![]() |
|
| Appunti scientifiche |
|
| Visite: 1494 | Gradito: |
Leggi anche appunti:La Sezione Aurea - Tra Matematica, Arte e NaturaLa Sezione Aurea Tra Matematica, Arte e Natura A coloro Validazione AlgoritmoValidazione Algoritmo 1 Implementazione software Tra i vari problemi affrontati ProspettiveProspettive La rappresentazione prospettica vera e propria, se trova largo |
![]() |
![]() |
Per la risoluzione di un'equazione algebrica, vale la regola generale, nota come principio di equivalenza, secondo la quale applicando le stesse operazioni aritmetiche o algebriche a entrambi i membri di un'equazione, l'uguaglianza rimane invariata. Per risolvere un'equazione, l'uso è di isolare l'incognita in uno dei due membri, in modo che la soluzione sia data dall'espressione dell'altro membro. Ad esempio, per risolvere l'equazione lineare
![]()
i termini variabili vengono isolati a sinistra dell'uguale, e dalla parte opposta vengono scritti quelli costanti. Per spostare il termine 3*x da una parte all'altra dell'uguale, lo si 'sottrae' dall'uno e dall'altro membro, come è mostrato qui sotto:
![]()
Anche il numero 6 si può sottrarre a entrambi i membri:
![]()
Per isolare la x al primo membro è conveniente dividere entrambi i membri per 2:
![]()
Ora è evidente quale sia la soluzione dell'equazione, ossia x = 3. È possibile verificare facilmente la correttezza del risultato sostituendo il valore ottenuto nell'equazione originaria:

Data la generica equazione quadratica (di secondo grado)
![]()
sono possibili vari approcci risolutivi, a seconda della struttura dell'equazione stessa. Nel caso questa possa essere fattorizzata, la soluzione è quasi immediata. Ad esempio si consideri:
![]()
Dopo aver scritto l'equazione in forma standard
![]()
si osserva facilmente che risulta scomponibile in fattori secondo quanto segue:
![]()
L'equazione scritta qui sopra è verificata solo quando uno dei due singoli fattori è uguale a zero, ovvero quando si ha x = 5 o x = - 2. Per sostituzione nell'equazione assegnata, si può verificare che i due numeri 5 e 2 sono effettivamente le soluzioni cercate.
Nel caso in cui non sia semplice riconoscere alcun metodo immediato di fattorizzazione, è necessario ricorrere ad altre tecniche di risoluzione. Ad esempio, nell'equazione
![]()
l'espressione 4x2 + 12x potrebbe essere fattorizzata in forma di un quadrato perfetto se fosse completata nel seguente modo: 4x2 + 12x + 9, pari a (2x + 3)2. Dunque, per ottenere la fattorizzazione cercata, si aggiunge un 9 al primo e al secondo membro:
![]()
e si scrive
![]()
che equivale alle due equazioni di primo grado
![]()
e
![]()
La prima equazione porta alla soluzione x = y. Infatti: 2x + 3 = 4 è equivalente all'equazione 2x = 1 (sottraendo 3 da entrambe le parti), da cui si ottiene x = y. La seconda equazione ha come soluzione x = - 7/2. Come nel caso precedente, è possibile verificare che i valori trovati sono effettivamente le soluzioni cercate, sostituendoli nell'equazione data.
Qualunque equazione di secondo grado della forma
![]()
può essere risolta mediante la formula quadratica:
![]()
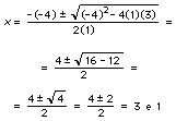
Ad esempio, per determinare le radici di
![]()
dapprima si riscrive l'equazione in forma standard,
![]()
da cui si legge chiaramente a = 1, b = -4 e c = 3; quindi si sostituiscono questi valori nella formula quadratica

![]() |
| Appunti su: |
|
| Appunti Statistica | ![]() |
| Tesine Fisica | ![]() |
| Lezioni Contabilita | ![]() |