![]() |
|
| Appunti universita |
|
| Visite: 2468 | Gradito: |
Leggi anche appunti:La fascia costiera della pianura pisanaLA FASCIA COSTIERA DELLA PIANURA PISANA La Pianura di Pisa Sistemazioni non convenzionali a basso impatto ambientale : le rampe in massiSistemazioni non convenzionali a basso impatto ambientale : le rampe in massi Le Caratteristiche generali delle casse di espansioneCaratteristiche generali delle casse di espansione Come evidenziato |
![]() |
![]() |
LA FASCIA COSTIERA DELLA PIANURA PISANA
La Pianura di Pisa (fig. 1.1) è confinata verso Nord Est, dal Monte Pisano e dai Monti D Oltreserchio, verso Sud, dalle Colline Livornesi e Pisane; la sua fascia costiera linea
tratteggiata nella stessa fig. 1.1) è compresa tra il Fosso della Bufalina a nord ed il Fosso
dell Arnaccio a sud e può essere identificata, dal punto di vista fisiografico, con il sistema olocenico delle dune e dei lidi litoranei, con le interposte lame acquitrinose.
Fig. 1.1 - La Pianura Pisana e la sua fascia costiera.
L insieme della fascia costiera e del suo entroterra, che si estende fino alla confluenza delle valli di Bientina, dell Arno e dell Era fig. 1 2 , ha una forma subtrapezoidale, per una superficie complessiva di circa 370 km ; l'estensione lungo costa è di circa 27,5 km e quella trasversale è di circa 7 km all'apice del fiume Arno e comunque, in media, non minore di 4 km, per un'area subrettangolare di circa 137,5 km .
1 - INQUADRAMENTO ORO IDROGRAFICO
Il settore centro settentrionale della Pianura Pisana è attraversato dai fiumi Arno e
Serchio (fig. 1.2 , con andamento meandriforme, nell insieme trasversale rispetto alla costa.

Fig. 1.2 - Foto satellitare della Pianura di Pisa tratta da Google Earth 007 .
La deposizione di sedimenti che hanno colmato i precedenti bacini marini, marino- transizionali e lacustri, è ed è stata, influenzata grandemente da questa disposizione dei fiumi alimentatori.
In corrispondenza del litorale le quote medie sono dell ordine di 2 metri s.l.m. in corrispondenza delle dune; nell interno, a circa 30 km dal mare, in prossimità della confluenza del fiume Era nell Arno, all altezza di Ponsacco, viene raggiunto un valore di
circa 15 metri s.l.m., nella fascia costiera sono presenti zone con quote al di sotto del livello marino medio. Le differenze di quota determinano una pendenza media del territorio dello
0,08 . Questo minimo dislivello crea problemi di ristagno all interno della pianura, favorendo la formazione di aree paludose; tale fenomeno è facilitato nella fascia costiera dal sistema delle dune e dei lidi litoranei; essi si estendono per circa 5 6 km dal litorale verso l'entroterra e si pongono trasversalmente al deflusso superficiale delle acque verso il mare. L ambiente tipicamente umido della pianura è accentuato dalla vicinanza del mare, dal cui livello e dalle cui maree è regolato il moto delle acque superficiali e sotterranee.
Nella pianura, il sistema ambientale è profondamente interconnesso agli idrosistemi marino e continentale e a quelli superficiale e sotterraneo. Estremamente forti sono le influenze reciproche tra il sistema naturale e quello antropico, essendo la pianura intensamente popolata. Nell'ambito degli idrosistemi superficiali và individuato quello delle acque salmastre zona di miscelazione acqua dolce acqua salata), dai confini incerti e variabili in relazione al sistema delle acque dolci di origine meteorica e continentale, e quello delle acque marine. Dai loro equilibri dipendono le caratteristiche della fascia di acque più o meno salmastre che, sia in superficie che nel sottosuolo individua il passaggio dall idroambiente continentale a quello marino.
I tratti dei fiumi Arno e Serchio che solcano la pianura sono attualmente completamente arginati e le loro esondazioni sono in questo modo molto limitate. Questi due fiumi caratterizzano solo in parte gli aspetti idrografici di tale ambiente, che è drenato anche da una fitta serie di canali artificiali. I più importanti canali drenanti sono il Fosso della Bufalina, i Fiumi Morto Nuovo e Vecchio, l Arnaccio, lo Scolmatore d Arno ed il Canale dei Navicelli, che sono destinati esclusivamente allo smaltimento della acque locali. Queste ultime riguardano i deflussi superficiali che scendono dai rilievi circostanti la pianura, gli afflussi meteorici direttamente caduti in zona, gli scarichi d'acque utilizzate per usi antropici e le acque derivanti dal drenaggio della falda freatica. Questa rete è quasi del tutto costruita dall uomo; restano soltanto relitti di tronchi d'alveo naturale, in particolare lungo le depressioni interdunali litoranee a sud della foce dell Arno, nella principale delle quali scorre il canale Nuovo Lamone. La scarsa velocità delle acque nei canali e la conseguente debole turbolenza riducono le possibilità di ossigenazione e di autodepurazione delle acque stesse; a ciò si aggiungono le periodiche diserbature per migliorare le condizioni del deflusso, ma che peggiorano quelle idrobiologiche ed il potere di autodepurazione dei corpi idrici. A queste cause di decadimento qualitativo delle acque si aggiungono infine diffusi processi di eutrofizzazione.
I ristagni di acque superficiali esistenti nella Pianura di Pisa si presentano in genere in forma di paduli e lame, talvolta con presenza di terreni umidi e torbiere. All'estremità settentrionale della fascia costiera si ha l'esempio più significativo di tali ecosistemi, rappresentato dal complesso del lago di Massaciuccoli e dai paduli che lo circondano. Nella fascia costiera i ristagni costituiscono specchi d'acqua e paduli con profondità minima, in cui giungono acque di deflusso superficiale o di drenaggio dei terreni circostanti; essi hanno livelli poco variabili e di poco superiori a quello medio del mare, sono talvolta collegati al mare tramite un emissario o scambiano acque con il mare attraverso le sabbie litoranee. Attraverso gli emissari entrano in alta marea acque marine, mentre in bassa marea defluiscono in mare acque salmastre in quantità maggiori di quelle marine in entrata, a causa degli apporti idrici provenienti dalla terraferma. Tale ambiente, tipico delle lagune litoranee, presenta diffuse e preoccupanti fonti di inquinamento e di eutrofizzazione, soffrendo delle stesse forme di degradazione ambientale descritte per la rete idrografica minore
1.1. - Idrologia dei corsi d acqua maggiori: Serchio e Arno
La massima parte delle acque superficiali circolanti nella Pianura di Pisa è costituita dai deflussi del Serchio e dell Arno.
Il Serchio è alimentato da un bacino imbrifero di 1400 km , sul quale le precipitazioni sono
particolarmente abbondanti. Questo fiume abbandona le sue aspre vallate montane poco prima di Lucca e fa il suo ingresso nella pianura litoranea quando oltrepassa la stretta di Ripafratta; scorre per qualche km ai piedi del Monte Pisano, ma da Vecchiano in poi si dirige verso il mare, che raggiunge dopo circa 12 km. Nel bacino montano del Serchio esiste un complesso sistema di utilizzazioni delle acque per produzione di energia elettrica, che fa capo a undici invasi artificiali e a numerose centrali idroelettriche, grandi e piccole. Tale drastica forma di antropizzazione del Serchio si riflette sul regime dei deflussi, parecchio alterato rispetto alle condizioni naturali in dipendenza dalle portate di volta in volta utilizzate per la produzione di energia elettrica. Il deflusso annuo medio del Serchio alla foce è stimato in circa 1750 milioni
di m . In condizioni di regime naturale, questo fiume avrebbe una portata mensile massima
alla foce di circa 100 m s in Dicembre ed una minima di 13 m s in Agosto, trasporterebbe mediamente sempre alla foce) circa 380 mila ton. anno di sedimenti, i quali contribuirebbero al ripascimento dei litorali Cavazza, 1994 . I serbatoi artificiali trattengono gran parte di tali sedimenti impedendo il loro deflusso verso il litorale, si stima che, allo stato attuale non ne arrivino in mare più di 23 mila ton. anno. Il valore massimo delle portate al colmo del Serchio può essere stimato alla foce in circa 1700 m s.
Molto più ampio e importante è il bacino dell Arno che si estende su circa 8200 km .
Anche esso è sottoposto ad una forte antropizzazione, la quale influenza non tanto il regime delle portate, quanto la quantità e la qualità delle acque. Allo stato attuale la differenza tra il regime delle portate naturali e quello delle portate reali ha un valore modesto. Maggiore, invece, è l influenza esercitata dalle prese di acqua per usi antropici e, soprattutto, dagli scarichi di tipo urbano, industriale ed agricolo. Per il primo di tali aspetti, si osserva che le acque sottratte annualmente all Arno e non più restituite sono stimate per il bacino in 51
milioni di m , pari ad una portata di 1,62 m s Ministero della Agricoltura e delle Foreste,
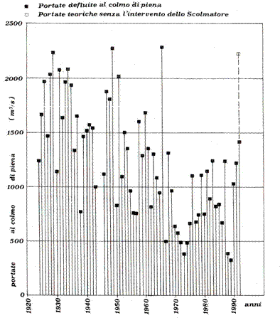
1985 . I valori delle portate di colmo per il fiume Arno, osservate dal 1924 ad oggi,
eccettuati
gli anni 1944 e 1945, alla stazione di S.Giovanni alla Vena, sono riportate in fig. 1.3, dove si nota la variabilità delle massime piene che si verificano nei singoli anni, e quindi la scarsa prevedibilità statistica Cavazza, 1994 .

Fig. 1.3 - Massime portate dell Arno osservate annualmente a S. Giovanni alla Vena dal 1924 al 1992 dati tratti dagli annali idrologici e, dal
1971 in poi, stime fornite dall ufficio Idrografico e Mareografico di Pisa) Cavazza, 199 .
Comunque si nota una certa periodicit : in quasi settanta anni ci sono ben quattro portate di colmo la piena del 1992 è molto inferiore per l'entrata in funzione dello Scolmatore) con un tempo di ritorno di circa 20 anni. Peraltro si nota anche una sensibile diminuzione delle portate di colmo di piena nell ultimo ventennio, periodo legato ad un andamento idrologico medio privo di eventi meteorici particolarmente forti. Dalla fig. 1.4 si nota come i deflussi del fiume Arno siano in via di diminuzione variazione di 2,9 mm/anno , flessione legata alla riduzione degli afflussi nel bacino dell Arno variazione di 1,8 mm/anno , ma anche al ruolo che hanno avuto gli interventi antropici nel bacino imbrifero Rapetti, Vittorini, 1994 .
Fig. 1.4 - Andamento degli afflussi linea continua) nel bacino dell Arno e dei deflussi linea puntinata) alla stazione di S. Giovanni alla Vena 1924 198 . Nel grafico sono rappresentate, per i due parametri, la curva delle medie mobili e la retta di tendenza Rapetti, Vittorini, 1994 .
![]() |
| Appunti su: appuntimania, |
|
| Appunti Silvicoltura | ![]() |
| Tesine Aeronautica | ![]() |
| Lezioni Agricoltura agraria | ![]() |