nella natura e consapevole nell'uomo. Per cogliere fedelmente la realtà della storia bisogna andare oltre la superficie degli avvenimenti, penetrare la sostanza con la ragione. Infatti non è l'occhio fisico, che è limitato, a cogliere la sostanza razionale del mondo, ma l'occhio del concetto, della ragione "che penetra in superficie e si fa strada tra la moltitudine variopinta e aggrovigliata degli avvenimenti".

Per interpretare la storia universale abbiamo bisogno di alcune categorie fondamentali: il mutamento che riguarda la fine di straordinari eventi o civiltà; il ringiovanimento rappresentato dalla rielaborazione (superamento) della precedente forma storica e infine la provvidenza storica ossia l"operare segreto" della ragione la quale utilizza eventi negativi o personalità eccezionali come strumenti per trasformare il male in bene e per favorire lo sviluppo dello spirito del mondo.

Hegel afferma che la situazione esteriore muta quando qualcuno è in grado di aprire allo "spirito del mondo bussa alla porta ". Quel qualcuno è l'individuo " cosmico storico ", l'incarnazione dello spirito, il quale ha una funzione rivoluzionaria: egli deve andare contro lo stato di cose presenti, per realizzare la " razionalità " velata ed intrinseca alla storia.

A differenza degli individui comuni (conservatori ), i personaggi " storico - universali

[uomini pratici e politici, dotati di pensiero ] si accorgono del cangiamento  interno alla stessa realtà "e i loro scopi privati particolari racchiudono il contenuto sostanziale che è volontà dello spirito del mondo.

Gli uomini della storia mondiale sono gli eroi di un' epoca, che hanno voluto appagare se stessi e non altri, sono coloro che hanno capito meglio di tutti cosa si dovesse fare: " Perciò gli altri seguono questi condottieri di anime, poiché si sentono venire incontro la forza irresistibile del loro stesso spirito interiore. "

In una lettera dell'ottobre del 1806, Hegel vedendo Napoleone a Jena, dirà di aver visto " lo spirito del mondo seduto a cavallo che lo domina e lo sormonta ".

Napoleone, infatti, alla pari di Alessandro Magno e Cesare, ha compiuto inconsciamente un passo verso la libertà, smantellando il vecchio regime a carattere feudale.

Il ritorno dello spirito a se stesso si conclude nello spirito assoluto, cioè nella consapevolezza da parte dell'idea del fatto che tutto è spirito.

L'arte, la religione e la filosofia sono la traduzione culturale dell'Assoluto in una determinata epoca storica. Tutti e tre hanno il medesimo contenuto ma lo esprimono in forme differenti: l'arte mediante l'intuizione sensibile, la religione mediante la rappresentazione, la filosofia mediante il puro concetto.

Pochi anni dopo Hegel, fu Comte a riflettere sul progresso.


Auguste Comte, il maggior rappresentante del positivismo francese, nacque nel 1798 a Montpellier da famiglia cattolica e anarchica.

Studente alla Scuola Politecnica di Parigi, nutre ideali da libero pensatore e, sin da giovane, si dichiara repubblicano.

Il primo volume del suo Corso di filosofia positiva esce nel 1830, gli altri cinque verranno pubblicati tra il 1835 e il 1842.

Nonostante i successi del suo libro non riesce ad ottenere una cattedra universitaria.

Vive anni di povertà e di solitudine, muore il 5 settembre 1857.


Comte avverte profondamente l'insoddisfazione per il

disordine sociale che caratterizza la sua epoca. Un disordine iniziato con la Rivoluzione Francese del 1789 e che attraverserà tutto l'Ottocento europeo.

Egli però è ottimista, perchè affida alla scienza l'obiettivo della riorganizzazione sociale. Comte individua le linee dello sviluppo storico dell'umanità, individuale e collettivo, giungendo a formulare la legge dei tre stadi che costituisce il principio di interpretazione complessiva unitaria del mondo e dell'uomo. Secondo tale legge, ogni nostra conoscenza principale passa necessariamente per tre stati teorici differenti: lo stato teologico o fittizio, lo stadio metafisico o astratto, lo stadio scientifico o positivo. Ad ognuno di essi corrisponde un tipo particolare di sapere e di metodo conoscitivo.

Tra questi metodi non c'è alcun rapporto, se non di esclusione reciproca.

Nello stadio teologico, lo spirito umano ricerca le cause finali e ultime dei fenomeni che vengono considerati come prodotti da misteriosi agenti soprannaturali. In questa fase l'umanità adora gli astri o le divinità, da cui fa dipendere il proprio destino e quello della natura.                                                                                                                              Nello stadio metafisico, lo spirito umano cerca di spiegare l'intima natura dei fenomeni, l'origine e la destinazione di tutte le cose attraverso i concetti astratti. La metafisica non è altro che una sorta di teologia, depotenziata nelle sue pretese religiose.

Nello stadio positivo, infine, lo spirito umano riconosce che non è possibile trovare spiegazioni generali sull'origine e lo scopo dell'universo e dunque rinuncia a chiedersi quale siano le cause ultime dei fenomeni. L'uomo allora si propone di conoscere le leggi effettive dei fenomeni osservati e cioè le loro relazioni costanti di successione e somiglianza. In questa fase l'intelligenza umana si è liberata delle inutili speculazioni astratte.                                                                                                               La legge dei tre stadi vale anche per ciascuno di noi individualmente: ognuno di noi è teologo nella sua infanzia, metafisico nella sua giovinezza e fisico nell'età adulta. Lo sbaglio che bisogna evitare però, è considerare il passato come un grande errore, ciascun sistema è stata la risposta più adeguata che gli uomini hanno saputo dare in quella determinata epoca, in quanto la conoscenza è sempre storicamente determinata. Ora il compito della filosofia positiva è quello di estendere alla società i metodi di indagine riservati alle scienze naturali (la sociologia).

Pertanto Comte riorganizza la nuova enciclopedia delle scienze costituita dalle cinque scienze fondamentali: astronomia, fisica, chimica, biologia, sociologia ordinate secondo il triplice principio logico, storico e pedagogico.

Il ruolo di primo piano viene assegnato alla sociologia la scienza che deve liberare la società dalla sua disorganizzazione. Egli credeva che lo studio di tale disciplina avrebbe portato l'umanità ad uno stato di benessere, dato dalla comprensione e dalla conseguente capacità di controllo del comportamento umano.

Comte divide la sociologia in statica sociale, che si fonda sul concetto dell'ordine, cioè sulla connessione necessaria tra le varie parti del corpo sociale e la dinamica sociale, che si fonda sul concetto di progresso, cioè dello sviluppo continuo e graduale dell'umanità.

Il progresso per Comte (e per l'intero positivismo) implica l'idea del perfezionamento incessante dell'umanità, sia sotto il profilo tecnico e conoscitivo, sia dal punto di vista etico e culturale.

La scienza quindi arriva ad avere una finalità pratica che consente all'uomo il dominio sulla natura. Conoscere le leggi dei fenomeni comporta la possibilità di previsione e di azione sulla natura.

A distinguersi nella concezione della storia come un processo continuo lineare e ascendente fu, qualche tempo dopo, Nietzsche.     


Friedrich Wilhelm Nietzsche nacque a Röcken, in Sassonia nel 1844 da un pastore protestante. Compì gli studi universitari a Bonn e a Lipsia e, giovanissimo, viene chiamato a ricoprire la cattedra di filologia classica presso l'Università svizzera di Basilea. La pubblicazione della Nascita della tragedia nel 1872 gli dà la notorietà presso il pubblico e gli assicura l'ammirazione del grande musicista Wagner. Per motivi di salute, dopo soli dieci anni di insegnamento, si dimette dall'Università e avrà una vita irrequieta fatta di impegno nella scrittura filosofica e di viaggi per l'Europa alla ricerca di un benessere fisico che non arriverà mai.

L'unico amore del filosofo fu la finlandese Lou Salomè che rifiutò la sua proposta di matrimonio preferendo a lui un suo discepolo.

Nietzsche trascorse gli ultimi anni a Torino, poi la morte lo colse nell'agosto del 1900 a Lipsia.


Secondo Nietzsche la storia non deve essere interpretata secondo una visione lineare e progressiva, ma come un grande circolo, in cui le vicende del mondo eternamente si ripetono e ritornano. Nietzsche si sgancia dalla visione rettilinea del tempo inaugurata dal pensiero ebraico- cristiano, secondo la quale la storia inizia con la creazione e avrà termine con la fine del mondo per riallacciarsi alla concezione ciclica dei greci e dell'antica India.                                                                                                             La dottrina dell'eterno (simboleggiato, in Così parlò Zarathustra del 1883-85, dal serpente che si morde la coda) ritorno dell'uguale rappresenta una molteplicità i significati. Innanzitutto si ricollega alla concezione antropologica di Nietzsche che si basa sull'esaltazione della vita terrena: l'uomo raggiunge la felicità se sa gustare la vita nella sua pienezza, in ogni attimo. L'essere esaurisce il suo significato nell'attimo presente senza rimandarlo al futuro come invece avviene nella concezione lineare del tempo.

In breve, nella concezione ciclica ogni attimo contiene in sé il proprio valore e il proprio fine.  

La storia, dunque, non ha un fine assegnato dalla divina provvidenza, ma il suo senso coincide con l'uomo. Inoltre, in tale prospettiva, tutto ciò che avviene è talmente importante che non si distrugge, ma eternamente ritorna. Alla vita è così restituita la propria dignità e perfezione. Il secondo significato della dottrina dell'eterno ritorno va ricercato nella polemica contro lo storicismo, l'idealismo e il positivismo che nell'Ottocento avevano esaltato il divenire storico come sviluppo e progresso sociale e umano. Tali filosofie pensavano che il cammino dell'umanità fosse un cammino inarrestabile da una fase d'indigenza e povertà ad una di progresso sempre crescente. Nietzsche al contrario afferma che con il passare del tempo gli uomini non migliorano anzi dopo un'età eroica sono passati in una fase di decadenza.

La concezione assolutamente antistoricistica è ancora più evidente nella seconda delle Considerazioni inattuali intitolata Sull'utilità e il danno della storia per la vita.

In essa, il giovane Nietzsche polemizza vivacemente con lo storicismo che, a suo dire, rende l'uomo ostaggio del passato e quindi incapace di vivere creativamente il presente e di progettare il futuro.

L'autore, però, non disprezza la conoscenza del passato, ma ammette l'importanza della storiografia.

Il filosofo distingue tre tipi di ricerca storica: la storia monumentale, che ci fa conoscere i grandi esempi degli uomini del passato che possiamo ammirare ed imitare, ma che ci espone al rischio di mitizzarli rendendoci fanatici e intolleranti; la storia antiquaria, che ci fa conoscere e rispettare le nostre origini, facendoci custodire il passato e venerarlo, che rappresenta la storia più pericolosa perché tende a renderci "eruditi" del passato, "ciechi" collezionisti di cose piccole e insignificanti in cui spesso riponiamo il nostro cuore, bloccando la nostra energia vitale; la storia critica, che ci permette di guardare alla tradizione in modo costruttivo, permettendo di contraddirla e di staccarci da essa e che costituisce sicuramente il metodo più corretto per rapportarsi alla storia: essa serve alla vita.


IL PROGRESSO MODERNO: IL BOOM ECONOMICO DEGLI ANNI '60


La Seconda Guerra Mondiale provocò morti e distruzione ben superiori a quelle del primo conflitto, sia per un'estensione maggiore dei territori coinvolti, sia per l'utilizzo di armi più potenti ed efficaci. Così, alla fine della Guerra, nel 1945, l'Europa appariva un continente devastato. L'economia era praticamente ferma: la produzione agricola e industriale era di gran lunga inferiore ai livelli precedenti alla guerra, gli scambi commerciali quasi interrotti, i sistemi monetari dei vari paesi travolti dall'inflazione. Soltanto grazie all'aiuto finanziario degli Stati Uniti (il piano Marshall lanciato nel 1947), i paesi dell'Europa occidentale riuscirono a rimettere in moto l'apparato economico e ad avviare una rapida ricostruzione. Negli anni '50-'60 l'economia capitalistica attraversò un periodo di espansione senza precedenti con ritmi di crescita continui e rapidissimi tali da far apparire l'aumento del benessere come la condizione normale delle società industriali. Il boom cominciò subito dopo il secondo conflitto mondiale negli Stati Uniti che fecero da "locomotiva" alla ripresa economica del resto del pianeta.

A partire dall'inizio degli anni '50 quest'espansione coinvolse anche gli stati dell'Europa occidentale e del Giappone.

Lo sviluppo degli anni '50-'60 riguardò in primo luogo l'industria, soprattutto i settori legati all'uso di tecnologie avanzate e alla produzione di quei beni di consumo durevoli che raggiunsero in questi anni una diffusione di massa non solo negli Stati Uniti ma anche in Europa occidentale e in Giappone.

L'agricoltura ebbe uno sviluppo più lento, ma il processo di modernizzazione del settore si estese e si consolidò, permettendo fortissimi aumenti di produttività: in tutti i paesi sviluppati, la produzione agricola crebbe costantemente (anche se meno velocemente di quella industriale) mentre il numero di addetti al settore diminuiva.

Parallelamente si accresceva la quota degli impiegati nel settore terziario. Il boom del secondo dopoguerra fu il risultato di una serie di fattori concomitanti. Uno dei principali fu sicuramente l'esplosione demografica che seguì la fine della guerra. La crescita della popolazione significò un allargamento della domanda di beni di consumo, di abitazioni, di strutture sociali (scuole, ospedali) e, sui tempi più lunghi, l'immissione nei processi produttivi di nuova forza-lavoro più giovane e meglio qualificata (grazie ai progressi dell'istruzione). Gli apparati produttivi industriali riuscirono a soddisfare le richieste di un mercato in continua espansione grazie al costo relativamente basso (e tendenzialmente calante fino al 1973) delle materie prime, in particolare del petrolio che aveva ormai sostituito il carbone come principale fonte energetica.

Per quanto riguarda l'Italia, il decollo economico prese avvio già nella prima metà degli anni '50 quando il paese vedeva l'appartenenza all'Alleanza Atlantica e l'egemonia politica della Democrazia Cristiana che, forte del successo ottenuto nelle elezioni del 1948, era diventata il partito di maggioranza relativa.

Fu tra il 1958 e il 1963 che il paese giunse al culmine del processo di crescita economica.

Il "miracolo economico" in Italia vide il vertiginoso aumento del PIL e del reddito pro-capite.

Lo sviluppo interessò maggiormente l'industria manifatturiera ma l'aspetto più evidente fu l'aumento delle esportazioni di prodotti industriali.

Molti erano i fattori che avevano permesso il miracolo: la congiuntura nazionale favorevole (di cui si è già parlato), la politica di libero scambio inaugurata negli anni '50 e sancita dall'adesione alla Cee, la modesta entità del prelievo fiscale e soprattutto lo scarto tra l'aumento di produttività e il basso livello dei salari. Questa compressione salariale, premessa essenziale per l'avvio del miracolo italiano, fu possibile grazie alla larga disponibilità di manodopera a basso costo a causa della diffusa disoccupazione e del costante flusso migratorio dalle zone depresse. Fu dunque in questi anni che l'Italia divenne a tutti gli effetti un paese industriale. Molto limitata, invece fu la modernizzazione delle attività agricole, relegate ormai ai margini delle attività economiche. Questa agricoltura arretrata non era in grado di assorbire l'offerta di manodopera proveniente dalle nuove generazioni che quindi furono costrette a prendere la via dell'emigrazione. La "scomparsa dei contadini" insieme alla trasformazione industriale dell'Italia furono i fenomeni fondamentali della storia del paese degli anni '50. Lo spostamento di molti lavoratori del Sud dalle zone rurali alle città industriali accentuò ancora di più il divario tra il Nord industriale inserito nell'economia internazionale e il Sud rurale con tassi di analfabetismo ancora alti e condizioni di vita ai limiti della sussistenza.

Le rapide migrazioni interne e la rapida urbanizzazione erano indubbiamente il segno di un progresso economico del paese, anche se l'espansione delle città avvenne spesso in forme caotiche e l'integrazione degli immigrati non fu sempre indolore.         

In questi anni cominciò processo che, grazie alla scolarizzazione e alla diffusione dei consumi, portò alla formazione di una cultura di massa caratterizzata, inoltre, da una relativa emancipazione della donna e una complessiva laicizzazione della società.

Gli strumenti principali di questo cambiamento furono la televisione e l'automobile.

La televisione, infatti, fu lo strumento di unificazione linguistica e culturale dell'Italia mentre l'automobile divenne subito il simbolo di una nuova indipendenza e libertà di movimento.

Gli altri elettrodomestici che in questo periodo erano destinati al mercato di massa furono il frigorifero, la lavastoviglie, la macchina per scrivere e la lavatrice.

A livello mondiale le scoperte scientifiche e le innovazioni tecnologiche furono alcune delle componenti fondamentali dello sviluppo economico postbellico. I governi destinarono quote crescenti del reddito nazionale alla ricerca e il lungo periodo di pace seguito alla fine del conflitto consentì di indirizzare verso gli usi civili risorse intellettuali e finanziarie prima assorbite soprattutto dalle esigenze militari. Ciò che mutò rispetto all'anteguerra fu la velocità della diffusione dell'innovazione tecnologica e la sua applicazione ai diversi settori produttivi. Nel giro di pochi anni, il mondo sviluppato fu sommerso da un'ondata di nuovi materiali e di prodotti di ogni genere in gran parte sconosciuti alla generazione precedente.           



L'ELETTRICITA'


Come appena detto, in Italia il miracolo economico consentì la diffusione su larga scala degli elettrodomestici che, come il nome stesso indica, funzionano grazie alla corrente elettrica. L'elettricità rientra in una branca della fisica che è l'elettrostatica la quale tratta delle forze esercitate da un campo elettrico stazionario (cioè che non cambia nel tempo) su corpi carichi.                                                                                        Una regione di spazio è sede di un campo elettrico tutte le volte che, prendendo un corpo di prova elettricamente carico e ponendolo in un punto qualsiasi di quella regione di spazio, si osserva che il corpo è soggetto a forze di origine elettrica. Il vettore campo elettrico descrive in modo quantitativo l'effetto di un campo elettrico in un punto P dello spazio. Ponendo in P una carica di prova positiva +q, si può misurare con un dinamometro una forza F (vettoriale) che agisce su di essa.


Si definisce il vettore campo elettrico E come il rapporto tra F e +q:                                                                



In realtà il campo elettrico esisterebbe anche se la carica di prova fosse negativa. Inoltre la carica posseduta dal corpo di prova deve essere molto piccola per evitare che essa dia luogo a fenomeni di induzione elettrostatica sul corpo o, addirittura, ne provochi il movimento, modificando così le proprietà del campo.


n corpo è carico se contiene un eccesso di cariche di un segno.                               Un conduttore è attraversato da corrente elettrica quando al suo interno vi è una migrazione di particelle cariche che è possibile solo se vi sono punti a potenziale diverso. Si definisce intensità della corrente elettrica I il rapporto tra la quantità di carica ΔQ che attraversa la sezione trasversale di un conduttore in un intervallo di tempo Δt e questo stesso intervallo di tempo.


I=



L'intensità della corrente è una grandezza scalare che nel Sistema Internazionale si misura in ampere (A), in onore del fisico francese Andrè Marie Ampère.                              In un conduttore passa la corrente 1 A quando attraverso la sua sezione trasversale transita una quantità di carica di 1 C nell'intervallo di tempo di 1 s.



Convenzionalmente, si sceglie come verso della corrente elettrica quello in cui si muovono le cariche positive, cioè il verso che va da punti a potenziale alto a punti a potenziale basso. Spesso però questo è in contrasto con ciò che succede nella realtà. Quando l'intensità rimane costante nel tempo si parla di corrente stazionaria (o continua). In questo caso la quantità di carica è direttamente proporzionale all'intervallo di tempo. Diversi conduttori in un circuito possono essere collegati in serie o in parallelo. Due o più conduttori sono collegati in serie quando sono disposti in successione cioè uno di seguito all'altro. Ognuno di essi è attraversato dalla stessa corrente. Due o più conduttori sono invece collegati in parallelo (o in derivazione)n quando hanno le prime estremità in comune tra loro e le seconde estremità in comune tra loro.

Ai loro capi, quindi, è applicata la stessa differenza di potenziale.


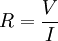
L'impianto elettrico domestico può essere schematizzato come un intreccio di collegamenti in parallelo.                        Infatti, se i diversi apparecchi fossero collegati in serie, dovrebbero funzionare tutti assieme e basterebbe spegnerne uno per aprire il circuito e spegnerli tutti. Il collegamento in parallelo permette invece di mettere in funzione soltanto quegli apparecchi che si vogliono utilizzare. Il fatto che la corrente elettrica "salti" quando vengono utilizzati troppi apparecchi elettrici tutti insieme, è da ricollegarsi alla prima legge di Ohm da cui si definisce la resistenza elettrica. La resistenza elettrica è una grandezza fisica che misura la tendenza di un conduttore elettrico ad opporsi al passaggio della corrente quando è sottoposto ad una tensione. Questa opposizione si manifesta con un riscaldamento del conduttore (Effetto Joule) e dipende dal materiale con cui è realizzato, dalle sue dimensioni e dalla sua temperatura. La resistenza è data dalla Legge di Ohm:




R è la resistenza tra gli estremi del componente, misurata in ohm
V la tensione a cui è sottoposto il componente, misurata in volt
I è la corrente che attraversa il componente misurata in ampère.

La resistenza elettrica nel Sistema Internazionale si misura in ohmΩ):


1 Ω è la resistenza di un conduttore percorso da una corrente di intensità pari ad 1 A quando ai suoi estremi si applica una differenza di potenziale di 1 V.                                 

La resistenza equivalente di più resistenze poste in serie è data dalla somma delle singole resistenze. La somma totale,quindi, è maggiore delle singole resistenze.


Req= R + R + R ++ Rn


Il reciproco della resistenza equivalente di più resistenze poste in parallelo è dato dalla somma dei reciproci delle singole resistenze. La somma totale, quindi, è minore delle singole resistenze.



Poiché nell'impianto elettrico di una casa le apparecchiature sono collegate in parallelo, quando il circuito viene chiuso e vengono azionate tutte insieme la resistenza totale sarà molto più piccola delle singole resistenze iniziali.                                                                                        Considerando la prima legge di Ohm, al diminuire della resistenza avremo un aumento della tensione che, se supera i 220V (il voltaggio massimo consentito per l'uso domestico) fa "saltare" la corrente.


CONQUISTA DELLO SPAZIO



Direttamente collegata ai progressi della ricerca scientifica fu l'apertura, alla fine degli anni '50, di un nuovo capitolo della storia delle esplorazioni: quello relativo alla conquista dello spazio.

Nessun aspetto del progresso scientifico e tecnologico del secondo dopoguerra fu capace come questo di colpire la fantasia dei contemporanei e di simboleggiare lo slancio ottimistico di un'intera epoca.Le esplorazioni spaziali ebbero la loro principale premessa tecnica negli sviluppi della missilistica e dal punto di vista economico nella concentrazione di risorse nel settore, soprattutto da parte delle due superpotenze. Il primo clamoroso successo fu ottenuto dall'Urss, quando nel 1957 mandò in orbita il primo satellite artificiale, lo Sputnik.

Pochi mesi dopo, nel gennaio del '58, gli Stati Uniti lanciarono il loro Explorer. Furono i sovietici ad inviare nello spazio il primo astronauta, Yuri Gagarin, il 12 aprile 1961.

Lo sbarco degli uomini sulla Luna, però, avvenne solo otto anni dopo, il 21 luglio 1969, quando gli astronauti Neil Armstrong e Edwin Aldrin, discesi dalla navicella Apollo 11, misero piede sul suolo lunare, che tuttora è l'unico corpo celeste visitato dall'uomo.                                

La Luna è l'unico satellite naturale della Terra e l'unico corpo del Sistema Solare (oltre al Sole) di cui sia possibile osservare direttamente la superficie. Nonostante la massa modesta, la Luna è uno dei più grandi satelliti del Sistema Solare.

Il rapporto tra la massa della Terra e quella della Luna è uno dei più alti tra i rapporti pianeta-satellite all'interno del Sistema Solare ed essa, grazie alla sua vicinanza, esercita un'attrazione gravitazionale non trascurabile sulla superficie terrestre.        

Di conseguenza, Terra e Luna si muovono come un sistema unico, legate da reciproca attrazione gravitazionale.   

La Luna è un corpo solido di forma pressoché sferica. Il suo raggio è circa 14 del raggio terrestre e la sua densità media è decisamente inferiore rispetto a quella terrestre.

La forza di gravità è pari a 16 di quella terrestre. A causa del suo lento moto di rotazione, il suolo si riscalda notevolmente durante il lungo dì lunare (fino a 120°C) e si raffredda altrettanto rapidamente durante la notte (-230° C). La distanza media tra la Terra e la Luna è di circa 384000 km ma non è costante: la Luna si allontana dalla Terra di circa 2,5 cm l'anno. Ciò è probabilmente collegato con il progressivo rallentamento del moto di rotazione terrestre, causato dall'attrito delle maree e dall'azione frenante della Luna.

La Luna non ha atmosfera e ciò probabilmente dipende dal fatto che la forza di gravità esercitata sulla sua superficie è troppo debole per trattenere a sé molecole di gas e vapori, e, a causa della sua assenza, il passaggio dal dì alla notte avviene in modo repentino e accentua considerevolmente l'escursione termica diurna.

Dalla mancanza di atmosfera probabilmente dipende anche la caratteristica assenza di acqua, sia allo stato di vapore, sia allo stato liquido e quindi sulla Luna sono totalmente assenti i fenomeni erosivi e la sua superficie non è stata modificata nel corso del tempo se non dall'impatto con i meteoriti.

Inoltre non sono mai state trovate tracce di vita. Per quanto riguarda l'origine della Luna sono state proposte quattro ipotesi:


fissione, separazione di una massa fusa dalla Terra in formazione per effetto della rotazione terrestre;

cattura, attrazione gravitazionale della Terra su un corpo indipendente in movimento nel Sistema Solare;

accrezione, aggregazione di frammenti solidi con modalità analoghe a quelle che hanno portato alla formazione della Terra e dei pianeti;

impatto, evento catastrofico di collisione tra un gigantesco corpo del Sistema Solare e la Terra.                                                                                                  


Nessuna delle ipotesi fino ad ora ha trovato conferma anche se la più accreditata è quella dell'impatto. La superficie lunare, in quanto priva di atmosfera, è sempre perfettamente visibile e quindi è possibile osservare le sue strutture caratteristiche.

I mari lunari sono vaste aree pianeggianti di colore scuro, ricoperte da uno spesso strato di regolite. Si ritiene che si siano formati in passato soprattutto a causa del riempimento di depressioni da parte di lave molto fluide (basaltiche). La regolite ha origine spaziale e si forma in seguito al susseguirsi, per miliardi di anni, dell'impatto dei meteoriti che provocano la polverizzazione delle rocce superficiali. Anche il vento solare, i raggi cosmici, le escursioni termiche e la gravità hanno contribuito nel tempo a modificare la morfologia lunare.

I mari occupano circa il 20% della superficie lunare e, per qualche ragione ancora sconosciuta, sono praticamente assenti dalla faccia nascosta della Luna.    Gli altopiani sono aree elevate, di colore chiaro e hanno una superficie fortemente craterizzata. Occupano circa l'80% della superficie lunare e sono formate da rocce molto antiche, a volte difficili da analizzare perchè profondamente trasformate dall'impatto con i meteoriti. Sugli altopiani come nei mari si possono notare lunghi solchi sinuosi simili a valli fluviali lunghi anche diversi chilometri che potrebbero essere stati scavati dalla lava oppure potrebbero essere fratture prodotte durante il raffreddamento della crosta.

Sulla superficie lunare si osservano dei veri e propri rilievi, isolati o riuniti in sistemi.          

I crateri sono le forme più caratteristiche del paesaggio lunare e se ne contano decine di migliaia. Hanno dimensioni molto diverse che variano da un metro a diverse centinaia di chilometri (i cosiddetti circhi). I più piccoli hanno bordi netti, mentre quelli di dimensioni maggiori hanno bordi frastagliati che evidenziano dei crolli.

I crateri sono distribuiti casualmente sulla superficie lunare anche se sono più concentrati sugli altopiani. Alcuni si sono probabilmente formati in seguito ad un'intensa attività vulcanica nelle fasi primordiali della storia della Luna, ma la maggior parte si è formata in seguito all'impatto di meteoriti che esplodendo e disintegrandosi sulla superficie hanno formato delle cavità più o meno grandi secondo la violenza dell'impatto e dalle dimensioni del meteorite. Il numero di crateri osservati non deve stupire: la caduta di un meteorite non è un fatto raro, ma soprattutto non lo era nelle prime fasi della storia del Sistema Solare. L'assenza dell'atmosfera, inoltre, rende più violenti gli impatti.

Dal punto di vista geologico, la Luna è molto più quieta della Terra: non c'è attività vulcanica e i terremoti sono molti più deboli di quelli terrestri. Alcuni sismi sono provocati dall'impatto con i meteoriti, altri sono dovuti a crolli e piccoli movimenti della crosta. Poiché la maggior parte di essi si verifica nel periodo in cui la Luna si trova alla massima e alla minima distanza dalla Terra, devono essere messi necessariamente in relazione con l'attrazione gravitazionale della Terra.

I dati dei sismografi ci hanno permesso di studiare la struttura interna della Luna che è a gusci concentrici.

La crosta è rigida, ha uno spessore medio di circa 60 km, e, insieme al mantello superiore, forma la litosfera lunare che si estende fino a 1000km.

Il mantello inferiore (astenosfera) è, invece, una fascia di materiali debolmente viscosi e plastici.           

Il nucleo probabilmente è piccolo e ricco di ferro.

La materia nella litosfera lunare non sarebbe distribuita in modo omogeneo perché sono state rilevate delle anomalie della forza di gravità in alcune zone dovute alla presenza di masse concentrate di materiali più densi rispetto alla crosta circostante. Tali zone sono denominate mascons (mass concentrations) e sono distribuite in modo irregolare nei mari lunari.        I vari moti della Luna si compongono fino a formare un unico moto complesso. La Luna ruota intorno al proprio asse da ovest verso est in verso antiorario (osservata dal polo nord celeste). Il periodo di rotazione è molto lento e ha una durata di 27d 7h 43min e 11s. Per un tempo equivalente alla metà del periodo di rotazione, una faccia del nostro satellite è illuminata dal Sole e per un periodo equivalente è nell'oscurità.

La Luna compie una rivoluzione intorno alla Terra, muovendosi in verso antiorario (se osservata dal polo nord celeste), su un'orbita ellittica che ha il centro della Terra in uno dei due fuochi.

La distanza Terra-Luna è quindi variabile e si riconoscono una posizione di perigeo (minima distanza) e apogeo (massima distanza). Nel suo moto di rivoluzione la Luna passa da una posizione in cui si trova in direzione opposta rispetto ai raggi solari oltre la Terra (opposizione) a una posizione in cui si trova tra il Sole e la Terra (congiunzione). Inoltre passando dalla posizione di opposizione a quella di congiunzione e viceversa, la Luna attraversa una posizione intermedia, in cui l'angolo Terra-Luna e Terra-Sole è di 90° (quadratura). Il piano dell'orbita lunare intorno alla Terra è inclinato, rispetto al piano dell'eclittica di 5°9'. I due piani si intersecano in corrispondenza di una linea detta linea dei nodi: solo quando la Luna viene a trovarsi in uno dei due nodi giace realmente sul piano dell'eclittica, nel tempo restante si muove al di sopra o al di sotto del piano di rivoluzione terrestre. L'asse di rotazione lunare forma con il piano dell'orbita lunare un angolo di 83°19', quindi rispetto al piano dell'eclittica, l'asse di rotazione lunare ha un'inclinazione di quasi 90° (precisamente 88° 29').

La Luna non si muove intorno alla Terra con velocità costante: essa è massima in perigeo e diminuisce avvicinandosi all'apogeo. Il valore medio è di circa 1km/s.

L'intervallo di tempo necessario per compiere un'intera rivoluzione prende il nome di mese. Si distingue però il mese sidereo e il mese sinodico.

Il mese sidereo corrisponde all'intervallo di due successivi allineamenti della Luna e di una stella su di un meridiano e dura 27d 7h 43min 11s.                                                             

Il mese sinodico è l'intervallo tra due uguali allineamenti (congiunzioni od opposizioni) Luna-Sole e dura 29d 12h 44min 3s.

La loro differenza deriva dal fatto che mentre la Luna ruota intorno alla terra questa si è spostata nel suo periodo di rivoluzione intorno al Sole. Per ritrovare l'allineamento con la terra e il Sole è necessario che la luna compia un ulteriore arco intorno alla Terra, corrispondente all'angolo che quest'ultima ha compiuto nei 27 giorni trascorsi intorno al Sole. Tale arco corrisponde a circa 27° e per compierlo la Luna impiega circa 2 giorni.   Poiché il periodo di rotazione e quello di rivoluzione sono sincronizzati, la Luna rivolge alla Terra sempre la stessa faccia.

Mentre compie i moti di rotazione e di rivoluzione, la Luna si muove assieme alla Terra, intorno al Sole (moto di traslazione). Poiché la posizione della Luna intorno alla Terra non è fissa, la sua orbita intorno al Sole ha un andamento sinuoso, la cui curva risultante è detta epicicloide e corrisponde ad un'ellisse deformata che si snoda intorno al Sole e taglia l'orbita terrestre ora verso l'interno (in media 12 volte l'anno) ora verso l'esterno (in media 12 volte l'anno). In un anno l'epicicloide taglia l'orbita terrestre 24 o 25 volte ed è sempre concava verso il Sole.   

Oltre che in questi, la Luna è coinvolta in altri movimenti di minore importanza detti moti secondari: il moto di regressione della linea dei nodi, il moto all'interno della Galassia e quello di espansione dell'Universo.

Nel corso di un mese sinodico, la porzione dell'emisfero della Luna illuminato visibile alla Terra cambia progressivamente in conseguenza alle diverse posizioni della Luna rispetto a Terra e Sole. Ai cambiamenti di posizione e di condizioni di illuminazione che avvengono nel corso di un mese sinodico si dà il nome di fasi lunari. Durante l'intero ciclo si alternano momenti in cui il disco lunare appare completamente illuminato e momenti in cui è completamente oscurato, con periodi intermedi in cui viene illuminato o oscurato parzialmente.

Quando la Luna si trova in congiunzione con il Sole e la Terra si ha il novilunio: la Luna ci offre la sua faccia non illuminata. Poiché rivolge verso la Terra il lato in oscurità, la Luna in questa fase non dovrebbe essere visibile, in realtà si presenta come un disco debolmente illuminato. Il fenomeno è evidente quando la Luna, in prossimità del novilunio è una falce sottilissima. Il tenuissimo chiarore lunare (luna cinerea) dipende dal fatto che la Terra le rivolge la sua faccia illuminata e riflette verso di essa le radiazioni che riceve dal Sole che la Luna a sua volta riflette mandandole verso la Terra. Quando la Luna si trova in opposizione, si ha il plenilunio: dalla Terra è visibile per intero la faccia illuminata dal Sole e la Luna ci appare come un disco pieno. Il disco lunare è visibile in questa posizione perché il piano dell'orbita lunare non coincide con quello dell'eclittica: pertanto l'ombra della Terra non oscura la Luna.

La Luna impiega 14d 18h 22min per passare dalla fase di novilunio a quella di plenilunio e in questo tempo modifica gradualmente il suo aspetto. La parte illuminata visibile appare come una falce che cresce notte dopo notte e ha la "gobba" rivolta a ponente.

7d 9h 11min dopo il novilunio, la Luna ha percorso 14 della sua orbita e si trova in quadratura con il Sole e la Terra. Questa è la posizione di primo quarto e la Luna appare come un disco illuminato a metà. Passando dal plenilunio al novilunio, la Luna "cala", cioè la porzione illuminata si riduce. Trascorsi 7d 9h 11min dopo il plenilunio la Luna ha compiuto 34 della sua orbita e la posizione di quadratura si ripete.

Questa è la posizione di ultimo quarto e vediamo nuovamente il disco lunare illuminato a metà. In questo caso, però, la "gobba" è rivolta a levante.

L'eclissi è l'oscuramento temporaneo di un corpo celeste dovuto al passaggio di un altro che vi transita davanti. Nel caso del sistema Luna-Terra-Sole si parla di eclissi di Luna quando la Terra si interpone tra la Luna e il Sole, impedendo ai raggi solari di raggiungere e rendere visibile la Luna; si parla, invece, di eclissi di Sole quando è la Luna che si interpone tra Terra e Sole, impedendo la vista del Sole. L'eclisse è totale se il corpo celeste interessato viene completamente oscurato, parziale se viene coperto solo in parte. La Luna e la Terra sono sempre illuminate nell'emisfero rivolto verso il Sole, i due corpi, quindi, proiettano in direzione opposta al Sole un cono d'ombra che si apre allontanandosi dal corpo celeste.

Le eclissi di Luna si realizzano quando essa entra nel cono d'ombra della Terra, mentre le eclissi di Sole si realizzano quando il Sole entra nel cono d'ombra della Luna. Perché avvenga un'eclissi di Luna o di Sole è necessario che i tre corpi siano allineati (quindi o in plenilunio o in novilunio) sullo stesso piano. Se il piano dell'orbita lunare coincidesse con quello terrestre, ogni mese lunare avremmo un'eclissi di Luna ed un'eclissi di Sole. Dal momento che i due piani orbitali non coincidono, l'eclisse è possibile solo quando il novilunio e il plenilunio avvengono mentre la Luna si trova in uno dei due nodi o in sua prossimità. Le eclissi di Luna si verificano quando la Luna si trova in plenilunio in prossimità di un nodo (distanza dal nodo inferiore a 5°, l'eclissi è totale, tra 5° e 10°, l'eclissi è parziale). Le dimensioni del cono d'ombra della terra sono superiori alle dimensioni del diametro lunare, pertanto la Luna impiega un tempo relativamente lungo per attraversarlo (anche 100 minuti) e possono essere osservate contemporaneamente da tutti i punti della Terra per i quali la Luna si trova al di sopra dell'orizzonte. Durante la fase di oscuramento, la Luna non scompare completamente ma appare con un disco debolmente illuminato di colore rossastro perché sulla sua superficie giungono comunque radiazioni solari rifratte dall'atmosfera terrestre (in alto l'eclissi di Luna sello scorso 3 marzo).

Le eclissi di Sole avvengono quando la Luna è in novilunio e in prossimità di uno dei due nodi (non oltre una distanza di 15° circa). Le dimensioni reali della Luna sono molto inferiori rispetto a quelle del Sole, ciononostante il cono d'ombra del nostro satellite può oscurare per breve tempo il disco solare, il cui diametro apparente è molto ridotto a causa della maggiore distanza dalla Terra. Il cono d'ombra della Luna si estende a una distanza minore rispetto al cono d'ombra della Terra, per questo motivo le eclissi di Sole sono visibili in zone limitate della superficie terrestre e per un tempo più breve rispetto alle eclissi solari (in alto l'eclissi di sole dell'11 agosto 1999).

Inoltre, quando la Luna si trova in apogeo e la Terra in afelio il diametro solare risulta ridotto e si verifica un'eclissi totale. Se la Luna è in apogeo, indipendentemente dalle posizioni della Terra, la superficie apparente della luna non è sufficiente per ricoprire l'intero disco solare e si verifica un'eclissi anulare, nella quale resta visibile, sottoforma di anello luminoso, la parte più esterna del Sole.

Le eclissi si verificano con una periodicità caratteristica e prevedibile: le eclissi di Sole sono le più frequenti sebbene si abbia sempre l'impressione che sia un evento più raro di quelle di Luna, perché affinché un'eclisse totale di Sole si verifichi nello stesso punto sono necessari 360 anni (per le eclissi di Luna solo 18).

Attualmente, l'Agenzia Spaziale Europea (ESA) e la Repubblica Popolare Cinese hanno entrambe piani per esplorare la Luna, la prima mediante sonde e la seconda, secondo notizie recenti, con un programma di esplorazione umana.

La Cina, oltre all'esplorazione umana, sta considerando la possibilità di sfruttare minerariamente la Luna, in particolare per l'isotopo Elio-3, da usare come fonte d'energia sulla Terra




LA POP ART: LA CELEBRAZIONE DELLA CIVILTA' CONSUMISTICA


La conseguenza più vistosa dell'espansione economica post-bellica nei paesi industrializzati fu comunque il generale e rapido miglioramento del livello di vita della popolazione. L'aumento del reddito pro-capite si tradusse in una fortissima espansione dei consumi privati. Per questo, in riferimento a quel periodo si parla di "società del benessere" oppure, con una sfumatura polemica di "civiltà dei consumi". La quota del salario destinata all'abbigliamento e ai beni e ai servizi considerati comunemente non essenziali crebbe a dismisura provocando un calo dei prezzi, una razionalizzazione commerciale (si pensi ai supermercati) e alla moltiplicazione dei messaggi pubblicitari da cui derivarono dei modelli di consumo comuni a tutte le aree industrializzate che subirono un processo di omologazione e standardizzazione.

La Pop Art nasce proprio in questo contesto socio-economico nell'Inghilterra degli anni '50, ma si realizza pienamente a New York nei primi anni '60. Il termine "pop art" che deriva letteralmente da "arte popolare", fu usato per la prima volta dal critico inglese Lawrence Alloway nel 1958 sulla rivista "Architectural Digest" per descrivere quei dipinti che celebravano il consumismo postbellico.

Nella Pop Art l'epica viene sostituita dal quotidiano e diventa molto importante la produzione di massa.

I media e le pubblicità sono i suoi soggetti preferiti. Un'arte aperta alle forme più popolari di comunicazione: i fumetti, le pubblicità, i quadri riprodotti in serie nel tentativo di elevare a manifestazione artistica gli oggetti scolpiti o dipinti su tela.

La critica alla società dei consumi, degli hamburger, delle auto, dei fumetti si trasforma presto in merce, in un oggetto che si pone sul mercato (dell'arte) completamente calato nella logica mercantile. Ciononostante gli artisti che hanno fatto parte di questo movimento hanno avuto un ruolo rivoluzionario introducendo nella loro produzione l'uso di strumenti e mezzi non tradizionali della pittura, come il collage, la fotografia, la serigrafia, il cinema, il video. Sul piano dell'evoluzione del costume la pop art ha segnato fortemente anche i campi adiacenti all'arte come l'arredamento, la moda e il gusto estetico diffuso.          Alcuni tra gli esponenti più importanti del movimento sono Jasper Johns, Robert Rauschenberg, Claes Oldenburg, Tom Wesselmann, Roy Lichtenstein, James Rosenquist.

Anche in Italia il movimento Pop ha avuto i suoi protagonisti in Mario Schifano, Tano Festa, Giosetta Fioroni, Mimmo Rotella, Gianni Bertini, Domenico Gnoli, Piero Manzoni e altri, che hanno reinterpretato i temi ed i metodi di lavoro degli americani adattandoli alla società italiana.

L'artista che probabilmente ha influenzato la maggior parte della pop art è stato lo statunitense Warhol.


Andy Warhol nacque a Pittsburgh (Pennsylvania) il 6 agosto del 1928. Il suo vero nome è Andrew Warhola ed era figlio di immigrati slovacchi di origine rutena, mostrò subito il suo talento artistico e studiò Arte Pubblicitaria a Pittsburgh. Dopo la Laurea, ottenuta nel 1949, si trasferì a New York.

La "Grande Mela" gli offrì subito la possibilità di affermarsi nel mondo della pubblicità e di collaborare con diverse riviste.

Morì il 22 febbraio del 1987 alle 5:45 del mattino a New York nel corso di un intervento chirurgico alla cistifellea. I funerali si svolsero a Manhattan.


La sua attività artistica conta tantissime opere egli, infatti, produceva in serie le sue opere con l'ausilio dell'impianto serigrafico. Le sue opere più famose sono diventate delle icone: Marilyn Monroe, Mao Tse-Tung, Che Guevara e tante altre. La ripetizione era il suo metodo di successo: su grosse tele riproduceva moltissime volte la stessa immagine alterandone i colori (prevalentemente vivaci e forti). Prendendo immagini pubblicitarie di grandi marchi commerciali (famose le sue bottiglie di Coca Cola, le lattine di zuppa Campbell's, e i detersivi Brillo) o immagini d'impatto come incidenti stradali o sedie elettriche, riusciva a mettere a disagio il visitatore proprio per la ripetizione dell'immagine su vasta scala. La sua arte, che portava gli scaffali di un supermercato all'interno di un museo o di una mostra d'arte, era una provocazione nemmeno troppo velata: secondo uno dei più grandi esponenti della pop art l'arte doveva essere consumata come un qualsiasi altro prodotto commerciale. Warhol ha spesso ribadito che i prodotti di massa rappresentano la democrazia sociale e come tali devono essere riconosciuti: anche il più povero può bere la stessa Coca Cola che beve il Presidente degli Stati Uniti o Marilyn Monroe.

Successivamente rivisitò anche le grandi opere del passato, come L'ultima cena di Leonardo da Vinci e anche in questo caso cercò di rendere omaggio a delle opere d'arte al posto di miti televisivi.

Andy Warhol ha anche creato alcune sculture che riproponevano in tre dimensioni alcuni suoi lavori serigrafici più famosi, come ad esempio scatole di detersivo Brillo ed altri prodotti in scatola.                                                          


Usando la fotografia e una tecnica particolare di riproduzione, Andy Warhol moltiplica l'immagine di Marilyn Monroe, diva per eccellenza degli anni '60, che dipinge poi in diversi colori. L'artista non crea più opere uniche e originali, ma utilizza i sistemi della riproduzione meccanica, come un designer di oggetti industriali. L'espressione stereotipata di Marylin è quella di una famosa foto dell'attrice, il cui sorriso è divenuto una sorta di "marchio di fabbrica". Dietro a quell'immagine sembra che non ci siano più né il dolore, né la solitudine che invece porteranno Marilyn ad una fine tragica, ma solo successo, ricchezza e sensualità: i valori della società dei consumi. Inoltre la ripetizione ossessiva di una serie di immagini è anche un tentativo di far capire all'uomo che rischia di spersonalizzarsi e gli oggetti vengono riprodotti così come sono, con freddezza. Allo stesso, modo le immagini ripetute in serie denunciano il rischio della standardizzazione rispetto ai modelli vuoti del consumismo, o all'adeguamento a ritmi di vita sempre più frenetici.


LE PATOLOGIE DELLA SOCIETA' DEI CONSUMI


Il progresso nella nostra società oggi definita sempre più spesso "del consumismo" ha apportato non solo tanta innovazione e tecnologia ma anche l'insorgere di nuove patologie che vanno ricollegate direttamente a cattivi stili di vita e abitudini malsane.

La patologia più comune (anche se, comunemente, non è ancora ritenuta tale) è senza dubbio l'obesità.

L' obesità è una malattia complessa dovuta a fattori genetici, ambientali ed individuali con conseguente alterazione del bilancio energetico ed accumulo eccessivo di tessuto adiposo dell'organismo ed è tipica, se non esclusiva delle cosiddette "società del benessere"

L'insorgenza di questa malattia è di gran lunga facilitata qualora siano presenti nell'individuo delle anomalie metaboliche unite all'alta disponibilità di alimenti e al cronico sedentarismo.

Esistono poi fattori individuali che possono contribuire all'eccessiva introduzione di cibo: si tratta solitamente di comportamenti impulsivi dovuti a depressione e ansia.

Anche alcuni farmaci possono, se utilizzati a lungo, facilitare l'insorgenza dell'obesità.
In molti paesi industrializzati colpisce fino ad un terzo della popolazione adulta, con un'incidenza in aumento in età pediatrica: rappresenta quindi, senza dubbio, l'epidemia di più vaste proporzioni del terzo millennio e, al contempo, la più comune patologia cronica del mondo occidentale.

L'obesità costituisce un serio fattore di rischio per mortalità e morbilità, sia di per sé (complicanze cardiovascolari e respiratorie) sia per le patologie ad essa frequentemente associate quali diabete mellito, ipertensione arteriosa, iperlipidemia, calcolosi della colecisti, osteoartrosi.

Una dieta ipocalorica e del sano movimento fisico possono aiutare nei casi meno gravi a curare l'obesità, ma per quelli più problematici si interviene anche con terapie farmacologiche o chirurgiche.

Possibile conseguenza dell'obesità, il diabete è una malattia cronica caratterizzata dalla presenza di elevati livelli di glucosio nel sangue (iperglicemia), dovuta a un'alterata quantità o funzione dell'insulina. L'insulina è l'ormone, prodotto dal pancreas, che consente al glucosio l'ingresso nelle cellule e il suo conseguente utilizzo come fonte energetica. Quando questo meccanismo è alterato, il glucosio si accumula nel circolo sanguigno.

Spesso una dieta priva di zuccheri e un regime dietetico ricco di carboidrati, proteine e acidi grassi uniti ad una buona terapia farmacologia sono lo strumento più utile per controllare il tasso di glicemia. A tutto ciò va aggiunto una modesta assunzione di alcool e un adeguato esercizio fisico che, non solo riduce l'intolleranza al glucosio, ma diminuisce i fattori di rischio cardiovascolare.



Scarica gratis Il progresso e la societa' dei consumi - tesina
Appunti su: tesina societC3A0 dei consumi italiano, tesina progresso e societC3A0 dei consumi, tesina progresso e societC3A0, societC3A0 dei consumi tesina,



Scarica 100% gratis e , tesine, riassunti



Registrati ora

Password dimenticata?
  • Appunti superiori
  • In questa sezione troverai sunti esame, dispense, appunti universitari, esercitazioni e tesi, suddivisi per le principali facoltà.
  • Università
  • Appunti, dispense, esercitazioni, riassunti direttamente dalla tua aula Universitaria
  • all'Informatica
  • Introduzione all'Informatica, Information and Comunication Tecnology, componenti del computer, software, hardware ...

Appunti Ingegneria tecnico Ingegneria tecnico
Tesine Economia Economia