![]() |
|
| Appunti scientifiche |
|
| Visite: 2843 | Gradito: |
Leggi anche appunti:L'affascinante mondo dei frattaliL'AFFASCINANTE MONDO DEI FRATTALI LA |
![]() |
![]() |
L'AFFASCINANTE MONDO DEI FRATTALI
Per la maggior parte di questo secolo i termini matematica e scienza
hanno designato discipline troppo distanti e complesse perché potessero essere
comprese ed apprezzate dal grande pubblico. Per la maggior parte della gente la
matematica è una disiplina arida, priva di ogni contatto con il mondo reale.
Questa percezione deriva dai tempi di Euclide di Alessandria, il
matematico greco che, intorno al
La sua geometria era però un universo astratto privo di collegamenti con la realtà quotidiana: all'epoca, infatti, nessun uomo di cultura avrebbe permesso al suo intelletto compromessi con la realtà e quindi l'osservazione non ebbe mai una parte rilevante nelle teorie euclidee.
'Scienza ed arteci siamo abituati a vederle come poli opposti, ma non dipendono forse l'una dall'altra? Il pensatore, che cerca di comprendere I fenomeni naturali, nel tentativo di ridurre la complessità a poche leggi fondamentali, non è neanche il sognatore che si immerge nella ricchezza delle forme e vede se stesso come parte dell'eterno gioco degli eventi naturali?'
H.O. Peietgen, The beauty of fractals, 1986
Solo all'inizio del 1600 il filosofo francese Cartesio riportò
Euclide sulla terra. Per misurare lo spazio egli lo suddivise usando tre rette
perpendicolari tra loro intersecate (gli assi cartesiani), consentendo di
assegnare a qualsiasi oggetto esistente una posizione precisa.
In questo modo tutto l'universo poteva essere descritto come un insieme ordinato.
Questa visione è ora alla base della scienza moderna.
Prima delle sue teorie, tuttavia, lo spazio veniva percepito in termini di oggetti ed eventi, più che di misure astratte. La visione di Cartesio venne completata il secolo seguente da Isaac Newton e dal barone Gottfried von Leibniz che, separatamente, definirono i principi del calcolo differenziale.
L'idea fondamentale di Newton e Leibniz fu quella di trasformare le curve in linee rette. Leibnitz, in particolare, affermò che tutte le curve sono costituite da segmenti infinitamente piccoli (chiamati linee tangenti o derivate). Man mano che si ingrandisce una curva, questa diventa sempre più simile ad una retta. Il calcolo differenziale offre gli strumenti per individuare queste rette, le rette tangenti, che sono il nucleo di quasi tutte le scienze e le matematiche moderne. L'importanza del calcolo infinitesimale è enorme. Partendo dalla teoria della gravitazione, completata da Newton proprio dopo la definizione di questi concetti, passando per la fisica e l'economia, tutto si basa sull'assunto che vuole ogni curva composta da un numero infinito di segmenti. Esistevano però alcuni punti oscuri, e da essi si sarebbe sviluppata una delle più importanti teorie matematiche del XX secolo, la geometria frattale. Ma procediamo con ordine.
Nel XIX secolo la maggior parte dei matematici era ancora legata agli studi effettuati secoli prima da Euclide e alle teorie di Newton e Leibniz, convinta che non vi fosse più nulla da scoprire. Essi erano orgogliosi del loro dominio su tutto ciò che era strano ed irregolare; arrivarono perfino a indicare le linee curve come rette piegate.
È noto però che le certezze di un'epoca rappresentano i problemi della successiva. Già nel 1875 il matematico tedesco Carl Weierstrass descrisse una curva con caratteristiche decisamente strane, considerate addirittura patologiche e sgradevoli dai suoi colleghi in quanto mettevano in discussione i concetti di distanza, di area, di spazio e di dimensione. Altri, come il tedesco Georg Cantor e il polacco Waclaw Sierpinski, ottennero linee e figure geometriche di cui non si riusciva a calcolare la lunghezza e l'area.
Nel 1890 addirittura l'italiano Giuseppe Peano dimostrò che una curva continua priva di superficie può riempire una regione dello spazio. I matematici del tempo, non capendo bene la risposta, si augurarono che il problema non si ripetesse più. Ovviamente non fu così.
Con l'andar del tempo, le nuove forme, patologiche e sgradevoli, vennero
a creare una vera e propria 'galleria di mostri'. Gli studiosi,
infatti, abituati allo studio di forme più semplici, dovettero abituarsi ad una
nuova struttura dell'universo e, quindi, ad una nuova concezione di superficie
e di dimensione e soprattutto dovettero convenire che proprio le 'forme
patologiche' si rivelavano giorno dopo giorno sempre più inerenti alla
realtà circostante
Nel 1958 il matematico francese Benoit Mandelbrot fu assunto presso il centro ricerche Tomas J. Watson di Ibm per lavorare su un progetto che studiava i sistemi per l'eliminazione del rumore che disturbava le trasmissioni digitali. Quando esaminò questo rumore, Mandelbrot scoprì che possedeva una struttura intricata per mezzo della quale la tecnologia in corso di sviluppo non sarebbe riuscita a tenere sotto controllo il problema. Si rese conto che era semplicemente impossibile controllarlo o prevederlo. Si trattava infatti di caos.
La rapidità con cui Mandelbrot diede una risposta al problema del rumore non derivò però da una sua profonda conoscenza della tecnologia delle telecomiuncazioni, che lui tra l'altro non conosceva. Egli riuscì perché questo problema presentava notevoli analogie con il prezzo del cotone. Dai primi anni Cinquanta, Mandelbrot si era dedicato allo studio dei prezzi dei beni di consumo, in particolare quello del cotone, sul quale erano disponibili dati affidabili riferiti a secoli di commercio. Nei suoi studi osservò che il costo del cotone si comporta con uno strano tipo di ricorsività: le sue variazioni infatti sono molto simili sia che siano riferite ad anni sia che siano riferite a mesi o a decenni. In pratica se si ingrandisce un grafico relativo all'andamento del prezzo del cotone nel tempo ogni parte ha all'incirca il medesimo andamento dell'intero. Mandelbrot chiamò questa somiglianza INVARIANZA DI SCALA. Dopo aver rilevato tale comportamento, Mandelbrot iniziò a comprenderlo anche da un punto di vista matematico, ma non riusciva a convincere nessuno della validità delle sue teorie. Le sue equazioni erano troppo astratte e le sue conclusioni troppo scomode. Negli ottimisti anni Cinquanta chi poteva desiderare una teoria che sosteneva che le cose erano complesse, incontrollabili e caotiche? Fu così che per oltre un decennio le bizzarre idee di Mandelbrot rimasero solo una sua personale ossessione.
Nel 1968, però, le cose cambiarono. Mandelbrot aveva cominciato a studiare gli schemi ricorrenti nelle fluttuazioni del livello del Nilo, citate anche dalla Bibbia. Insieme ad un idrologo ne rilevò tutti i livelli e, terminati i suoi studi, li riunì in una serie di grafici. In più, usando le sue formule produsse degli altri grafici, falsi, che mostravano un comportamento simile a quello dei grafici reali. Quando li mostrò ad un gruppo di eminenti idrologi, nessuno fu in grado di distinguere i grafici veri da quelli falsi.
Il realismo dei grafici di Mandelbrot dimostrò che si stava avvicinando a qualcosa di veramente potente per descrivere la natura così come è in realta e non così come è rappresentata nella mente dei matematici. Confortato da questi successi, egli continuò a produrre falsi grafici raffiguranti altri fenomeni caotici: prezzi del mercato azionario e dei beni, montagne e linee costiere. In tutti gli esperimenti, le caratteristiche visive delle sue immagini erano affascinanti. Come ebbe egli stesso modo di dire:
'prima la gente sfuggiva ai miei scritti, poi nessuno poté sfuggire ai miei grafici'.
COS'E' UN FRATTALE?
'..Perchè la geometria viene spesso definita fredda e arida? Uno dei motivi è la sua
incapacità di descrivere la forma di una nuvola, di una montagna, di una linea costiera, di
un albero. Osservando la natura vediamo che le montagne non sono dei coni, le nuvole
non sono delle sfere, le coste non sono cerchi, ma sono degli oggetti geometricamente
molto complessi.'
Benoit Mandelbrot
La definizione più semplice e intuitiva lo descrive come una figura geometrica in cui un
motivo identico si ripete su scala continuamente ridotta. Questo significa che
ingrandendo la figura si otterranno forme ricorrenti e ad ogni ingrandimento essa rivelerà
nuovi dettagli. Contrariamente a qualsiasi altra figura geometrica un frattale invece di
perdere dettaglio quando è ingrandito, si arricchisce di nuovi particolari.
Le 'strutture patologiche' ideate dai matematici dell'Ottocento hanno assunto negli ultimi
anni la forma di frattali, figure matematiche dotate di dimensioni frazionarie e non intere,
come invece accade per le figure della geometria Euclide.
Il termine frattale, è stato coniato da Benoit Mandelbrot ,nel 1975, cercando per l'appunto un
nome che potesse descrivere i suoi oggetti, sfogliando il vocabolario di latino del figlio, è
stato tratto dal latino fractus, frangere, cioè 'rompere', poichè la dimensione di un
frattale non è intera.
Fu nel 1983 che il concetto di frattale acquisì vastissima notorietà presso i matematici, gli
scienziati e il pubblico non specializzato, con la pubblicazione dell'opera pionieristica
The Fractal Geometry of Nature dello stesso matematico Mandelbrot.
Per essere riconosciuto come tale, un frattale deve però possedere alcune caratteristiche fondamentali, ovvero:
"La frattalità è un modo d'immaginare la forma del cosmo e la forma del fiume, dell'infinito e del finito"
Susan Condé
AUTOSIMILARITA'

Due figure si dicono simili se hanno la stessa forma. Questo non vuol dire che basta una
vaga somiglianza se siamo sotto il dominio della matematica, simile è un termine univoco.
Ad esempio, due poligoni sono simili se e solo se hanno gli angoli uguali e i lati in
proporzione. I frattali, rispetto alle figure della geometria classica, hanno la caratteristica peculiare che, se ne ingrandiamo anche una piccola parte, riproduciamo in scala la stessa figura di partenza, oppure ritroviamo, in scala, caratteristiche strutturali simili. La struttura che osserviamo in scala normale viene ripetuta infinite volte all'interno della scala più piccola, e la possiamo ritrovare qualsiasi sia la potenza della lente d'ingrandimento che usiamo.
LE CLASSICHE MISURE EUCLIDEE SONO INADEGUATE A
DESCRIVERE UN FRATTALE.
PERIMETRO
ILLIMITATO
".e mi sovvien l'eterno."
G. Leopardi
Il perimetro di molti frattali può tendere a infinito, mentre l'area resta finita
Considerazioni sul calcolo del perimetro:
Il terzo assioma della distanza ci assicura che, dati nel piano tre punti, A, B e C, AB ≤ AC + BC;
il segno di uguaglianza vale se e soltanto se A, B e C sono allineati e C è compreso fra A e B.

AB = AC + BC AB < AC + BC (disuguaglianza triangolare)
Nel caso di un frattale, ad ogni passo, ogni singolo segmento che lo compone subisce
una riduzione, d'altra parte il numero di segmenti aumenta: sostituiamo come minimo
due segmenti ad ognuno dei precedenti, e dunque la lunghezza complessiva, per
l'assioma della distanza, aumenta.
Il processo di costruzione di un frattale si ripete all'infinito, dunque il perimetro di una
frattale tende ad infinito:

Inizio: 1 segmento di 27 quadretti Primo passo: 5 segmenti di 9 quadretti Secondo passo: 25 segmenti di 3 quadretti
Mediante la legge di formazione del frattale possiamo prevedere quanto sarà il perimetro al passo successivo, e comunque è facile intuire che, al tendere dei passi ad infinito, anche il perimetro tende ad infinito. di 9
Anche nella realtà il concetto di lunghezza presenta dei limiti quando vogliamo misurare
una linea estremamente irregolare.
Mandelbrot si era posto il problema con la sua famosa domanda: 'Quanto è lunga la costa della Bretagna?'
Se si segue il contorno della costa si vede che esso è molto frastagliato. Se cerchiamo di essere sempre più precisi , visto che ad ogni passo troviamo sempre le stesse irregolarità, vediamo che la misura non converge verso un ben definito valore ma anzi, aumenta (anche se, in questo caso, non possiamo prevedere di quanto!).
La lunghezza di un tratto di costa non potrà essere infinita, perché non potremo dividere
indefinitamente i tratti da misurare, ma l'andamento delle successive misurazioni ricorda
quello del calcolo del perimetro di un frattale nei successivi passi. In effetti l'affermazione
di Mandelbrot voleva mettere in evidenza la natura dei frattali riferendosi all'immagine
familiare di una costa frastagliata.
NULLO
Alcuni frattali, come ad esempio la polvere di Cantor, possono avere perimetro nullo in
quanto, all'infinito, si riducono a punti isolati.
L'insieme di Cantor
Lo scopo di Cantor nel proporre questo strano insieme era di dimostrare che si può avere un insieme con un numero infinito non numerabile di punti ma di lunghezza nulla.
Prendiamo come figura di partenza un segmento: poniamo per comodità la lunghezza = 1;
Eliminiamo dal segmento la terza parte centrale: otteniamo 2 segmenti di
lunghezza = 1/3;
Ripetiamo il procedimento su ognuno dei 2 segmenti che si sono così formati:
otteniamo 4 segmenti di lunghezza = 1/9;
Ripetiamo il procedimento su ognuno dei 4 segmenti che si sono così formati:
otteniamo 8 segmenti di lunghezza = 1/27;
Osserviamo che ogni volta il numero di segmenti si raddoppia, mentre la lunghezza di ciascuno di essi diventa 1/3 della precedente. E' quindi facile dedurre che al passo k:
. la misura di un lato è 3-k [ricordo che 3-k = (1/3)k];
. il numero di segmenti è 2k.
Un importante assioma della geometria ci assicura che è possibile dividere un segmento in un qualsiasi numero di parti uguali il procedimento sopra descritto potrà essere ripetuto senza limite. Come figura limite si ottiene l'insieme di Cantor, un frattale.
La lunghezza della figura diventa ogni volta i 2/3 della precedente,
infatti ogni volta eliminiamo la terza parte centrale di ognuno dei segmenti.
Al crescere del numero dei passi la lunghezza complessiva della curva diventa

AREA
FINITA
Il contorno dei frattali, pur avendo lunghezza infinita, è racchiuso in un'area limitata.

Un esempio di tale caratteristica è dato dal cosiddetto fiocco di neve di von Koch.
Per la costruzione riportiamo ora le parole del matematico svedese:
"Dato un segmento di lunghezza unitaria, lo si divida in tre parti e si sostituisca quella centrale con due segmenti uguali a quello eliminato. Otteniamo quattro segmenti: su ognuno di essi si applichi lo stesso procedimento all'infinito".
Se si applica il procedimento sopra descritto invece che ad un segmento ai lati di un triangolo equilatero di lunghezza unitaria, si ottiene il cosiddetto "fiocco di neve di Von Koch"
Con apposite dimostrazioni geometriche, risulta evidente che il perimetro della figura diventa ogni volta i 4/3 del precedente e quindi tende a diventare infinito quando il procedimento si ripete all'infinito.
Calcolare l'area è più complicato. Si può
comunque osservare, attraverso considerazioni geometriche, che essa è finita;
si dimostra poi che essa, per un triangolo di lato a, vale ![]()
.
NULLA
Altre volte l'area può essere addirittura nulla, come nel caso del triangolo di Sierpinski.
"Dato un triangolo equilatero pieno, lo si divida in 4 triangoli equilateri e si rimuova il triangolo centrale rivolto verso il basso. Rimangono 3 triangoli: ad ognuno di essi si applichi lo stesso procedimento all'infinito"

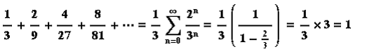
È facile dimostrare che l'area dei triangoli
rimasti tende a zero, infatti ad ogni iterazione è ¾ di quella del passaggio
precedente. Quando il numero di iterazioni n tende a ∞, infatti,
l'area totale tende a:
.
DIMENSIONE NON INTERA
"..delle grandezze, quella che ha una dimensione è linea, quella che ne ha due è superficie, quella che ne ha tre è corpo, e al di fuori di queste non si hanno altre grandezze..".
Aristotele
La nozione di insieme frattale è strettamente legata al concetto di
'dimensione' di un insieme. Consideriamo alcuni oggetti geometrici
familiari: una retta, una circonferenza, un piano, la superficie di una sfera,
un cubo ecc. A ciascuno di questi insiemi siamo in grado di associare la sua
'dimensione': la retta e la circonferenza hanno dimensione 1, mentre
il piano e la superficie della sfera hanno dimensione due; il cubo, in quanto
oggetto 'pieno', ha dimensione tre e, per contro, il punto ha
dimensione zero. In tutti questi casi la dimensione è un numero intero.
Esistono insiemi di dimensione non intera? La risposta è si, ovvero si possono
definire, non disegnare, degli insiemi che hanno una struttura geometrica così
complicata e lontana dalla semplicità degli insiemi considerati prima, da non
permettere di attribuire loro una dimensione 'intera'.
Nasce così il problema di estendere la nozione di dimensione di un insieme, in
modo da prevedere, ad esempio, l'esistenza di insiemi di dimensione 3/2. Questo
problema è stato affrontato e risolto da grandi matematici, ed esiste ora una
definizione di dimensione, per la verità non semplicissima, che contempla l'esistenza
di insiemi che abbiano per dimensione un qualunque numero reale positivo. I
frattali sono appunto esempi di insiemi di dimensione non intera.
STRUTTURA COMPLESSA A TUTTE LE SCALE DI RIPRODUZIONE
"I sistemi più semplici creano problemi di prevedibilità estremamente difficili in quei sistemi si produce spontaneo l'ordine: disordine e ordine assieme."
James Gleick
Molti oggetti frattali hanno infiniti dettagli. Dall'animazione si può vedere che la complessità dell'insieme di Mandelbrot non accenna a diminuire, anche se lo ingrandiamo quanto vogliamo. Visto che presenta questa caratteristica, si dice che un frattale è dotato di struttura complessa a tutte le scale di riproduzione.
I frattali autosimili godono sicuramente di questa proprietà, mentre non è vero il contrario.

Tuttavia, uno degli insieme più affascinanti dell'intera geometria frattale è proprio l'insieme di Mandelbrot generato dalla formula :
![]()
In generale comunque la ricorrenza dei frattali è visibile anche in natura come ad esempio in un cavolfiore o in una felce. Alcune delle immagini frattali sono davvero sorprendenti:


![]() |
| Appunti su: https:wwwappuntimaniacomscientifichematematicalaffascinante-mondo-dei-fratta64php, appunti teoria dei frattali, |
|
| Appunti Geografia | ![]() |
| Tesine Statistica | ![]() |
| Lezioni Fisica | ![]() |