![]() |
|
| Visite: 1819 | Gradito: |
Leggi anche appunti:FonografoFonografo Il Fonografo è un dispositivo meccanico in cui un cilindro (disco) Il wi-fiIL WI-FI WI-FI è l'abbreviazione di Wireless Fidelity, e il nome commerciale TESI DI FINE ANNO - Dall'invenzione del telefono alla trasmissione datiTESI DI FINE ANNO Dall'invenzione del telefono alla trasmissione dati. SOMMARIO. Storia: |
![]() |
![]() |
TESI DI FINE ANNO
Dall'invenzione del telefono alla trasmissione dati.
SOMMARIO.
Storia: Seconda Rivoluzione Industriale
_ Invenzione del telefono.
Italiano: Pirandello
_ Incomunicabilità tra gli uomini.
_ Vita, poetica e opere.
Diritto: Le creazioni dell'ingegno
_ Le invenzioni.
_ I diritti d'autore.
Inglese: Joseph Conrad
_ Life and Works.
_ English Colonialism.
Telecomunicazioni: Trasmissione dati digitali
_ Tipi di codifica.
_ Teoria dell'informazione.
Sistemi: Filtraggio Digitale
_ FIR (risposta impulsiva finita).
_ IIR (risposta impulsiva infinita).
Elettronica: Conversione analogico/digitale
_ Filtraggio del segnale.
_ Campionamento.
_ Quantizzazione.
Bibliografia:
_Storia e ricerca - Carlo Cartiglia.
_Il sistema letterario - Salvatore Guglielmino / Hermann Grosser.
_Diritto ed economia industriale - Simone Crocetti / Luigi Fici.
_Il mondo delle telecomunicazioni - Francesco Buffa.
_Sistemi 3 - A. De Santis / M. Cacciaglia / C. Maggese.
Wikipedia, l'enciclopedia libera.
LA SECONDA RIVOLUZIONE INDUSTRIALE.
Dal 1870 l'economia europea si trasforma, si passa dallo stadio del cavallo a quello della ferrovia,dell'automobile, dell'aereo. L'industria si afferma come settore preminente.
Culla della Rivoluzione Industriale è l'Inghilterra, e da li successivamente si diffonde nel resto d'Europa, in America e in Asia. Il mondo industrializzato subisce un cambiamento sostanziale, grazie all'impiego delle macchine e all'utilizzo di nuove fonti energetiche inanimate(combustibili fossili).
In questo periodo progredisce la conoscenza del pianeta, l'uomo pare sempre piu in grado di controllare e dominare il mondo.
La Seconda Rivoluzione Industriale, è l'epoca dell'acciaio, della chimica, dell'elettricità, del motore a scoppio; sono gli anni in cui compaiono tanti oggetti comuni ancora oggi indispensabili, come telefono, telegrafo senza fili, cinematografo, ascensore elettrico, lampadina a filamento, autobus e tram, pneumatici, macchina per scrivere, automobile.
La caratteristica che più la differenzia dalla precedente Rivoluzione Industriale sta nel fatto che le innovazioni tecnologiche non sono frutto di scoperte occasionali ed individuali, bensì da ricerche specializzate in laboratori scientifici e nelle università finanziate dagli imprenditori e dallo stato per il miglioramento dell'apparato produttivo si può dire che la scienza si applica all'industria.
I fattori che determinano la Seconda Rivoluzione Industriale sono:
_NUOVI MATERIALI: si ha la scoperta dell'acciaio che è molto più malleabile e resistente del ferro, e con ciò si creano i primi altiforni, l'acciaio è il simbolo della nuova rivoluzione. Poi si hanno molte innovazione grandiose nel campo della chimica, la scoperta della dinamite, della gomma, del petrolio. Vengono scoperti vaccini contro malattie fino ad allora incurabili come il morbillo tramite la scoperta e lo studio dei micro-organismi.
_ENERGIA ELETTRICA: era stata scoperta nel secolo precedente con Volta ma era stata limitato il suo studio alla pila. Ora viene sfruttata al meglio, prima per i telegrafi con Morse 1840, poi con l'elettromagnetismo con Faraday, e Siemens che creò anche la dinamo nel 1880. Fu inventato il telefono da Meucci e il telegrafo senza fili di Marconi. Un'altra innovazione dovuta all'elettricità fu l'illuminazione delle strade.
_MOTORI E MACCHINE: Con l'avvento dell'elettricità, si formano nuovi tipi di fonti di energia: motori a scoppio inventati da Diesel, non si utilizza più il carbone, ma il petrolio. Le prime fabbriche di automobili si vengono a creare in questo periodo e nel 1903 si ha il primo aereo dei fratelli Wright che volò per 266 m.
_TRASPORTI,COMMERCIO: Le navi diventano più veloci con motori a vapore o a scoppio. Si ha la costruzione di molti canali tra cui: Canale di Suex, Corinto, Panama. Le reti ferroviarie diventano imponenti, tra le più famose quella che unisce le due coste est-ovest dell'America, la Coast-to-coast.
_NUOVA INDUSTRIA: Si ha la divisione del lavoro, ogni singolo individuo compie una sola mansione, sempre con lo stesso utensile o macchinario e ciò favorisce la velocità e la produzione dell'industria a scapito di qualità e soprattutto creatività. Si creano operai massa e operai specializzati. Si fanno ciclo continui, con produzione in serie di pezzi intercambiabili. Taylor, afferma che se ognuno si specializza in una determinata cosa si riesce a rendere migliore il sistema.
In questi anni si ha però una grossa crisi; anche se erano state stabilite le ore lavorative e quindi ciò significava minore sfruttamento i salari sono aumentati di pochissimo. Oltre all'industria la crisi colpì anche l'agricoltura con molti contadini che emigrarono perché vennero oppressi dai dazi sul loro raccolto. Fattore importante della crisi fu la scarsa disponibilità di oro che non riusciva a soddisfare il mercato.
_INVENZIONE DEL TELEFONO:
La paternità dell'invenzione del telefono fu attribuita ad Antonio Meucci che nel 1860 dimostrò il funzionamento del suo apparecchio che chiamò teletrofono, anche se forse il primato spetta ad un altro italiano, Innocenzo Manzetti, che riuscì a realizzare un apparecchio elettrico in grado di comunicare a distanza già negli anni cinquanta dell'Ottocento, ma senza riuscire a sviluppare ulteriormente il progetto. Manzetti battezzò la sua invenzione, basata sull'induzione elettromagnetica, 'télégraphe parlant'. Innocenzo Manzetti, come riportano numerose testimonianze dell'epoca (giornali italiani e internazionali del 1864/65 che parlarono della dimostrazione pubblica), riuscì a realizzare un apparecchio elettrico in grado di comunicare a distanza utilizzando in principio di induzione magnetica mentre il primo dispositivo di Meucci consisteva in due fili attorcigliati e stretti tra i denti. Meucci, avuta notizia dai giornali, scrisse a Manzetti parlando di idee simili. Manzetti morì a 52 anni nel 1877, tutti i suoi prodotti scientifici (bussole, barometri, termometri ed il prototipo del 'téléphone') vennero ceduti dalla moglie Maria Rosa Anzola, con atto notarile del 7 febbraio 1880, a due viaggiatori americani: Max Meyer, uomo d'affari, e Horace H. Eldred che si scoprì essere direttore dei telegrafi di New York. Nel 1860 Philipp Reis presentò una macchina per la trasmissione elettronica di suoni musicali tramite una barretta vibrante sotto l'influenza di un campo magnetico. Detto dispositivo non era comunque in grado di trasmettere la voce. Elisha Gray lo inventò indipendentemente e ne diede dimostrazione nel 1876, ma due ore prima di presentare la richiesta di brevetto, Alexander Graham Bell presentò la sua (anche se il progetto da lui proposto non funzionava). Come risultato, soprattutto negli Stati Uniti e Canada, Alexander Graham Bell viene accreditato dell'invenzione. Nel 1871 Meucci aveva presentato un brevetto provvisorio, da rinnovarsi annualmente al costo di 10 dollari, ma aveva potuto rinnovarlo solo fino al 1873, non potendosi permettere la cifra di 200 dollari per il brevetto definitivo.
L'11 giugno 2002 il Congresso degli Stati Uniti ha riconosciuto, storicamente, ad Antonio Meucci la paternità del telefono.
PIRANDELLO.
".ognuno ha la sua verità, che nasce dal suo modo soggettivo di vedere le cose. Da ciò deriva un'inevitabile incomunicabilità tra gli uomini, dato che ciascuno fa riferimento alla realtà come gli appare, mentre non può sapere come sia per gli altri. L'incomunicabilità accresce il senso di solitudine dell'uomo che scopre di essere nessuno
_VITA:
Pirandello nacque nel 1867 a Càvusu, luogo che al momento della sua nascita aveva cambiato la sua denominazione originaria in 'Caos', (al comune di Girgenti, oggi Agrigento), da Stefano e Caterina Ricci Gramitto, in una famiglia di agiata condizione borghese dalle tradizioni risorgimentali. La famiglia di Pirandello viveva in una situazione economica agiata, grazie al commercio e all'estrazione dello zolfo. Compiuti gli studi liceali, frequentò la facoltà di lettere all'Università di Roma, laureandosi poi a Bonn, dove rimase per un certo tempo come lettore di italiano. Nel 1894, a Girgenti, Pirandello sposò Maria Antonietta Portulano, figlia di un ricco socio del padre. Questo matrimonio probabilmente concordato soddisfaceva anche gli interessi economici della famiglia di Pirandello. Si trasferì in seguito a Roma, dove a partire dal 1897 sino al 1922 insegnò stilistica italiana all'Istituto Superiore di Magistero, dedicandosi nel contempo all'attività letteraria; nel 1934 gli fu conferito il premio Nobel. Nel 1904 una frana nelle miniere di zolfo provoca il disastro economico della famiglia; la moglie ne riporta una crisi nervosa destinata ad aggravarsi col tempo e che si manifesta fra l'altro con un'ingiustificata, patologica gelosia(nel 1919 viene internata in una casa di cura); ogni tentativo del marito di dimostrare che la realtà non è come pare alla moglie risulta vano. Nel 1924 Pirandello chiede la tessera del Partito fascista; lo fa dopo il delitto Matteotti, quando non c'era più da illudersi sulla vera natura di questo movimento, che si avviava a diventare regime; questo è appunto un gesto sul quale si è molto discusso, ma del quale risulta ancora difficile spiegare le ragioni. Forse lo ha fatto per poter continuare ad utilizzare il suo teatro di Roma o forse perché deluso del risorgimento nel sud Italia, come testimoniato dal romanzo "I vecchi e i giovani", vede nel Fascismo qualcosa di patriottico. Nel 1925 conosce Marta Abba, una giovane attrice sconosciuta, e la sceglie come prima attrice del Teatro d'Arte di Roma che ha appena fondato. Per lei lo scrittore nutre un intenso sentimento amoroso che limita deliberatamente, forse per rispetto della moglie malata, vivendolo soltanto come ammirazione e amicizia. Morì nel 1936 a Roma.
_POETICA:
non ci fermiamo alle apparenze, ciò che inizialmente ci faceva ridere adesso ci farà tutt'al più sorridere."
Numerosi sono i punti
salienti della poetica pirandelliana; nel saggio "L'umorismo", viene fatta la
distinzione tra comico e umoristico. Il
primo, definito come 'avvertimento del contrario', nasce dal
contrasto tra l'apparenza e la realtà. Nel saggio citato Pirandello ce ne
fornisce un esempio:
«Vedo una vecchia signora, coi capelli ritinti, tutti unti non si sa di qual
orribile manteca, e poi tutta goffamente imbellettata e parata d'abiti
giovanili. Mi metto a ridere. 'Avverto' che quella vecchia signora è
il contrario di ciò che una rispettabile signora dovrebbe essere. Posso così, a
prima giunta e superficialmente, arrestarmi a questa espressione comica. Il
comico è appunto un 'avvertimento del contrario'». L'umorismo,invece
nasce da una meno superficiale considerazione della situazione:
«Ma se ora interviene in me la riflessione, e mi suggerisce che quella vecchia
signora non prova forse piacere a pararsi così come un pappagallo, ma che forse
ne soffre e lo fa soltanto perché pietosamente, s'inganna che, parata così,
nascondendo le rughe e le canizie, riesca a trattenere a sé l'amore del marito
molto più giovane di lei, ecco che io non posso più riderne come prima, perché
appunto la riflessione, lavorando in me, mi ha fatto andar oltre a quel primo
avvertimento, o piuttosto, più addentro: da quel primo avvertimento del
contrario mi ha fatto passare a questo "sentimento del contrario". Ed è tutta
qui la differenza tra il comico e l'umoristico». La follia è il gran tema
che percorre tutta l'opera pirandelliana. Non lesse direttamente gli scritti di
Freud, ma la sua opera è piena di richiami al mondo della follia,
dell'inconscio, del sogno. Pirandello inizia a riflettere sulla pazzia in
seguito a delle crisi della moglie, ma le formulazioni scientifiche di Freud
diventano il suo punto di partenza per esplorare quella crisi d'identità che
qualsiasi evento può scatenare e che è uno dei temi fondamentali della sua
produzione. Nelle sue opere il tema della follia è legato all'idea per cui la
personalità degli uomini non è una, ma molteplici; ed i suoi personaggi si
sdoppiano, sono dissociati e contemporaneamente uno, nessuno e centomila. Dal
contrasto tra la vita e la forma nasce il "relativismo gnoseologico" che si esprime in due sensi:
orizzontale, ovvero nel rapporto interpersonale, e verticale, ovvero nel
rapporto che una persona ha con se stessa. Gli uomini nascono liberi ma il "Caso" interviene nella loro vita
precludendo ogni loro scelta: l'uomo nasce in una società precostituita dove ad
ognuno viene assegnata una parte secondo la quale deve comportarsi. Ciascuno è
obbligato a seguire il ruolo e le regole che la società impone, anche se l'io
vorrebbe manifestarsi in modo diverso: solo per l'intervento del caso può
accadere di liberarsi di una forma
per assumerne un'altra, dalla quale non sarà più possibile liberarsi per
tornare indietro, come accade al protagonista de Il fu Mattia Pascal. L'uomo dunque non può capire né gli
altri né tanto meno sé stesso, poiché ognuno vive portando - consapevolmente o,
più spesso, inconsapevolmente - una maschera dietro la quale si agita una
moltitudine di personalità diverse e irriconoscibili. Queste
riflessioni trovano la più esplicita manifestazione narrativa nel romanzo Uno, nessuno e centomila:
Mentre Leopardi, alla fine esorta gli uomini ad affratellarsi in nome del dolore, il pessimismo di Pirandello è maggiore perché è radicale, nasce cioè dalle radici della vita dell'uomo che resta sempre solo senza la possibilità di comunicare con gli altri uomini. Esistono due versioni che spiegano il pessimismo pirandelliana: la prima attribuisce le cause di tale pessimismo all'insoddisfazione di Pirandello per il risorgimento italiano, come nel romanzo "I vecchi e i giovani"; la seconda versione mette in luce l'idea che ha il poeta della cosiddetta "civiltà delle macchine", che rendono schiavo l'uomo ed anziché aiutarlo nel suo lavoro, svuotano la sua vita da ogni significato. In realtà non è possibile dare una spiegazione a questo pessimismo, l'uomo è così per natura, nega Dio e dà importanza al caso. Ritraendo persone di luoghi diversi vuol far vedere che la condizione dell'uomo è sempre dolorosa sia al nord che al sud. Con le varie sconfitte l'uomo ha svelato l'inganno ma non per questo è più felice. Per lui la vita è una commistione tra tragico e grottesco.
_industrialità: l'idea inventiva deve essere idonea ad avere un'applicazione industriale e quindi ad essere utilizzata nel processo produttivo (non sono brevettabili le invenzioni di contenuto puramente teorico o scientifico).
_novità: l'invenzione deve avere carattere creativo rispetto a ciò che è già stato attuato o divulgato in qualunque modo presso il pubblico; deve, cioè, avere carattere di originalità.
_liceità: l'invenzione non deve essere contraria all'ordine pubblico, al buon costume o ad altre disposizioni di legge.
Un caso particolare è quello dell'invenzione fatta dal lavoratore nello svolgimento del rapporto di lavoro. In tal caso il diritto morale spetta sempre al prestatore di lavoro, mentre quello patrimoniale è regolato nei modi seguenti:
_se oggetto del rapporto di lavoro era proprio l'attività inventiva, esso spetta di diritto al datore di lavoro;
_se l'invenzione è realizzata dal lavoratore nello svolgimento di un rapporto di lavoro non avente per oggetto esclusivo l'attività inventiva me è stata resa possibile grazie alle particolari mansioni svolte e alle strutture aziendali, il diritto patrimoniale spetta sempre al datore di lavoro, ma l'autore ha diritto a un particolare premio;
_ se l'invenzione è realizzata in modo occasionale dal lavoratore per sua spontanea iniziativa, senza nessun collegamento con l'oggetto del rapporto di lavoro e indipendentemente dalle mansioni affidategli, il diritto patrimoniale spetta all'autore; il datore di lavoro potrà tuttavia chiedere di acquistare il brevetto.
_IL DIRITTO D'AUTORE:
Le creazioni dell'ingegno nel campo delle scienze, della letteratura, della musica, delle arti figurative, dell'architettura, del teatro e della cinematografia, qualunque ne sia il modo o la forma di espressione, formano oggetto del diritto d'autore. Anche all'autore, come abbiamo già visto per l'inventore, spetta un duplice diritto:
_morale, consistente nel diritto di essere riconosciuto autore dell'opera, di decidere se e quando l'opera debba essere pubblicata (diritto di inedito) e di pubblicare sotto pseudonimo o senza nome (diritto di anonimo), di apportare all'opera tutte le modificazioni ritenute opportune e di opporsi alle modificazioni e mutilazioni pregiudizievoli al nome e alla reputazione dell'autore (fino al ritiro dell'opera dal commercio);
_patrimoniale, di utilizzare in esclusiva l'opera in ogni modo e forma (riproduzioni, traduzioni, trasposizioni in altri media o in oggetti).
Il diritto morale è inalienabile e imprescrittibile. Il diritto patrimoniale è trasmissibile e temporaneo: dura per tutta la vita dell'autore e per 70 anni dopo la sua morte, a favore degli eredi. Di solito l'autore concede a un editore il diritto di pubblicare l'opera, dietro un compenso percentuale sulle copie vendute (contratto di edizione).
JOSEPH CONRAD.
'[] Through the power of the written word, you listen, you hear but first of all to make you see. That's it, and nothing more. If we succeed, you will find here, according to your wishes: encouragement, consolation, fear, charm - all I ask - and perhaps even that glimpse of truth that you forgot to ask.
« [] attraverso il potere della parola scritta, di farvi ascoltare, di farvi sentire ma prima di tutto di farvi vedere. Questo è tutto, e nulla più. Se ci riuscirò, troverete qui, secondo i vostri desideri: incoraggiamento, consolazione, paura, fascino - tutto quello che domandate - e, forse, anche quello scorcio di verità che avete dimenticato di chiedere. »
_LIFE AND WORKS:
Joseph
Conrad, whose original name was Teodor Jozef Konrad Korzeniowski, was born near
_ENGLISH COLONIALISM:
There are several levels of analysis: the most superficial
of these is critical to colonialism implemented by Conrad through the
description of barbarism and raids carried out by Western powers at the end of
the nineteenth century against the African continent. The critique of
colonialism is not limited only to contemporary history (1889), but also the
past, in fact are frequent analogies with the
TRASMISSIONE DATI DIGITALI.
Consiste nell'inviare segnali digitali a distanza, nei quali l'informazione viene codificata in un insieme finito e discreto di valori. Ad esempio se dobbiamo inviare a distanza un testo, trasformeremo (sulla base di un certo codice) i singoli caratteri in una sequenza di cifre binarie (l'informazione diventa così digitale). Oppure, se dobbiamo inviare a distanza un segnale analogico audio o video, potremmo prima renderlo digitale (PCM). Le trasmissioni numeriche hanno sostituito in ogni campo quelle analogiche per:
_maggiore immunità al rumore: in un sistema digitale è sufficiente riconoscere il livello elettrico 1 da quello dello 0, mentre nei sistemi analogici bisogna conservare la forma del segnale durante la trasmissione;
_intelligenza: gli elaboratori ei microprocessori che fanno parte del sistema colloquiano tra di loro al fine di controllare l'andamento di una trasmissione, valutando anche la qualità e prendendo contromisure nel caso in cui essa non sia soddisfacente. Si possono adottare tecniche di rilevazione e correzione degli errori.
_flessibilità, efficienza, sicurezza: i sistemi digitali operano sotto controllo software e dunque sono flessibili efficienti e sicuri.
_comunicazione multimediale: le informazioni digitali (dati) o digitalizzate (voce, musica, immagini) sono simili e quindi è possibile integrare i servizi offerti agli utenti, consentendo loro, nello stesso collegamento, di parlare, scambiare dati o testi, inviare immagini sia fisse che in movimento.
_TIPI DI CODIFICA:
In un sistema di trasmissione si effettuano di norma, tre tipi di codifiche in trasmissione e tre corrispondenti decodifiche in ricezione:
Sorgente - codifica di sorgente - codifica di canale - codifica di linea - mezzo trasmissivo - decodifica di linea - decodifica di canale - decodifica di sorgente - destinatario.
Codifica di sorgente: ha lo scopo di diminuire la quantità di bit complessivi da inviare. In generale un codice sorgente codifica tramite un certo numero di bit ogni simbolo (o carattere) dell'alfabeto utilizzato nella lingua scritta e un certo numero di caratteri di controllo utilizzati per controllare la trasmissione e la formattazione dei messaggi. I principali tipi di codice sorgente sono: ASCII e EBCDIC nella trasmissione dati; BAUDOT e il CCITT N. 2 in telegrafia.
Codifica di canale: ha il fine di ridurre il tasso di errore, pur incrementando il numero di bit. Infatti la presenza di un livello di rumore elevato nella linea può causare degli errori nei bit ricevuti in quanto il rumore, sommandosi al segnale utile, ne può modificare talmente la forma da causare un'errata interpretazione dell'informazione trasmessa: il ricevitore interpreta come 1 quello che in realtà era stato trasmesso come 0, o viceversa. Per evitare gli errori la codifica di canale aggiunge dei bit ridondanti, cioè in più, che non contengono informazione, ma che consentono, una volta giunti a destinazione, di verificare se ci sono stati errori. Sono di due tipi: _ARQ: che rilevano l'errore e chiedono la ritrasmissione del blocco di dati. In presenza di molti errori la trasmissione è notevolmente rallentata _FEC: che oltre a rilevare gli errori, ne effettuano una correzione al ricevitore. E quindi sono molto più rapidi dei precedenti.
_Codifica di linea: ha lo scopo di adattare il segnale al passaggio attraverso il canale. Sono due le principali tipologie di problemi da risolvere mediante la codifica di linea: _la prima è la necessità di ricostruire il clock al ricevitore, per la sincronizzazione perfetta con il trasmettitore. _la seconda è dovuta al fatto che si richiede isolamento galvanico fra trasmettitore e linea (la tensione continua di alimentazione sulla linea non deve propagarsi al di fuori di essa), e il trasformatore di accoppiamento che lo realizza, taglierebbe eventuali lunghe sequenze di 1 e 0 del segnale in quanto esse sono caratterizzate in gran parte da una componente continua.
_TEORIA DELL'INFORMAZIONE:
E' una sorta di studio che formalizza le principali grandezze e le problematiche da risolvere al fine di ottenere codici di sorgente ottimali dal punto di vista della compressione del numero di bit da trasmettere a parità di messaggio. Dato un insieme di eventi possibili (alfabeto nel caso dei caratteri), una sorgente può emetterne uno qualsiasi ma il destinatario inizialmente non conosce quale. Appena un evento si verifica, l'informazione ad esso associata elimina tale incertezza del destinatario.
FILTRAGGIO DIGITALE.

Nella figura è rappresentato lo schema a blocchi di un sistema di controllo basato su un sistema a uP. Il segnale d'uscita, continuo nel tempo, e presente all'uscita del nodo sommatore, è convertito in un segnale digitale da un convertitore A/D che esegue la conversione in corrispondenza di istanti di tempo tk, detti istanti di campionamento. L'intervallo di tempo che intercorre tra due successivi istanti di campionamento è detto periodo di campionamento. L'elaboratore interpreta il segnale convertito come un dato numerico, lo elabora secondo un algoritmo predefinito e genera in uscita un nuovo dato numerico convertito nuovamente in un segnale digitale. Quest'ultimo è convertito, a sua volta, in un segnale continuo nel tempo dal convertitore D/A affinché possa essere applicato ai blocchi successivi. Tutte le operazioni sopra descritte sono sincronizzate dal clock del sistema.
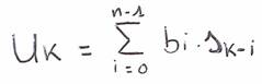
_FIR (RISPOSTA IMPULSIVA FINITA):
Finite Impulse Response (FIR), ovvero Risposta Impulsiva Finita, tutte quelle sequenze (filtri numerici o segnali numerici) le quali hanno una estensione finita.
Il segnale di uscita sarà pertanto calcolato mediante la relazione

dove U(k) è la risposta impulsiva del sistema e S(k-i) rappresenta i campioni del segnale di ingresso. n individua l'ordine del filtro.
_IIR (RISPOSTA IMPULSIVA INFINITA):
Un filtro si dice Infinite Impulse Response (IIR) se, data una funzione U(k) in ingresso al filtro l'uscita al tempo n0 è dipendente, non solo dal valore n0 in ingresso ma anche da valori in uscita precedenti.
Esempio di filtro IIR


CONVERSIONE ANALOGICO/DIGITALE.
Conversione analogico-digitale è un procedimento che associa ad un segnale analogico (tempo continuo e continuo nei valori) un segnale numerico (tempo discreto e discreto nei valori). Questo procedimento, oggi è effettuato esclusivamente tramite circuiti integrati. L'idea che sta alla base della digitalizzazione è la seguente: qualsiasi grandezza fisica di interesse (tensione, corrente, pressione, velocità) viene misurata e il valore della sua misura codificato come numero binario; se la grandezza assume diversi valori nel tempo, essa sarà misurata a intervalli regolari, dando luogo ad una sequenza di numeri. La conversione A/D si divide in varie fasi, qui sotto elencate.
_FILTRAGGIO DEL SEGNALE:
Il filtro anti-aliasing è un filtro utilizzato prima del campionamento di un segnale, al fine di restringere la banda del segnale stesso per soddisfare approssimativamente il teorema del campionamento di Shannon. Dal momento che il teorema dice che un'interpretazione corretta del segnale, a partire dal campionamento, sia possibile solo quando lo spettro del segnale da campionare è finito e con una banda compresa tra 0 ed fm, il filtro anti-aliasing potrebbe soddisfare il teorema. Ogni possibile filtro anti-aliasing permetterà la presenza di qualche aliasing; l'ammontare dell'aliasing presente nel risultato dipende dalla qualità del filtro.
_CAMPIONAMENTO:
Il campionamento è una tecnica che consiste nel convertire un segnale continuo nel tempo in un segnale discreto, valutandone l'ampiezza a intervalli di tempo regolari. In questo modo, a seguito di una successiva operazione di quantizzazione e conversione, sia possibile ottenere una stringa digitale che approssimi quella continua originaria.In parole povere il campionamento consiste nell'andare a 'sentire' il valore del segnale analogico in diversi istanti di tempo. Il tempo che intercorre tra una valutazione e l'altra si chiama periodo di campionamento. La frequenza di campionamento è l'inverso del periodo.
Durante il campionamento i segnali vengono linearizzati tramite un circuito sample & hold, che mantiene fisso il segnale fino al prossimo segnale. E' formato da due inseguitori di tensione. Il condensatore serve a mantenere il dato campionato per un tempo sufficiente.

Il teorema che stabilisce quale sia la frequenza minima di campionamento con una determinata caratterizzazione in frequenza (trasformata di Fourier) è il teorema del campionamento. Tale condizione è detta anche di Shannon, ovvero:
![]()
Dove fc è la frequenza di campionamento ed fm è la massima frequenza dello spettro del segnale da campionare.
_QUANTIZZAZIONE:
Quando si misura una grandezza, l'insieme di valori che essa può assumere in natura è un insieme continuo e composto da infiniti punti. Perché una grandezza sia trasmissibile e codificabile con un numero finito di bit, è però necessario far sì che possa assumere solo un numero finito di valori discreti; ciò avviene tramite la quantizzazione. Il valore possibile della grandezza in questione viene innanzitutto limitato tra un massimo e un minimo, che definiscono la dinamica del quantizzatore; inoltre, il suo valore verrà ricondotto al più prossimo di quelli definiti. Con la quantizzazione vengono, però, introdotti degli errori chiamati errori di quantizzazione, dovuti alla differenza tra il valore quantizzato e il suo valore 'reale' nel campo continuo. L'errore massimo che verrà introdotto volta per volta sarà pari alla metà del più piccolo intervallo discreto discriminabile, nel caso limite in cui il valore di ingresso si ponga esattamente a metà tra due valori discreti di uscita. L'insieme di questi errori porta al rumore di quantizzazione. Il Signal to Noise Quantization Ratio (SQR) misura la bontà del processo di quantizzazione, ed è il parametro che più influisce sulla qualità del segnale digitalizzato.
![]() |
| Appunti su: |
|
| Appunti Inglese | ![]() |
| Tesine computer | ![]() |
| Lezioni Marketing | ![]() |