Appunti per Scuola e Università
humanisticheUmanistiche
Appunti e tesine di tutte le materie per gli studenti delle scuole medie riguardanti le materie umanistiche: dall'italiano alla storia riguardanti le materie umanistiche: dall'italiano alla storia 
sceintificheScientifiche
Appunti, analisi, compresione per le scuole medie suddivisi per materie scientifiche, per ognuna troverai appunti, dispense, esercitazioni, tesi e riassunti in download.
tecnicheTecniche
Gli appunti, le tesine e riassunti di tecnica amministrativa, ingegneria tecnico, costruzione. Tutti gli appunti di AppuntiMania.com gratis!
Appunti
scientifiche
Astronomia cosmologiaChimicaEconomiaEducazione fisicaFisica
MatematicaStatistica


AppuntiMania.com » Scientifiche » Appunti di Matematica » Il numero d'oro nella Successione di Fibonacci

Il numero d'oro nella Successione di Fibonacci




Visite: 3283Gradito:apreciate 5-stela [ Picolo appunti ]
Leggi anche appunti:

La Sezione Aurea - Tra Matematica, Arte e Natura


La Sezione Aurea Tra Matematica, Arte e Natura A coloro

Il numero d'oro nella Successione di Fibonacci


Il numero d'oro nella Successione di Fibonacci Un uomo mise una coppia di conigli

La formula di taylor


LA FORMULA DI TAYLOR     Sia f(x) una funzione reale definita
immagine di categoria

Scarica gratis Il numero d'oro nella Successione di Fibonacci

Il numero d'oro nella Successione di Fibonacci

Un uomo mise una coppia di conigli in un luogo circondato da tutti i lati da un muro. Quante coppie di conigli possono essere prodotte dalla coppia iniziale in un anno supponendo che ogni mese ogni coppia produca una nuova coppia in grado di riprodursi a sua volta dal secondo mese?

Leonardo Fibonacci (c. 1170 - 1240), "Liber abaci", 1202.

È da questo problema sull'allevamento dei conigli che il matematico Leonardo da Pisa, detto Fibonacci, agli inizi del 200 elabora la successone numerica che dal XIX secolo prenderà il suo nome: 1, 1, 2, 3, 5, 8, 13, 21, 34, 55, 89, 144,.. A partire dal terzo numero, ciascun termine è uguale alla somma dei due termini precedenti[1]. Tra le numerose proprietà di cui essa gode vi è quella secondo cui, procedendo lungo la successione, il rapporto tra un termine e il suo precedente si avvicina sempre di più al numero d'oro, Φ. Espresso in termini matematici abbiamo:




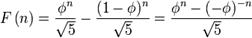
La formula di Binet per calcolare l'n-esimo numero della sequenza di Fibonacci si basa interamente sul rapporto aureo.

  dove indichiamo con F(n) l'n-esimo numero della sequenza e con F(n+1) il successivo. All'aumentare di n il rapporto tende a phi[2].






La successione di Fibonacci in natura.

Esistono numerosi esempi in natura in cui possiamo constatare la presenza della successione di Fibonacci:

La Fillotassi cioè la disposizione delle foglie sui rami. In molti casi la pianta haun quoziente di fillotassi pari a 1/2, 1/3, 2/5, 3/8 (numeri alterni della successione), così da garantire alle foglie la massima esposizione al Sole.

Nell'ananas ognuna delle squame appartiene a tre spirali diverse, come mostrato in figura: quelle evidenziate dal colore verde sono le 21 spirali che salgono ripidamente da sinistra verso destra, nella stessa direzione ma con angolazione minore le 8 spirali in blu. In colore rosso vediamo le 13 spirali da destra verso sinistra. I numeri di spirali presenti sono, nella maggioranza di questi frutti, i numeri della successione di Fibonacci.

I semi del girasole e le squame delle pigne sono disposti con andamenti spiraliformi secondo la serie di Fibonacci, in modo da essere uniformemente sparsi su tutta la corolla evitando di essere troppo ammassati al centro.

Alcuni fiori presentano un numero di petali pari ai numeri di Fibonacci. Lilium e iris ne hanno 3, la rosa selvaggia e l'aquilegia 5, il delphinium 8, la cineraria (in figura) 13.




La successione di Fibonacci è una successione ricorsiva, vale a dire che il suo n-esimo termine è

calcolato come funzione dei precedenti, avendo posto delle condizioni iniziali per i primi

termini (in questo caso i primi due sono posti uguali ad 1).

La proprietà si dimostra facendo ricorso alla definizione di Φ tramite frazione continua già vista in precedenza. Interrompendone il calcolo dopo una serie sempre più lunga di operazioni, otterremmo come risultato un elenco  di numeri che approssimano in modo più preciso il valore del rapporto aureo e identici a numeri di Fibonacci sempre più grandi, divisi per il loro predecessore.

Scarica gratis Il numero d'oro nella Successione di Fibonacci
Appunti su: mania fibonacci, fibonacci ananas,



Scarica 100% gratis e , tesine, riassunti



Registrati ora

Password dimenticata?
  • Appunti superiori
  • In questa sezione troverai sunti esame, dispense, appunti universitari, esercitazioni e tesi, suddivisi per le principali facoltà.
  • Università
  • Appunti, dispense, esercitazioni, riassunti direttamente dalla tua aula Universitaria
  • all'Informatica
  • Introduzione all'Informatica, Information and Comunication Tecnology, componenti del computer, software, hardware ...

Appunti Fisica Fisica
Tesine Contabilita Contabilita
Lezioni Statistica Statistica