![]() |
|
| Appunti scientifiche |
|
| Visite: 2398 | Gradito: |
Leggi anche appunti:La Sezione Aurea - Tra Matematica, Arte e NaturaLa Sezione Aurea Tra Matematica, Arte e Natura A coloro Estremo superiore e inferiore di un insieme numericoESTREMO SUPERIORE E INFERIORE DI UN INSIEME NUMERICO Definizione L'affascinante mondo dei frattaliL'AFFASCINANTE MONDO DEI FRATTALI LA |
![]() |
![]() |
La Sezione Aurea
Tra Matematica, Arte e Natura
A coloro che hanno condiviso con me questa meravigliosa esperienza.
.grazie!!
". tra tutti i popoli, nessuno ha sognato meglio dei greci il sogno dell'esistenza."
J. W. von Goethe
Spesso accade che le suggestioni di massa e le illusioni ci trascinino nei loro vortici, sviluppando in noi la voglia di conoscere, di spingerci oltre la linea dell'ignoto e di sfidare fenomeni che crediamo giganteschi rispetto a noi.
La tanto reiterata quanto involontaria presenza in natura e nelle opere umane di proporzioni, dimensioni e rapporti, ha fatto in modo che in quasi tremila anni l'uomo abbia maturato l'ennesima illusione, la più precisa. Essa prende il nome di "sezione aurea", nonostante la storia della matematica l'abbia conosciuta sotto diverse identità e sembianze.
Sin dai tempi più antichi, dagli egiziani ai più moderni frattali, questa proporzione divina (o sezione aurea) è stata presa in considerazione per ottenere una dimensione armonica delle cose. Dalla geometria all'architettura, dalla pittura alla natura del creato possiamo osservare come tale rappresentazione corrisponda ad un rapporto che è stato definito pari a 1,61803 39887 49894 84820 45868 34365 63811. (numero d'oro)
In matematica infatti, che non è solo formule e calcoli, esiste un piccolo gruppo di numeri particolari che ricorrono spesso, attirando la nostra attenzione e risvegliando la nostra curiosità. Il più noto di questi è il pi greco (π) pari al rapporto tra la circonferenza e il diametro di un cerchio qualsiasi. Meno noto di pi greco è Φ (phi), un numero per molti versi ancora più misterioso. Questo numero, che prende il nome dall' iniziale del nome del grande scultore Fidia, può sembrare strano, ma è condiviso in varie realtà disparate ed è definito con parole che alludono all'oro, al nobile, al prezioso: «numero aureo», «rapporto aureo» e «sezione aurea».
La prima chiara definizione del rapporto che sarebbe stato chiamato «aureo» fu formulata dal fondatore della geometria: Euclide.
Egli visse ad Alessandria ed è l'autore del più celebre trattato di storia della matematica, gli Elementi (Stoichia). L'opera, che cerca di compendiare gran parte delle conoscenze matematiche del suo tempo, nomina e definisce più volte il rapporto aureo. La definizione di Euclide (nel Libro VI) di «proporzione estrema e media» consiste in questo: che il rapporto (segmento maggiore)/(segmento minore) è uguale al rapporto (intera linea)/(segmento maggiore):
Figura
1
Avremo quindi: AC/CB=AB/AC
Chi avrebbe immaginato che questa sezione dall'aspetto innocuo, definita da Euclide a fini esclusivamente geometrici, avrebbe avuto conseguenze in rami dello scibile che vanno dallo studio degli ammassi di galassie in astronomia, alla matematica pura fino alla critica d'arte?
Le ragione dell'interesse dei greci per il rapporto aureo sono diverse, ma esso non avrebbe raggiunto il prestigio e l'aura quasi mistica da cui infine è stato circondato senza l'aiuto di alcune ulteriori proprietà algebriche. Ma per comprendere tali proprietà, è necessario determinare il preciso valore di Φ.
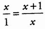
Per fare ciò torniamo alla Figura 1 della sezione aurea; niente ci vieta di scegliere per unità di misura della lunghezza il segmento più breve, CB. La lunghezza del segmento maggiore, AC, sarà quindi x volte CB, dove x è un fattore sconosciuto. Dire che la nostra linea è divisa secondo la proporzione estrema e media equivale, per definizione, ad affermare che x sta a 1 come x+1 (la lunghezza di AB) sta a x. È facile risolvere rispetto a x la seguente uguaglianza:

Svolgendo la proporzione diventa:

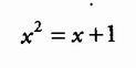
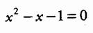
e spostando il secondo membro a sinistra, si ottiene la semplice equazione di secondo grado:
![]()
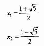
Le due soluzioni del rapporto aureo sono:

La soluzione positiva, x1 = (1 + √ 5) / 2, fornisce il valore del rapporto aureo:
E' facile, a questo punto, constatare che Φ è irrazionale, essendo semplicemente la metà della somma di 1 e della radice quadrata di 5. Prima ancora di procedere, potete convincervi del fatto che questo numero ha davvero delle proprietà singolari utilizzando una semplice calcolatrice tascabile. Digitate 1,6180339887 e premete il tasto per elevare al quadrato (x2). Non notate niente di singolare? Ora digitate la stessa sequenza di cifre, e premete il pulsante della divisione (1/x). Curioso, vero? Il quadrato di 1,6180339887 è 2,6180339887, mentre il suo reciproco (1/1,6180339887) è 0,6180339887 Le cifre dopo il punto decimale sono esattamente le stesse! Il rapporto aureo, ed esso solo, ha la caratteristica di avere un quadrato uguale a se stesso più uno, e un reciproco uguale a se stesso meno uno. Per inciso, la soluzione negativa dell'equazione x2 = (1 - √5) / 2 è pari al negativo di 1/Φ.
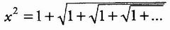
La matematica, e il rapporto aureo in particolare, sono ricchi di «belle sorprese», ad esempio: si immagini di tentare di determinare il valore della seguente, inconsueta espressione consistente in radici quadrate che si succedono indefinitamente:

Possiamo sperare di calcolare il valore di un'espressione simile? Un modo piuttosto goffo di avvicinarsi al suo valore potrebbe consistere nel calcolare √(1 + √1) cioè √2, cioè 1,414; quindi calcolare √(1 + √(1 + √1) cioè 1,554, sperando che la serie di valori «converga» (cioè si avvicini progressivamente) a qualche numero. Ma c'è un altro modo, più elegante, di trovare il valore della nostra espressione. Sia x il valore che stiamo cercando. Possiamo scrivere:
![]()
Ora eleviamo al quadrato entrambi i membri dell'equazione. Il quadrato di x è x2, mentre il quadrato del membro di destra si ottiene eliminando il segno di radice più a sinistra. Possiamo quindi scrivere:
![]()
Si noti però che il secondo addendo del membro di destra è uguale al nostro x originario. Perciò: x2 = 1 + x. Ma questa è l'equazione del rapporto aureo! Quindi, la nostra espressione senza fine è uguale a Φ. Occupiamoci ora di un tipo molto diverse di espressioni senza fine, questa volta basato sulle frazioni invece che sulle radici quadrate:

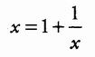
Si tratta di un caso particolare di un tipo di entità matematiche note come «frazioni continue», di uso piuttosto frequente nella teoria dei numeri. Come calcolare il valore della suddetta frazione continua? Come in precedenza, potremmo interrompere il calcolo dopo un numero abbastanza alto di iterazioni, sperando di trovare il valore verso il quale la frazione continua converge. Ma potremmo ispirarci per analogia anche al secondo metodo. In questo caso, il passo iniziale consisterebbe nell'indicare con x il valore della frazione, scrivendo:

Si noti che siccome la frazione continua è illimitata, il denominatore del membro di destra dell'equazione è uguale a x stesso. L'equazione può quindi essere scritta:

Moltiplicando ambo i membri per x, otteniamo x2 = x + 1, cioè, ancora una volta, la formula del rapporto aureo! Quindi, anche questa notevole frazione continua è uguale a Φ.
Poichè la frazione continua corrispondente al rapporto aureo non contiene numeri al di fuori di 1, converge molto lentamente. In un certo senso il rapporto aureo «resiste» alla propria espressione sotto forma di frazione più di qualunque altro numero irrazionale, e, da questo punto di vista, deve essere considerato «il più irrazionale» degli irrazionali.
Se ancora non vi impressiona che tutte le circostanze matematiche descritte siano riconducibili a Φ, fate la seguente prova: scegliete due numeri qualunque e scriveteli uno dopo l'altro. Ricavate un terzo numero semplicemente sommando i primi due; poi un quarto numero, sommando il secondo e il terzo; un quinto, sommando il terzo e il quarto; un sesto, sommando il quarto e il quinto; e così via fino a ottenere una serie di venti numeri. Per esempio, se i primi due numeri sono 2 e 5, otterreste la serie 2, 5, 7, 12, 19, 31, 50, 81, 131 Ora, usate la calcolatrice per dividere il ventesimo numero per il diciannovesimo. Il risultato è il rapporto aureo.

Il primo ad aver studiato queste successioni chiamate ricorsive fu Leonardo da Pisa, meglio noto come Fibonacci. Egli, che per qualche tempo soggiornò insieme a suo padre, un funzionario delle dogane, nella città araba di Bugia (nell'odierna Algeria), visitò in seguito altri paesi del Mediterraneo, ed ebbe la possibilità di studiare e confrontare diversi sistemi di numerazione e di esecuzione delle operazioni aritmetiche. Giunto alla conclusione che le cifre indo-arabe, basate sul principio del valore dipendente dalla posizione nel numero, erano largamente superiori a tutti gli altri metodi, Fibonacci dedicò i primi sette capitoli del suo libro, Liber abaci, alla spiegazione della notazione indo-araba e ai vari usi pratici dei quali era suscettibile. Il ruolo di Fibonacci nella storia del rapporto aureo è davvero affascinante. La successione 1, 1, 2, 3, 5, 8, 13, 21, 34, 55, 89, 144. in cui ciascun termine è uguale alla somma dei due termini precedenti è stata giustamente chiamata «di Fibonacci», nel XIX secolo, dal matematico francese Edouard Lucas (1842 - 1891). Ed ora rivolgiamo l'attenzione ai rapporti degli elementi contigui:
13/8 = 1,625000 144/89 = 1,617978
21/13 = 1,615385 233/144 = 1,618056
34/21 = 1,619048 377/233 = 1,618026
55/34 = 1,617647 610/377 = 1,618037
89/55 = 1,618182 987/610 = 1,618033
Riconoscete l'ultimo rapporto? Procedendo lungo la successione di Fibonacci, il rapporto tra un termine e il suo precedente oscilla intorno a un numero al quale si avvicina sempre di più;e quel numero è il rapporto aureo. Se indichiamo con Fn l'nesimo numero di Fibonacci e con Fn-1 il termine precedente scopriamo che per n che tende all'infinito, il rapporto dei due numeri tende al numero algebrico irrazionale chiamato Φ.

Viste queste misteriose e affascinanti caratteristiche dei termini della successione di Fibonacci, non stupisce che i matematici fossero ansiosi di trovare una formula maneggevole per calcolare, per qualunque valore di n, l'nesimo numero di Fibonacci, Fn. La formula fu trovata dal matematico francese Phillipe Marie Binet (1786 - 1856) a metà del XIX secolo. La formula di Binet si basa interamente sul rapporto aureo:

Di primo impatto, è una formula davvero sconcertante, non essendo evidente nemmeno che per qualunque valore di n essa abbia sempre per risultato un intero. Poiché già sappiamo che tutti i numeri di Fibonacci sono strettamente legati al rapporto aureo, ci sarà subito di conforto constatare che il primo termine della parentesi quadra non è altro che il rapporto aureo elevato alla ennesima potenza, o fn, mentre il secondo corrisponde a (-1/f)n. Con una semplice calcolatrice scientifica, si può constatare per alcuni valori di n a vostro piacimento che la formula di Binet dà effettivamente l'ennesimo termine della successione di Fibonacci.
Prima di passare alle proprietà geometriche proviamo a vedere come si costruisce un segmento aureo.
Figura
2

Dato il segmento AB, dividerlo in due parti uguali con il punto M. Dall'estremità B tracciare la perpendicolare al segmento fino al ottenere CB = MB. Dal punto C, tracciare con il compasso un semicerchio fino ad incontrare in D il segmento AC. Puntando infine il compasso in A con raggio AD, si ottiene il punto E che divide il segmento in due parte con proporzione aurea (AE/EB = 1,618).
Esiste un nesso tra la proporzione aurea e il pentagono?
In ogni figura piana regolare la somma di tutti gli angoli in terniè uguale a 180°×(n - 2) dove n è il numero di lati. Per esempio, in un triangolo n=3 e la somma degli angoli è 180°. In un pentagono n=5, e la somma degli angoli è 540°. Immaginiamo ora di tracciare nel pentagono due diagonali adiacenti, ricavando tre triangoli isosceli. Siccome in un triangolo isoscele i due angoli adiacenti alla base hanno la stessa ampiezza, gli angoli alla base dei due triangoli laterali sono uguali a metà di (180° - 108°), cioè a 36°. Pertanto, otteniamo per gli angoli del triangolo centrale i valori di 36°, 72° e 72°. Bisecando uno dei due angoli di 72°, otteniamo un triangolo più piccolo DBC con gli stessi angoli del triangolo maggiore ADB. Con l'aiuto di un po' di geometria elementare, si può dimostrare che in accordo con la definizione di Euclide, il punto C divide la linea AB esattamente
secondo il rapporto aureo. Inoltre, il rapporto di AD con DB è uguale al rapporto aureo. In altre parole, in un pentagono regolare il rapporto tra la diagonale e il lato è pari a Φ. Questo dimostra che la capacità di costruire una linea divisa secondo il rapporto aureo costituisce nello stesso tempo un semplice sistema per la costruzione di un pentagono regolare. Era questa la principale ragione dell'interesse dei greci per il rapporto aureo. Il triangolo al centro, con un rapporto del lato con la base pari a Φ, è noto come «triangolo aureo», mentre i due triangoli laterali,con un rapporto del lato con la base pari a 1/Φ, sono talvolta chiamati «gnomoni aurei». Una singolare proprietà del triangolo aureo e degli gnomoni aurei è che entrambi possono essere scomposti in triangoli più piccoli, che sono a loro volta triangoli aurei e gnomoni aurei.
Rivolgiamo ora la nostra attenzione al rettangolo aureo della Figura 3.
Figura 3

Immaginiamo di «sottrarre» da questo rettangolo un quadrato di lato uguale al lato minore. Il risultato sarà un piccolo rettangolo, che è a sua volta un rettangolo aureo. Le dimensioni del rettangolo «figlio» sono minori di quelle del rettangolo «genitore» di un fattore pari a Φ. Togliendo un quadrato dal rettangolo «figlio» con lo stesso procedimento, otteniamo un terzo rettangolo aureo di nuovo rimpicciolito di un fattore pari a Φ. Proseguendo si genera una serie di rettangoli aurei sempre più piccoli, di dimensioni ridotte, ogni volta, di un fattore uguale a Φ. Esaminando ciascun rettangolo con una lente di ingrandimento, che elimina la differenza di grandezza, si constata che sono identici. Quello aureo e l'unico rettangolo che consente, togliendo un quadrato dalla sua area, di ottenere un rettangolo simile al primo. Tracciando due diagonali che si intersecano in ciascuna coppia di rettangoli, «genitore» e «figlio», si trova che tutte le diagonali passano per un punto. Si può dire che una serie geometrica di rettangoli aurei sempre più piccoli «converga» intorno a quel punto senza mai raggiungerlo. Ispirandosi alle proprietà «divine» attribuite al rapporto aureo, il matematico Clifford A. Pickover ha suggerito di chiamare tale punto «l'occhio di Dio».
Ora, se si congiungono i punti in cui questo «vortice di quadrati» divide i lati secondo il rapporto aureo, si ottiene una spirale logaritmica che si sviluppa intorno al polo.

La magia dei numeri di Fibonacci e del loro rapporto aureo non si limita a "infiltrarsi" nella natura della Terra, ma va ben oltre il nostro mondo. La spirale logaritmica, costruita secondo questa successione di numeri, è riscontrabile nell' Universo e dona la forma a certi tipi di galassie.
La galassia è un sistema legato gravitazionalmente costituito da stelle, gas interstellare e polveri cosmiche; esse generalmente si dividono in tre tipi principali: ellittiche (indicate con la lettera E nello schema di Hubble), spirali (S) e irregolari (non presenti nello schema).

Sono proprio le galassie a spirale a essere caratterizzate dalla forma a spirale logaritmica. Queste hanno la forma di un disco, con un nucleo globulare (bulge) e alcuni bracci a spirale che si avvolgono attorno ad esso. Il tutto e' in rotazione attorno all'asse con una velocità angolare che varia dal centro alla periferia.
Le galassie a spirali sono piuttosto numerose, hanno masse comprese tra 1 e 100 miliardi di volte quella del Sole e diametri tra i 70.000 e i 100.000 anni luce in media.
Il contenuto di queste galassie e' piuttosto disomogeneo: la densità della materia aumenta dalla periferia verso il centro. Di questo tipo di galassia fanno parte anche le spirali barrate, che si indicano con la notazione SB seguita dalle lettere a, b o c. Esse sono identiche alle precedenti, salvo per il fatto che le braccia partono dalle estremità di una barra di stelle e gas che attraversa diametralmente il bulge, anzichè direttamente da questo. Le SB rappresentano circa il 30 % del totale delle spirali. La nostra Galassia e' una spirale di tipo SBb nella classificazione di Hubble e prende il nome di «Via Lattea».
Come galassia, la Via Lattea è una gigante, con una massa compresa tra 750 e 1.000 miliardi di masse solari ed un diametro di circa 100.000 anni luce. Essa appartiene al Gruppo Locale, ossia un piccolo gruppo di 3 grandi ed oltre 30 piccole galassie, nel quale occupa la seconda posizione per dimensioni ma la prima per massa. La sua struttura è caratterizzata da un bulge attraversato da una struttura simile ad una barra, circondato da gas e polveri: da questa partono quattro strutture a spirale orientate secondo lo schema delle spirali logaritmiche.
Il Sistema Solare si trova nei pressi del bordo interno del braccio di Orione, a circa 8.000 parsec dal centro della Via Lattea, impiegando circa 225-250 milioni di anni per completare un'orbita attorno alla Galassia.
Ed ora cambiamo ambito. Passiamo ad una disciplina dove la sezione aurea fa da padrona in tutte le sue manifestazioni: Arte.
Uno dei più decisi fautori dell'applicazioni del rapporto aureo all'arte e all'architettura fu il celebre architetto e pittore svizzero-francese Le Corbusier (Charles-Èdouard Jeanneret).
Jeanneret nacque a La Chaux-de-Fonds, in Svizzera, dove studiò arte e tecnica dell'incisione. Nel 1905 iniziò gli studi di architettura intraprendendo un cammino che avrebbe fatto di lui una delle più influenti personalità della architettura moderna. All'inizio Le Corbusier aveva espresso idee piuttosto scettiche, per non dire negative, sull'applicazione del rapporto aureo all'arte, invitando a non limitarsi a «sostituire la sezione aurea alla mistica della sensibilità». Ed in effetti l'artista non utilizzò mai la divina proporzione. Questa situazione cambiò in modo drammatico dopo la pubblicazione libro di Matila Ghyka, che accentuò ulteriormente l'interpretazione mistica di Φ da parte dell'autore. Ma la viva curiosità di Le Corbusier per l'Esthètique e il rapporto aureo rimanda ad almeno due suoi interessi precedenti: quello per le strutture sottostanti agli oggetti naturali, da un lato; e dall'altro, poiché proveniva da una famiglia che incoraggiava allo studio e alla pratica della musica, la coscienza dell'importanza cruciale dei rapporti numerici per almeno una forma di armonia, quella acustica. La ricerca di Le Corbusier di una proporzione standardizzata culminò nell'introduzione di un nuovo sistema proporzionale chiamato «Modulor». Si presumeva che il Modulor fornisse alla scala umana una misura di armonia, universalmente applicabile all'architettura e alla meccanica.

Un uomo alto circa 183 cm, vagamente simile al pubblicitario omino Michelin e con un braccio alzato (a un'altezza di 226 cm) era inserito in un quadrato. Il rapporto tra la statura dell'uomo e la distanza dall'ombelico al suolo (113 cm) è esattamente pari a Φ. Anche l'altezza totale (dai piedi all'estremità del braccio alzato) era divisa secondo il rapporto aureo (140 e 86 cm) a livello del polso dell'altro braccio, che pendeva liberamente verso il basso. I due rapporti (113/70 e 140/86) erano ulteriormente suddivisi in dimensioni minori secondo la serie di Fibonacci (essendo ciascun numero uguale alla somma dei precedenti). Nella versione finale del Modulor furono quindi introdotte due scale dimensionali basate sulla successione di Fibonacci (le «serie rossa e blu»). Secondo Le Corbusier, il Modulor era in grado di conferire dimensioni armoniose a tutto, dagli armadietti e dalle maniglie delle porte dei palazzi e agli spazi urbani. In un mondo contraddistinto da una crescente richiesta di beni prodotti in serie, il Modulor avrebbe dovuto rappresentare un modello di standardizzazione. Due libri di Le Corbusier, Il Modulor del 1948 e Il Modulor II del 1955, furono accolti con molta attenzione professionale nel mondo dell'architettura, e continuano a essere citati quando si discute di proporzioni. Le Corbusier mise in pratica la teoria del Modulor in molti dei suoi progetti. Senza dubbio egli non fu l'ultimo artista a provare interesse per il rapporto aureo, ma la maggior parte dei suoi successori furono affascinati più dalle qualità matematico-filosofico e storiche del rapporto che delle sue presunte proprietà estetiche.
Come detto in precedenza, il numero d'oro Φ (phi) prende il nome dall' iniziale del nome del grande scultore Fidia, vissuto tra il 490 e il 430 a.C. che per primo usò la divina proporzione per la costruzione del Partenone.

Il Partenone è chiuso in un rettangolo aureo, tale che il lato più lungo diviso per quello più corto è uguale al numero d'oro e nella sua struttura sono diverse le sezioni auree che si possono osservare e le stesse auree proporzioni ritroviamo nei palazzi rinascimentali, le cui finestre sono rettangoli auree o più vicino a noi nelle costruzioni di Le Corbusier.
La geometria possiede due grandi tesori: uno è il teorema di Pitagora; l'altro è la divisione di una linea secondo il rapporto estremo e medio. Possiamo paragonare il primo a una certa quantità d'oro, e definire il secondo una pietra preziosa.
Keplero (1571 - 1630)
Il rapporto aureo è un'invenzione umana. Ma gli uomini non immaginavano in quale magico regno di fate ed elfi quel prodotto li avrebbe portati. Se la geometria non fosse stata inventata, ma avremmo immaginato l'esistenza del rapporto aureo. Ma forse, alla fine, esso ci avrebbe ugualmente fatto visita, magari travestito da breve programma per computer.
Bibliografia:
Mario Livio , La sezione aurea , Rizzoli , 2003
C.J. Snijders, La sezione aurea, Franco Muzzio Editore , 1993
R. Courant, H. Robbins , Che cos'è la matematica, Bollati Boringhieri , 1941
"The Fibonacci Quaterly".
Sitografia:
www.goldennumber.net
www.sectioaurea.com
www.matematicando.org
![]() |
| Appunti su: pittore svizzero e sezione aurea, |
|
| Appunti Statistica | ![]() |
| Tesine Fisica | ![]() |
| Lezioni Contabilita | ![]() |